

Ольга Ведилова
Конспект к учебнику И.В.Савельева «Основы теоретической физики», т. 2
Глава
I
Основные положения квантовой механики
1.01.Введение(01)
1.02.Состояние(08)
∆x∙∆px ≥ ћ/2
∆x∙∆vx ≥ ћ/2m
1.03.Принцип суперпозиции(12)
ψ = Σcmψm
1.04.Физический смысл ψ функции(14)
ψ = ψ(x,y,z) dV = dx·dy·dz
dP = |ψ|2dV = ψ*ψdV
∫|ψ|2dV = ∫ψ*ψdV = 1
ψ = ψ(x1,y1,z1,x2,y2,z2)
dP = |ψ(x1,y1,z1,x2,y2,z2)|2dV1dV2
<r> = ∫rdP = ∫r|ψ|2dV = ∫ψ*rψdV
U = U(x,y,z)
= ∫ψ*UψdV
1.05.Уравнение Шредингера(16)
∇2 ≡ ∆
U = U(x,y,z) не зависит от t:
ψ(x,y,z,t) = φ(x,y,z)f(t)
левая часть равенства – функция координат, правая –времени,
следовательно, равны константе
f = e−(i/ћ)Et
стационарное уравнение Шредингера:
ψ(x,y,z,t) = φ(x,y,z) e-(i/ћ)Et
|ψ|2 = |φ|2
уравнение Шредингера для стационарных состояний
(φ заменяем на ψ !!!)
уравнение Шредингера для свободной частицы:
U = 0
k2 = 2mE/ћ2 = p2/ћ2 E = mv2/2 = p2/2m
∆ψ + k2ψ = 0
1)одна координата x:
k2 = kx2
∆ψ = ∂2ψ /∂x2
∂2ψ /∂x2 + k2ψ = 0
ψ(x) = e±ikx
ψ(x,t) = e±ikxe− (i/ћ)Et = e −(i/ћ)(Et ∓ ћkx) = e −(i/ћ)(Et ∓ px)
ω = E/ћ k = p/ћ -для волны
2)все координаты:
k2 = kx2 + ky2 + kz2
∆ψ = ∂2ψ/∂x2 + ∂2ψ/∂y2 + ∂2ψ/∂z2
kr = kxx + kyy + kzz
ψ(x,y,z) = e±ikr
ψ = C1eikr + C2e−ikr
формула Эйлера:
eikr = cos(kr) + isin(kr)
e−ikr = cos(kr) ‒ isin(kr)
C1 = C2 = A/2 => ψ = Acos(kr)
C1 = −C2 = −iB/2 => ψ = Bsin(kr)
ψ(x,y,z,t) = e±ikre− (i/ћ)Et = e −(i/ћ)(Et ∓ ћkr) = e −(i/ћ)(Et ∓ pr)
∎ ∂eikr/∂x = ikxeikr
∂2eikr/∂x2 = ∂(ikxeikr)/∂x = ‒ kx2eikr
∆eikr = ‒( kx2 + ky2 + kz2)eikr = ‒ k2eikr
∆eikr + k2eikr = 0 ∎
В соответствии с принципом суперпозиции пси-функция частицы может быть представлена как наложение состояний со значениями импульса, заключенными в интервале от p0–Δp до p0+Δp
ω = E/ћ
k = p/ћ
ω(k) ≃ ω0 +(dω/dk)0(k − k0)
c(k) ≃ c(k0)
ξ = k – k0
∆ξ = ∆k
максимум A(x,t):
xмах – (dω/dk)0t = 0
xмах = (dω/dk)0t
vгр = (dω/dk)0
E = p2/2m
p = ћk
ω = E/ћ = ћk2/2m
минимум A(x,t):
[xмин − (dω/dk)0t]∆k = ±π
xмин = (dω/dk)0t ± π/∆k
1.06.Плотность потока вероятности(22) можно пропустить пока !!!
∎
Глава
II
2.07.Основные постулаты квантовой механики (25)
Будем использовать Q вместо для операторов !!!
Первый постулат утверждает, что каждую физическую величину можно представить линейным оператором
Второй постулат квантовой механики гласит, что в результате измерения физической величины Q, представляемой оператором , может получаться лишь одно из собственных значений qm оператора
Третий постулат квантовой механики утверждает, что при измерениях, осуществляемых над системой, находящейся в состоянии ψ, для определения значения величины Q, по функциям которой осуществлено разложение , вероятность получить значение qm равна (при надлежащей нормировке функций) квадрату модуля коэффициента cm
Qφ = f
линейный оператор:
Q(φ1 + φ2) = Q(φ1) + Q(φ2)
Q(cφ) = cQφ
QΣcmφm = ΣcmQφm
пример:
∂Σcmφm/∂x = Σcm∂φm/∂x
собственные значения и собственные функции:
Qψ = qψ
q1, q2, … , qm, …
ψ1, ψ2, … , ψm, …
ψ = Σcmψm
Σ|cm|2 = Σcm*cm = 1
∫ψm*ψndV = δmn
скалярное произведение функций:
<φ|ψ> ≡ ∫φ*ψdV (1)
<φ|φ> = ∫φ*φdV = ∫|φ|2dV
= ∫(aφ)*ψdV = a*∫φ*ψdV = a*<φ|ψ>
<φ|bψ> = ∫φ*(bψ)dV = b∫φ*ψdV = b<φ|ψ>
<φ|ψ>* = (∫φ*ψdV)* = ∫ψ*φdV = <ψ|φ>
<φ|ψ>* = <ψ|φ> (2)
<φ|Qψ>* = (∫φ*QψdV)* = ∫(Qψ)*φdV =
<φ|Qψ>* =
* = (∫(Qφ)*ψdV)* = ∫ψ*(Qφ)dV = <ψ|Qφ>
* = <ψ|Qφ>
ψ = Σcmψm
<ψn|ψm> = ∫ψn*ψmdV = δnm
<ψn|ψ> = <ψn|Σcmψm> = Σcm<ψn|ψm> = Σcmδnm = cn
cn = ∫ψn*ψdV = <ψn|ψ> (3a)
cn* = (∫ψn*ψdV)* = ∫ψ*ψndV = <ψ|ψn>
cn* = ∫ψ*ψndV = <ψ|ψn> (3b)
= Σqm|cm|2 = Σqmcm*cm = Σqm(∫ψ*ψmdV)cm = Σ(∫ψ*qmψmdV)cm =
= Σ(∫ψ*QψmdV)cm = ∫ψ*QΣcmψmdV = ∫ψ*QψdV
= ∫ψ*QψdV = <ψ|Qψ> (4)
через скалярное произведение функций (наглядней):
= Σqm|cm|2 = Σqmcm*cm = Σqm<ψ|ψm>cm = Σ<ψ|qmψm>cm =
= Σ<ψ|Qψm>cm = <ψ|QΣcmψm> = <ψ|Qψ>
Мы получили одну из важных формул квантовой механики. Она позволяет, зная пси-функцию состояния, находить среднее значение результатов измерений любой физической величины. Для этого нужно знать также вид оператора, соответствующего данной величине.
2.08.Линейные операторы(30)
комплексно сопряженный оператор:
(Qφ)* = Q*φ* (5)
транспонированный оператор:
QT ≡ Q̃
<ψ|Qφ> =∫ψ*Qφdq ≡ ∫φQ̃ψ*dq = <φ*|Q̃ψ*>
<φ*|Q̃ψ*> ≡ <ψ|Qφ> (6a)
<φ|Q̃ψ> = <φ**|Q̃ψ**> = <ψ*|Qφ*> (6b)
<φ|QТТψ> = <ψ*|QТφ*> = <φ|Qψ>
QТТ = Q (6c)
эрмитово сопряженный оператор:
≡ <φ|Qψ> (7a)
<Ô+φ|ψ> = <φ|Qψ> =∫φ*QψdV = ∫ψQ̃φ*dV = ∫(Q̃*φ)*ψdV =
Q+ = Q̃* (7b)
через скалярное произведение функций:
<φ|ψ>* = <ψ|φ>
<φ|ψ>* = (∫φ*ψdV)* = ∫φ**ψ*dV = < φ*|ψ*>
= <φ|Qψ> = <ψ*|Q̃φ*> =
* = <(Q̃φ*)*|ψ> =
Qψn = qnψn <ψn|ψn> = 1
∫ψn*QψndV = ∫ψn*qnψndV = qn∫ψn*ψndV = qn
<ψn |Qψn> = <ψn |qnψn> = qn<ψn|ψn> = qn
1) qn = ∫ψn*QψndV = <ψn |Qψn>
qn* = (∫ψn*QψndV)* = (∫ψnQ̃ψn* dV)* =∫ψn*Q̃*ψndV = ∫ψn*Q+ψndV
qn* = <ψn|Qψn>* = = <ψn|Q+ψn>
2) qn* = ∫ψn*Q+ψndV = <ψn|Q+ψn>
qn = qn* ⇔ <ψn |Qψn> = <ψn|Q+ψn> ⇔ Q = Q+
короче:
qn = qn*
< Q+ψn|ψn> = <ψn|Qψn> = qn = qn*= <ψn|Qψn>* =
Q+ = Q
Определение. Оператор, для которого выполняется условие Q = Q+, называется сопряженным или эрмитовым.
Итак, мы пришли к выводу, что физические величины, для которых собственные величины вещественны, должны изображаться самосопряженными (эрмитовыми) операторами Q, для которых справедливы соотношения
<φ|Qψ> =
∫φ*QψdV = ∫(Qφ)*ψdV = ∫Q*φ*ψdV
Покажем, что собственные функции эрмитовых операторов
взаимно ортогональны:
Q+ = Q
= <ψm|Qψn>
Qψm = qmψm qm* = qm
Qψn = qnψn qn* = qn
1) = qm*<ψm|ψn> = qm<ψm|ψn>
2) <ψm|Qψn> = qn<ψm|ψn>
qm<ψm|ψn> = qn<ψm|ψn>
(qm − qn)<ψm|ψn> = 0
<ψm|ψn> = δmn
Q+ = Q ⇔ <ψm|ψn> = δmn
1 = ∫φ*φdV = ∫(Σcmψm)*(Σcnψn)dV = (ΣΣcm*cn)∫ψm*ψn)dV =
= (ΣΣcm*cn)δmn = Σcm*cm = Σ|cm|2
2.09.Представление операторов в матричной форме(35)
f = Qφ
φ = Σanψn
f = Σbkψk
<ψm|ψn> = δmn
an = <ψn|φ>
bk = <ψk|φ>
Σbkψk = QΣanψn = ΣanQψn
Σbk <ψm|ψk> = Σan< ψm|Qψn>
Qmn ≡ < ψm|Qψn> = ∫ψm*QψndV
Σbkδmk = ΣanQmn
bm = ΣQmnan
полагаем суммирование по повторяющимся индексам !!!
(при этом упрощаются записи)
bm = Qmnan

Qψn = qnψn <ψm|ψn> = δmn
Qmn = <ψm|Qψn> = qn<ψm|ψn> = qnδmn

(Q*)mn = (Qmn)*
(Q̃)mn = Qnm
(Q+)mn = (Q̃*)mn = (Qnm)*
ψ = Σcnψn
= <ψ|Qψ> = <Σcmψm|QΣcnψn> = cm*cnΣΣ<ψm|Qψn> = ΣΣcm*Qmncn
= cm*Qmncn
можно рассматривать как произведение матрицы строки на матрицу и на матрицу столбец
Qψ = qψ
QΣcnψn = qΣcnψn
< ψm|QΣcnψn> = <ψm|qΣcnψn>
Σcn< ψm|Qψn> = qΣcn<ψm|ψn>
ΣcnQmn = qΣcnδmn
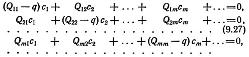
Σ(Qmn − qδmn)cn = 0
(Qmn − qδmn)cn = 0

уравнение для собственных значений:
| Qmn − qδmn| = 0

2.10.Алгебра операторов(44)
C = A + B
Cφ = (A + B)φ = Aφ + Bφ
Cmn = Amn + Bmn
C = AB
Cφ = (AB)φ = A(Bφ)
Cmn = AmkBkn
C = (AB)* = A*B*
Cmn = A*mkB*kn
C = (AB)T = BTAT
Cmn = BTmkATkn = BkmAnk = AnkBkm = (AB)nm
C = (AB)+ = B+A+
Cmn = (B+A+)mn = B+mkA+kn = B*kmA*nk = A*nkB*km = (A*B*)nm
A+ = A & B+ = B => (AB)+ = B+A+ = BA
A+ = A & B+ = B & AB = BA => (AB)+ = BA = AB
(iA)* = −iA*
(iA)+ = −iA+
bm = Qmnan
b*m = Q*mna*n = Q̃*nma*n = a*nQ̃*nm = a*nQ+nm

AB ≠ BA (не коммутирующие)
∎ A = ∂/∂x & B = x
ABφ = (∂/∂x)xφ = φ + x∂φ/∂x
BAφ = x(∂/∂x)φ ∎
AB = BA (коммутирующие)
AB = −BA (антикоммутирующие)
коммутатор:
[A, B] ≡ AB − BA
∎ [(∂/∂x), x] = (∂/∂x)x − x(∂/∂x) = 1 ∎
Qψn = qnψn
Rψn = rnψn
(Q + R)ψn = (qn + rn)ψn
(QR)ψn = Q(Rψn) = Q(rnψn) = rnQψn = rnqnψn
(RQ)ψn = R(Qψn) = R(qnψn) = qnQψn = qnrnψn
[QR] = QR – RQ = 0
AB = BA
Aψ(a)n = anψ(a)n
Bψ(b)n = bnψ(b)n
ABψ(a)n = BAψ(a)n = Banψ(a)n = anBψ(a)n
A(Bψ(a)n) = an(Bψ(a)n)
Bψ(a)n –собственный вектор A
BAψ(b)n = ABψ(b)n = Abnψ(b)n = bnAψ(b)n
B(Aψ(b)n) = bn( Aψ(b)n)
Aψ(b)n –собственный вектор B
2.11.Соотношение неопределенности(51) -можно пока пропустить !!!
∎
∆A = A − ∆B = B −
A+ = A B+ = B
∆A+ = ∆A ∆B+ = ∆B
<∆A2> = <(A − )2> =
<∆A2> =
<∆B2> =
iK = ∆A∆B − ∆B∆A = (A − )(B − ) − (B − )(A − ) =
= (AB − B − A + ) –
= AB – BA
iK = ∆A∆B − ∆B∆A = AB – BA
K+ = (–i(AB – BA))+ = i(B+A+ – A+B+) = i(BA – AB) = –i(AB – BA) = K
Конец ознакомительного фрагмента.
Текст предоставлен ООО «Литрес».
Прочитайте эту книгу целиком, купив полную легальную версию на Литрес.
Безопасно оплатить книгу можно банковской картой Visa, MasterCard, Maestro, со счета мобильного телефона, с платежного терминала, в салоне МТС или Связной, через PayPal, WebMoney, Яндекс.Деньги, QIWI Кошелек, бонусными картами или другим удобным Вам способом.
Вы ознакомились с фрагментом книги.
Для бесплатного чтения открыта только часть текста.
Приобретайте полный текст книги у нашего партнера:
Всего 10 форматов