

Александр Кувватов
Идеальный блонд
Список сокращений


Формула
Формула необходима для краткой записи диагностического листа и рецепта окрашивания.

Буквенно-цифровое обозначение

1/ Чёрный
2/ Тёмный коричневый насыщенный (натуральный чёрный)
3/ Тёмный коричневый
4/ Средний коричневый
5/ Светлый коричневый
6/ Тёмный русый
7/ Средний русый
8/ Светлый русый
9/ Тёмный блондин
10/ Блондин
11/ Светлый блондин
12/ Очень светлый блондин (суперблонд)
13/ Очень суперсветлый блондин
14/ Белый
/G (3) золотистый (жёлто-жёлто-оранжевый, мы иногда будем этот цвет использовать для обозначения первичного «жёлтого»)
/О (4) оранжевый (жёлто-жёлто-красный)
/R (5) красный
/RV (556) маджента (красно-красно-фиолетовый, первичный «красный»)
/Р (VR, 56) розовый (красно-фиолетовый)
/V (6) фиолетовый
/C (882) голубой (циан, первичный «синий»)
/B (8) синий
/S (9) сандрэ (фиолетово-синий)
/M (2) зелёный
/Br (7) коричневый (шоколадный)
/N (0) натуральный (нейтральный)
/A (1) пепельный (серо-сине-зелёный)
mix – микстон
1. Что для вас идеальный блонд?
Перед тем, как подробно рассматривать вопрос создания идеального блонда, необходимо выяснить, что именно подразумевается под данным определением. Проводя огромное количество тренингов и задавая данный вопрос, мы выяснили, что идеальный блонд – это:
1. Стойкий цвет.
2. Сохранение качества волос.
3. Ровный цвет полотна волос.
4. Сложность цвета (сложность оттенков, прозрачность цвета, плотность цвета и т. д.).
Именно данные четыре фактора являются основными при создании блонда, и мы с вами обязательно затронем каждый из них в нашей книге.
Качество волос
Какие факторы влияют на качество волос у блондинок:
1. При осветлении необходимо работать на низких окислителях. При этом, на данный момент, обесцвечивающие препараты рекомендуем выбирать не сильнее 7+. При работе с препаратами 9+ и 10+ вы всегда будете терять в качестве волос (через полгода их применения).
2. Также необходимо использовать качественные средства выравнивания структуры волос перед обесцвечиванием и чем качественней будет средство, тем лучше будет конечный результат.
3. В обесцвечивающий препарат советуем добавлять PLEX: они также снизят вероятность повреждения структуры. Хотя и не будут гарантировать 100 % защиту.
4. За ранее обесцвеченными волосами нужно правильно ухаживать. И в данном случае цена продукта во многом будет соответствовать его качеству. Не покупайте дешёвые препараты – там очень мало качественных препаратов. Блондинке лучше всего разориться и купить действительно качественную и дорогую систему ухода за блондом.
Ровный цвет полотна
1. Чтобы достичь этого эффекта клиенту необходимо окрашивать волосы не реже, чем раз в 3–5 недель. Если промежуток отроста корней будет более 5 недель, вы всегда будете получать горизонтальные полосы, и, чтобы это убрать, вы будете постоянно заниматься сложным типом окрашивания.
2. Если клиент пришёл к вам полосатым, то вам необходимо будет выполнять смывку и чистку цвета. При лёгких недочётах вы можете справиться при помощи процедур предварительного разрыхления, однако, если у вас достаточно серьёзные цветовые пятна, то вам придётся заниматься пилингом цвета. При этом, чтобы сохранить качество, нужно будет делать его на очень низких окислителях и с использованием предварительной защиты и PLEX. К сожалению, ровный цвет блонда вы никогда не положите на неровное полотно волос.
Сложность цвета
1. Сложность цвета достигается путём наложения различных слоёв красителей, чего можно достичь подложками цвета на различных окислителях. А усложнить всё это можно, используя физические красители.
2. Второй фактор, который помогает вам создать более сложный цвет – это смешивание большого количество оттенков. Чем больше вы смешаете цветов, тем более интересно будет переливаться конечный цвет.
Стойкость цвета
1. Стойкость цвета достигается красителями, которые используют базовые и стойкие окислительные красители.
2. Также стойкость цвета хорошо создаётся при окрашивании гибридными красителями.
3. Лучше всего стойкость цвета достигается при помощи «Подложек», где не так важно качество самого пигмента и его изначальная стойкость.
2. Первый этап. Диагностика
Диагностика – первая по важности ступень к достижению идеального результата окрашивания. Диагностика даёт ответ на все вопросы, которые помогут построить идеальный алгоритм окрашивания. Записывать данные диагностики рекомендуем в виде задачи, параметры которой описаны в самом начале книги.
При определении диагностики мы с вами сталкиваемся с тремя основными факторами:
1) натуральный цвет волос;
2) структура волос;
3) искусственный пигмент окрашенных волос.
2.1. Натуральный цвет волос
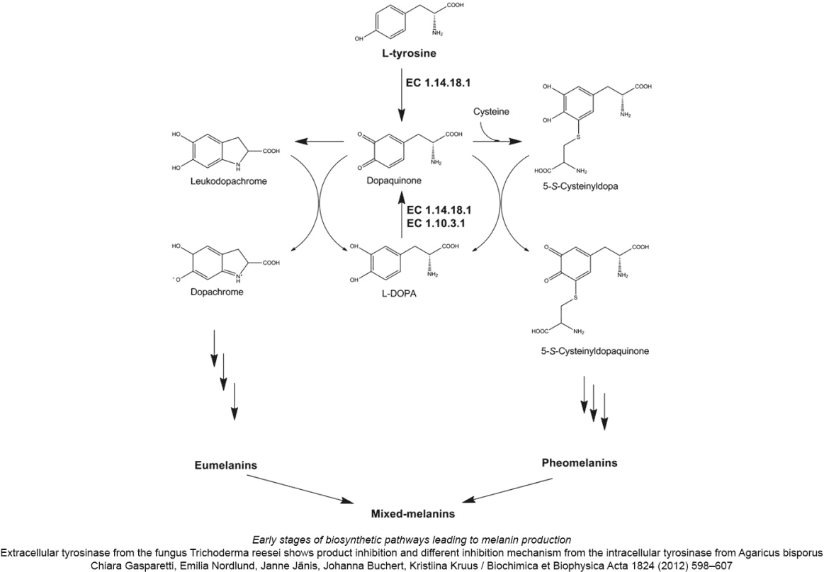
Натуральный цвет волос характеризуется наличием натуральных пигментов в волосе, которые называются – эумеланин и феомеланин. Пигменты образуется в фолликуле во время митоза клеток меланоцитов. Действие меланоцитов достаточно хорошо изучено и все процессы, которые формируют тот или иной тип пигмента подробно описаны в научных исследованиях.
Эумеланины – это чёрные и коричневые азотистые пигменты, которые возникают при окислительной полимеризации 5,6-дигидроксииндолов, полученных из тирозина через допахинон. Исходной производства эумеланина в меланоците является тирозин, который находится либо в виде свободной аминокислоты, либо в сочетании полипептидной цепи. Эумеланины полностью поглощают световые лучи, давая чёрную пигментацию. Мутагенной (мутированной) формой эумеланина являются сферические коричневые и коричные пигменты. Эумеланины практически нерастворимы в воде и в органических растворителях. Они чрезвычайно инертны, стабильны и подвергаются изменениям лишь в результате наиболее жёстких химических воздействий. Вместе с тем эумеланины могут обесцвечиваться при длительном выдерживании на воздухе на ярком солнечном свету или, особенно эффективно, при продолжительном окислении перекисью водорода.
Феомеланины – это красно-жёлтые пигменты, которые наряду с азотными компонентами содержат серу и возникают в результате окислительной полимеризации цистина через 1,4-бензотиазин. Производство феомеланинов, богатых серой, происходит из-за отклонения, ранее описанного биосинтеза эумеланинов. Вместо того, чтобы образовать соединение индола, допахинон добавляет серосодержащую аминокислоту цистина с получением цистеиновых допа (Cysteinyl dopa), которые могут дополнительно подвергаться окислительной реакции с 1,4-бензотиазином (1,4-benzothiazine). Феомеланины отражают свет в красно-оранжевом, жёлто-оранжевом и оранжевом диапазоне. Мутагенные типы феомеланина называют трихохромами (до 1979 года они имели название – трихосидерин) и бывают четырёх типов: C, B, Е и F. Впервые трихохром был экстрагирован в 1878 г. из рыжих человеческих волос кипячением с соляной и серной кислотами. Профессором Найгелем Барникотом была предпринята неудавшиеся попытка сопоставить содержание трихохромов с цветом волос, однако в результате исследований образцы тёмных волос также содержали трихохром, а часть рыжих волос вообще не имела трихохрома в составе волоса. Бытует мнение, что трихохромы имеют повышенное содержание железа и что именно эта особенность мешает осветлению рыжих волос. Но так как трихохромы могут содержаться в любых волосах или отсутствовать вовсе, мы не стали бы связывать силу осветления с данным аспектом. В процессе кератизации меланина он группируется в большие скопления, которые состоят как из феомеланинов, так и из эумеланина. Данные образования, чаще всего, имеют строение как феомеланин, обёрнутый эумеланином. Этой особенностью строения структуры пигментов и объясняется сложность удаления феомеланина из волос.

Фон осветления
При окрашивании волос первым в результате окислительных процессов удаляется эумеланин, и на волосах остаётся в основном только феомеланин, особенно при осветлении русых и светлых волос. Остаточный цвет после окрашивания принято называть Фоном Осветления. И из-за особенности его проявления чаще всего говорят о том, что за Фон Осветления отвечает феомеланин. Хотя при осветлении очень тёмных волос часто в результате остаётся не только феомеланин, но и эумеланин, образуя бурые и коричнево-красные цвета фона осветления. Эта особенность и не даёт получить красивый светлый цвет блондина на очень тёмных волосах без обесцвечивания. Условно, по этническим особенностям, волосы можно разделить на три группы:
1. Скандинавский тип.
2. Славянский тип.
3. Азиатский тип.
Это разграничение условно, и если вы будете работать в Америке, то у вас появятся другие группы, например, негроидная. Для американцев кавказский тип волос – это все славяне, кавказцы, скандинавы. У них даже итальянцы и все европейцы находятся в группе кавказского типа волос. Поэтому мы с вами будем рассматривать тот тип волос, который присущ нашей стране обитания.

В скандинавском типе волос в основном преобладает жёлто-оранжевый тип феомеланина. И светлота колеблется от 7 УГТ и выше. Поэтому для работы с данным типом волос вам надо будет использовать фиолетово-синие нейтрализаторы, чтобы создать нейтральные и холодные цвета.
В волосах славянского типа в основном преобладает оранжевый тип феомеланина, поэтому после осветления или обесцвечивания мы с вами видим ярко выраженный оранжевый фон осветления. Натуральный уровень глубины тона такого типа волос колеблется от 9 до 5. Поэтому для нейтрализации данного типа феомеланина вам понадобится в работе синий цвет нейтрализаторов. При работе с 5 УГТ вам придётся добавлять сине-зелёный к синему, а при работе с очень светлыми 8–9 базами иногда требоваться будет добавление фиолетового микстона.
У азиатского типа волос пигмент феомеланина имеет спектр цвета в оранжево-красной гамме, а, когда ещё и не удалён полностью эумеланин, может варьироваться от глубокого красно-оранжевого до бурого. Натуральный уровень глубины тона такого типа волос варьируется от 6 до 2 УГТ. Для нейтрализации такого типа пигмента и получения холодного или нейтрального цветов вам придётся использовать сине-зелёные цвета нейтрализаторов. Необходимо отметить, что мы заведомо не используем значение 1 для определения натурального чёрного, поскольку натуральный чёрный выглядит светлее, чем косметический.
Если человек родился с феомеланином оранжевого типа и у него не было в результате гормональных сбоев изменения работы меланоцитов, то после осветления вы всегда будете получать имеющийся оранжевый фон осветления, только более высветленный (точней, в меньшей концентрации). При формировании нейтрализации вы должны помнить о том, что после осветления или обесцвечивания количество меланина уменьшается, то есть вам необходима меньшая концентрация нейтрализующего цвета. Для нейтрализации вы можете использовать как тона-нейтрализаторы, так и микстоны. Выбор конкретного инструмента зависит от красителя, которым вы работаете, а также от выбранного способа окрашивания. Помните, что нейтрализовать фон осветления необходимо во всех случаях осветления, а также при окрашивании тон в тон. Вы можете закрыть глаза на нейтрализацию фона осветления при окрашивании в рыжие и красные оттенки.
При затемнении волос вы должны учитывать, что пигмента может быть недостаточно по плотности, и у вас будет проявляться так называемый Фон Затемнения. Поэтому при затемнении необходимо искусственно создавать недостающую плотность пигмента, путём предварительных обработок или добавляя цвет в краситель.
Количество натурального пигмента

На осветление очень сильное влияние имеет количество натурального пигмента и его расположение в структуре волоса. Чем больше пигмента в волосе, тем темнее мы его воспринимаем. А значит и осветлить всё количество пигментов будет достаточно сложно. Волосы ниже 5 УГТ за одну процедуру обесцвечивания, не говоря уже об осветлении красителем, практически невозможно осветлить до чистого блонда. Когда мы видим, что волос светлый, это говорит нам о том, что пигмента в волосе очень мало и осветляться он будет быстро даже на низких процентах окислителя.
Однако не всегда внешняя аналитика цвета может дать вам точный ответ, насколько легко или плохо будет осветляться волос. В редких случаях вы можете встретить клиентов, у которых пигмент будет не равномерно распределён по структуре волоса, а сгруппирован или ближе к кортексу (наружная часть волоса), или ближе к медулле (сердцевина волоса). В первом случае, даже самый тёмный волос будет осветляться очень быстро, и у вас не будет возникать проблем с достижением очень светлых оттенков на таких волосах. Во втором же случае, достижение очень светлых цветов станет весьма сложной задачей. Даже 8 УГТ осветляя более часа, вы можете не сдвинуть далеко из-за более глубокого положения пигмента в волосе. Хорошо, что такие мутагенные случаи редки в нашей практике, и мы с вами в основном работаем с равномерно распределённым пигментом по стержню волоса.
Седина
Цвет волос так же сильно зависит от возраста. В целом, с возрастом цвет волос темнеет пока не прекратится полноценная работа меланоцитов, и волос не станет седым. При этом в седых волосах также находятся пигменты, и меланоциты не атрофируются, а продолжают свою работу, но их активность значительно падает. Судя по всему, существует некая субстанция, которая может подавлять производство тирозиназы. И когда учёные выяснят это, мы сможем предотвращать появление седины, а возможно, и более плотно воздействовать на процесс формирования меланина, изменяя родной цвет волос. По статистике, у европейцев к 50 годам у 50 % людей наблюдается седина. Это поседение происходит вне зависимости от пола, начальной плотности пигментации и цвета волос индивидуумов. С возрастом у людей отмечается понижение активности тирозиназы. То есть седина является следствием снижения синтеза меланина в фолликулах, но, к сожалению, до сих пор не изучено, какова причина этого снижения. Исследования показали, что часть седых волос содержит тирозиназу, а часть нет. При этом, в седых волосах с содержанием тирозиназы волос имеет слабую пигментацию внутри, то есть в фолликуле присутствуют в небольшом количестве активные меланоциты. Из-за отсутствия пигмента в волосах, клетки кератина волоса прилегают более плотно, в результате чего мы с вами всегда имеет более прозрачный цвет на седых волосах по отношению к натурально-пигментированному волосу.
2.2. Структура волос
К структуре волос мы с вами относим состояние кератина волоса, а также толщину волоса непосредственно. Условно густоту волос мы тоже можем отнести к структуре волос, поэтому рассмотрим её в рамках данной темы.
Пористость

Пористость – это гигроскопичность волос, и характеризуется она состоянием кутикулы. Кутикула защищает волос от внешних воздействий и удерживает влагу и протеин внутри волоса. Качество кутикулы влияет на выбор предварительной обработки. Необходимо беречь кутикулу, поскольку её разрушение неминуемо приводит к разрушению внутреннего стержня волоса. Кутикула состоит из нескольких слоёв прозрачных ороговевших пластин. Каждая пластина состоит из трёх основных слоёв – А-слой, экзокутикула и эндокутикула. Пластины соединены межмолекулярным матриксом, уничтожение которого приводит к расслоению пластин и разрушению слоя. Все компании-производители активно стремятся сохранить кутикулу во время работы их продуктов, но так или иначе неизбежное разрушение в той или иной степени ждёт любой волос при многократном окрашивании. То есть, если кутикула в хорошем состоянии, это означает, что плоские пластинообразные клетки плотно перекрывают друг друга, образуя эластичный слой, полностью покрывающий поверхность кортекса. Такая ровная поверхность отражает свет, волос блестит, и его называют «живым». Если же кутикула повреждена, то при ближайшем рассмотрении можно увидеть, что края пластинок приподняты и межклеточное вещество (CMC) в той или иной мере разрушено. Такой волос называют «пористым» или в простонародье «мёртвым». Условно выделяют пять степеней пористости, исходя из качества кутикулы и гигроскопичности волос:
Конец ознакомительного фрагмента.
Текст предоставлен ООО «ЛитРес».
Прочитайте эту книгу целиком, купив полную легальную версию на ЛитРес.
Безопасно оплатить книгу можно банковской картой Visa, MasterCard, Maestro, со счета мобильного телефона, с платежного терминала, в салоне МТС или Связной, через PayPal, WebMoney, Яндекс.Деньги, QIWI Кошелек, бонусными картами или другим удобным Вам способом.
Вы ознакомились с фрагментом книги.
Для бесплатного чтения открыта только часть текста.
Приобретайте полный текст книги у нашего партнера:
Всего 10 форматов