

О дифференциальных уравнениях второго порядка и ИИ
Выпуск 1
Николай Петрович Морозов
Редактор Ольга Ивановна Морозова
© Николай Петрович Морозов, 2026
ISBN 978-5-0064-9810-5 (т. 1)
ISBN 978-5-0064-9811-2
Создано в интеллектуальной издательской системе Ridero
Введение
Несколько лет в учебном процессе по математическим дисциплинам в СПбГИК я использовал Электронный Практикум по решению дифференциальных уравнений (ДУ). В Приложении к данной книге имеется глава, в которой приводится инструкция по работе с этим практикумом. В случае приобретения вами любой из моих книг по решению дифференциальных уравнений (смотрите спиcок литературы), я готов вам выслать этот практикум бесплатно.
Задания на проведение данной работы можно разделить на две группы:
I. Основные понятия и определения
К этой группе относятся задания 1, 2, 3, и 4.
Их целью является проверка знаний основ решения дифференциальных уравнений.
К формулировке и пояснению некоторых вопросов и ответов на них по данной тематике привлекались нейросети.
II. Решение обыкновенных дифференциальных уравнений второго порядка
К этой группе относится задание 5.
При выполнении данного задания использовались параллельно 3 нейросети.
III. Выполнение заданий
Задание 1
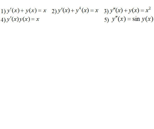
Выберите несколько вариантов ответа. Среди перечисленных дифференциальных уравнений уравнениями второго порядка являются:

РЕШЕНИЕ
Самое простое задание из всех. Здесь понятие степени уравнения в алгебре заменяется на понятие порядка. Нужно только помнить, что речь может идти о порядке производной или порядке дифференциала. В данном случае, дифференциальными уравнениями второго порядка являются 1 и 4 уравнения.
В данном случае, дифференциальными уравнениями второго порядка являются 1 и 4 уравнения.
Задание 2
Отметьте линейные уравнения.
Какие из приведенных дифференциальных уравнений являются линейными?

РЕШЕНИЕ
Обратимся к нейросетям.

Давайте рассмотрим каждое из предложенных уравнений и определим, являются ли они линейными.
– Уравнение: y′ (x) +y4 (x) =x
– Это уравнение нелинейное, так как содержит член y4 (x), который является нелинейным по отношению к y
Конец ознакомительного фрагмента.
Текст предоставлен ООО «Литрес».
Прочитайте эту книгу целиком, купив полную легальную версию на Литрес.
Безопасно оплатить книгу можно банковской картой Visa, MasterCard, Maestro, со счета мобильного телефона, с платежного терминала, в салоне МТС или Связной, через PayPal, WebMoney, Яндекс.Деньги, QIWI Кошелек, бонусными картами или другим удобным Вам способом.
Вы ознакомились с фрагментом книги.
Для бесплатного чтения открыта только часть текста.
Приобретайте полный текст книги у нашего партнера:
Всего 10 форматов