
Канал располагался вертикально к поверхности Земли, опыт проводился в 00.30 по московскому времени 13 марта 2022 года. В это время, при вертикальном расположении канала (для исключения влияния его изгиба под собственным весом), обеспечивались максимально близкие к прямым углы между направлением распространения света и векторами линейной скорости движения Земли по орбите, а также движения Земли в составе Солнечной системы вокруг центра Млечного пути.
Если бы свет от указки распространялся бы не зависимо от указки, то из-за движения Земли точка попадания в мишень смещалась бы в сторону за время прохождения света по каналу (длина канала 2 м) на величину смещения Земли в пространстве, с учетом углов между векторами скорости света и движений Земли. Причем в начальном положении точка была бы уже смещена.
При повороте канала направление смещения должно изменяться и общее смещение от движения Земли в составе Солнечной системы вокруг центра млечного пути со скоростью 100 км/с должно было составить около 1,2 мм в направлении Юг-Север (при повороте канала на 1800 в данном направлении) и почти 0,4 мм от движения Земли по орбите вокруг Солнца в направлении Восток-Запад.
На фото № 5 (а – д) стопкадры видеосъемки процесса, взяты только повороты на 90 градусов как наиболее характерные, индикатор всегда направлен на север (видео процесса размещено моем канале в дзене: https://zen.yandex.ru/video/watch/629a5a4b563cf65726ce8227?rid=2906794310.95.1656961136995.31237&t=8).

Фото № 5 а). Начальное положение.

Фото № 5 б). Поворот на 90градусов по часовой стрелке.

Фото № 5 в). Поворот на 180 градусов.

Фото № 5 г). Поворот на 270 градусов.

Фото № 5 д). Полный поворот.
Как видно, никакого смещения метки на мишени при повороте канала не наблюдается. Таким образом, можно смело утверждать, что свет, его источник, мишень и точка попадания перемещаются одновременно и вместе с Землей. И самое главное то, что и внешний наблюдатель тоже будет наблюдать, что свет будет попадать в ту же точку на мишени, пусть и смещающуюся в составе данной группы (Земля, установка).
На рисунке № 3 схематично изображено то, что должно было бы наблюдаться если бы на свет распространялся бы независимо от источника, или если бы существовал Эфир

Рисунок № 3. Ожидаемое смещение метки в случае независимости света от источника.
А на рисунке № 4 то, что наблюдалось в ходе опыта.

Рисунок № 4. Наблюдаемое в ходе опыта поведение света.
И еще раз обозначу самое главное – наблюдатель вне Земли также видел бы, что свет указки попадает в туже точку на мишени.
НОВЫЙ УРОВЕНЬ
Теперь остаётся добавить, пусть пока и мысленно (ну а почему бы не использовать те же методы), свет внешний, представив, что канал – это труба телескопа. На рисунках № 5 и № 6 изображены схемы этого эксперимента. На рисунке № 5 ситуация если бы Земля была бы неподвижна.

Рисунок № 5. Внешний (синий) и внутренний (внутренний) свет в неподвижном канале, если бы Земля не двигалась по орбите.

Рисунок № 6 Реальное поведение внешнего и внутреннего света.
На рисунке № 6 изображено реальная ситуация и смещение внешнего света (схематичное представление годовой звездной аберрации), пока учтем лишь смещение из-за движения Земли по орбите, в направлении восток–запад на те же приблизительно 0,4 мм в сумме при полном обороте канала, или на 0,2 в одну сторону (точность оценки в данном случае значения не имеет, так как важен сам факт смещения).
И снова внешний наблюдатель будет видеть это же самое перемещение отметки от внешнего света по мишени, в том же количестве единиц координатной сетки.
Представим поведение света указки если бы она должна была попадать в мишень, находящуюся у внешнего наблюдателя, который неподвижен относительно Солнца. Как показал проведенный автором опыт, свет указки движется вместе с Землей, а значит смещается мимо внешнего наблюдателя и его мишени, что приведет к смещению по ней метки от света указки. Вроде ничего особенного, та же аберрация, как и для внешнего света на Земле, только в зеркальном отображении, в соответствии с принципом относительности движения.
А вот тут-то и кроется принципиальная разница.
ОТНОСИТЕЛЬНОСТЬ РЕАЛЬНОСТИ.
Как в общепринятом варианте объясняют аберрацию? Самый распространенный пример, который приводят, это капли дождя падающие вертикально вниз и человек, который стоит и бежит под этим дождем. Когда человек стоит капли падают вниз и надо зонтик держать над головой (рисунок № 7), а когда он бежит траектория капель как бы наклоняется и ему надо наклонить зонтик чтобы это компенсировать (рисунок № 8).

Рисунок № 7. Неподвижный человек под вертикальным дождем.

Рисунок № 8. Наклон траектории капель в системе движущегося человека.
Но изображенное на рисунке № 8 отклонение от вертикали траектории капель, это всего лишь кажущееся изменение, реальная их траектория остается вертикальной.
И реальный физический процесс изображен на рисунке № 9. Конечно зонтик можно и наклонить, но, на мой взгляд, так наглядней.

Рисунок № 9. Бегущий человек под вертикальным дождем.
С точки зрения математической модели, для вычисления координат падения капель на человека, разницы нет, что капли двигаются под углом, что человек набегает на капли, первый вариант (рисунок № 8), наверное, даже проще как-то выглядит для понимания. Но при рассмотрении в реальном физическом пространстве, реального процесса разница принципиальная! Не капли меняют направление и попадают на человека, а человек набегает на капли, которые, как двигались вертикально вниз, так и двигаются и никуда фактически не отклонятся.
Также и в случае звездной аберрации на Земле – внешний свет движется в том же своем первоначальном направлении, сдвигается сама Земля, а с ней и место попадания света в мишень, расположенную на Земле. И в данном случае сложение векторов перемещений света и Земли и, следовательно, отклонение пути, пройденного светом, справедливо только как математическое абстрактное действие для вычисления предполагаемого места попадания света на мишень, и никакого фактического изменения направления и величины скорости света не происходит ни в системе Земли ни во внешнем пространстве. Соответственно не увеличивается ни фактический путь света, ни время прохождения светом фактического пути. То есть – нет НИКАКОЙ НЕОБХОДИМОСТИ придумывать какое-то искажение времени или пространства.
В случае же, когда Земной свет попадает во внешнюю неподвижную мишень, сдвигается как раз сам Земной свет вместе с Землей и вот тут уже происходит как раз фактическое сложение скоростей света и Земли, хотя направление скорости самого светового сигнала не изменяет своего направления относительно источника.
Еще один пример из общепринятых мысленных опытов.
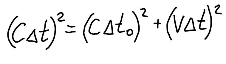
Вот как обычно иллюстрируют эффект замедления времени с помощью световых часов, в которых импульс света периодически отражается от двух зеркал (рисунок № 10, слева часы неподвижны, справа движутся). Расстояние между зеркалами равно L. Время движения импульса от зеркала к зеркалу в системе отсчёта, связанной с часами, равно Δt0=L/C. Пусть относительно неподвижного наблюдателя часы двигаются со скоростью V в направлении, перпендикулярном траектории светового импульса. Для этого наблюдателя время движения импульса от зеркала к зеркалу будет уже больше.

Рисунок № 10. Световые часы
Так как световой импульс проходит в неподвижной системе отсчёта вдоль гипотенузы треугольника с катетами L=CΔt0 и VΔt.
Импульс распространяется с той же скоростью С, что и в системе, связанной с часами. Поэтому по теореме Пифагора:

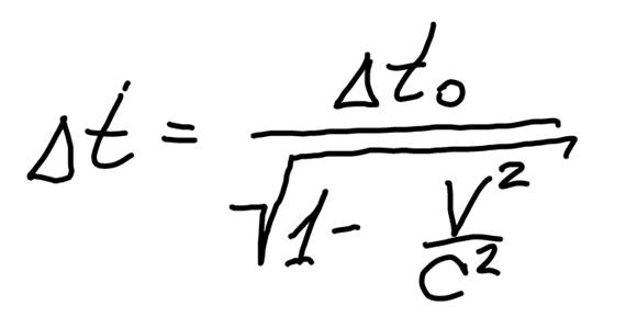
Выражая Δt через Δt0, получаем формулу замедления времени

Однако, что происходит в данной ситуации НА САМОМ ДЕЛЕ? Свет, как проходил расстояние между зеркалами L, так и будет его проходить (рисунок № 11, направление выхода сигнала из источника указано синими стрелками). При этом, за то время, которое требуется свету, чтобы пройти от верхнего зеркала до нижнего, сдвигаются сами часы. И время это будет определяться только прохождением светом расстояния между зеркалами, Движение же самих часов никак на это время влиять не будет. И в этом случае необходимо принять тот факт, что скорость света векторно суммируется со скоростью часов.

Рисунок № 11. Реальные световые часы.
А если и дальше утверждать, что свет распространяется не зависимо от источника, то в ситуации изображенной на рисунке № 10, свет вообще пройдет мимо нижнего зеркала (скорость часов явно больше скорости света – сдвиг часов больше расстояния между зеркалами). И, кстати, изображенная на рисунке № 10 ситуация, исходя из формулы замедления времени, вообще не возможна – так как выражение под знаком корня имеет отрицательное значение. Максимум скорости часов – это скорость света. Но тогда время в неподвижной системе растягивается до бесконечности. Как же тогда быть, например, со светом включаемого фонаря? Мы вообще его увидеть не должны – скорость света конечна, а время для нас с момента начала движения света «уходит» в бесконечность. При существующих представлениях (движение света не зависит от движения источника), в экспериментах подобным изображенному на рисунке № 10, луч в движущихся часах никогда не попадет в туже точку приема как в неподвижных часах. И это делает бессмысленными все эти мысленные (извините за тавтологию) эксперименты со световыми часами. А чтобы он попал в первоначальную точку приема, луч надо специально отклонить на требуемый угол, и тогда его путь действительно станет больше, но во всех системах. Или все-таки поведение света зависит от движения источника и свет движется в пространстве вместе с системой источника?!
Так что утверждение СТО о равноправии систем отсчета (даже не вступая в полемику о максимальности скорости света во вселенной) и существовании только относительного движения превращается лишь в математический инструмент и не более того. Никакой безоговорочной одинаковости относительных движений, в физическом действительном пространстве, не существует в принципе.
И вот она, та самая главная и непростительная оплошность (хочется верить, что сделана она была случайно), которая и привела ко всем, мягко сказать, некорректностям.
Понятие СИСТЕМЫ ОТСЧЕТА как физическое понятие системы для рассмотрения процессов и представляющую часть или все реальное физическое пространство, в которой, и только в которой, возможно рассматривать физические процессы, заменили СИСТЕМОЙ КООРДИНАТ – МАТЕМАТИЧЕСКОЙ АБСТРАКЦИЕЙ, соответственно и картина рассматриваемых с помощью этой абстракции процессов получается абстрактная, зачастую искажающая суть реальных процессов. И использовать эти системы координат можно и нужно лишь для построения таких же математических абстрактных моделей процессов. И эти модели всегда имеют границы применимости, и применять их возможно только в том случае если при их построении будут верно учтены все реальные факторы. При этом нельзя забывать, что полностью заменить именно СИСТЕМУ ОТСЧЕТА системой координат невозможно.
Равноправие физических систем отсчета справедливо только при полной симметрии причин и следствий протекающих в них процессов.
А вот для систем координат такое правило вовсе не обязательно. И в этом случае, абстрактная математическая симметрия может быть справедлива и для процессов не симметричных в реальном мире.
Кроме того, почему-то упущено и никогда не упоминается принципиальное свойство по настоящему инерциальной системы отсчета – это её изолированность от внешнего пространства и его воздействия, причем абсолютная! Только в этом случае можно утверждать, что в такой системе невозможно будет определить двигается ли она или нет, а значит будет справедливо и определение её как инерциальной системы отсчета. Но это уже не просто другая система отсчета, а уже практически другое пространство.
НОВЫЙ СВЕТ.
Вернемся к поведению света указки и внешнего света звезд. Они ведут себя неодинаково в одном и том-же пространстве канала установки. То есть и поведение света не инвариантно. Выявленная неодинаковость поведения света возможна только в двух случаях: либо свет – это поток частиц, либо свет – волна и либо среды для распространения её не требуется, либо среда, в которой она распространяется, всегда должна быть неподвижна в физической системе отсчета, в которой находится источник света. И система именно не связана с источником, а непосредственно включает его. Потому, что источник и сам может двигаться в этой среде (как, например, воздух и летящий в нем самолет, звук от которого будет распространяться в воздухе уже самостоятельно и не зависимо от самолета). В случае, если для распространения волны среда не нужна совсем, как сейчас принято, ведь свет считают самоподдерживающейся электромагнитной волной, для распространения которой среда не нужна (кстати, возможно именно это и породило утверждение об инвариантном поведении света во всех «системах отсчета»), то свет всегда будет вести себя одинаково во всех физических системах отсчета и самое главное независимо внутренний он для системы или внешний. Однако действительность однозначно доказывает, что это реальному положению дел не соответствует. А вот утверждение, что свет – это поток частиц, максимально этому соответствует. И только в этом случае возможно сложение скоростей источника и сигнала.
Но тогда, получается, что скорость света не является максимальной скоростью для передвижения в пространстве? Да, и это утверждение, о невозможности движения со сверхсветовой скоростью, получилось похоже чисто математическим путем. По крайней мере, никаких свидетельств существования именно запрета движения со сверхсветовой скоростью нет (кроме либо умозрительных, либо получающихся из абстрактных математических формул).
Вернемся к мысленному эксперименту, который якобы доказывает невозможность сверхсветовых скоростей – вспомним ленту и сигнал.
Для доказательства невозможности превышения скорости света сразу использовалось релятивистское сложение скоростей. И никого НИЧЕГО не смущает! Но позвольте, если предполагать возможность движения со сверхсветовой скоростью, зачем это нужно?! И ладно уж, используйте на здоровье релятивистское сложение, но, если предполагать возможность превышения скорости света, тогда вместо нее надо в пресловутый фактор Лоренца (релятивистскую поправку) включать более высокий предел скорости. А исходя из условий эксперимента скорость сигнала может быть какой угодно высокой. Таким образом, использование поправки просто лишено всякого смысла, так как верхний предел скорости уходит в бесконечность!!!!!
И вот предварительный итог: с относительностью одновременности разобрались, безоговорочного равноправия систем отсчета практически не существует, да и сверхсветовое движение, в общем-то ничем теоретически не запрещено.
Ну как? При пристальном и непредвзятом рассмотрении, все утверждения, которые легли в основу СТО или ею утверждаются, мягко говоря не соответствуют реальности. Тем более, и еще не раз это упомяну, в большинстве расчётов релятивистские поправки просто отбрасывают в ввиду V<
НОВЫЙ ВЗГЛЯД НА СТАРЫЕ ДОКАЗАТЕЛЬСТВА.
Рассмотрим отдельные примеры, которые считаются исключительно проявлением СТО, с новых позиций.
Расчет разности хода лучей для эффекта Саньяка во вращающемся круговом интерферометре.
В настоящее время этот эффект считается чистым проявлением СТО. Вывод формулы для расчета разности хода происходит с использованием релятивистских расчётов, приближений и, в конечном итоге, не учетом той самой релятивистской поправки из-за крайней малости скорости вращения реальных интерферометров по сравнению со скоростью света. В результате получается для одновиткового интерферометра:
ΔL≈4SΩ/C,
где S площадь контура витка интерферометра, Ω угловая скорость поворота интерферометра, ну а С это С.
А ниже на рисунке № 12 разность хода вычислена исходя из того, что пространственная скорость сигнала складывается из скоростей источника и сигнала относительно источника без использования релятивистского сложения скоростей. В итоге все получается просто и понятно. А самое главное, то, что знак равенства в этом случае настоящий – без всяких приближений, пренебрежений малыми величинами и тому подобное. И кстати, если уж говорить про расчет на принципах СТО и не возможности увеличения скорости света, то одновременно выпущенные источником импульсы света вообще могут не встретится на приемнике, и весь расчет просто не будет иметь смысла.

Рисунок № 12. Вывод значения разности хода встречных лучей для эффекта Саньяка.
И на мой взгляд самое показательное и интересное.
Вспомним эксперимент Ипполита Физо по определению влияния движения среды на скорость света в ней распространяющегося.
Сам Эйнштейн говорил, что из всех экспериментальных результатов, наибольшее влияние на него оказали наблюдения звёздной аберрации и измерения Физо скорости света в движущейся воде, которых ему, по его же словам, «было достаточно».
На рисунке № 13 представлена схема опыта Физо.

Рисунок № 13. Схема опыта Физо и ее описание.
S’ источник света, S место наблюдения интерференционной картины.
L’ линза направляющая лучи на зеркало m.
L линза создающая параллельный пучок из света источника направляемого зеркалом G.
A1 и A2 трубы с движущейся в разных направлениях водой.
O1 и O2 щели, создающие два луча.
Как известно, ожидаемый результат, исходя из полного увлечения света или светоносного эфира (что соответствует результатам Майкельсона Морли), следующий:
Скорость света распространяющегося против движения воды Vсв – = C/n‑W;
Скорость света, распространяющегося вместе с водой Vсв+=C/n+W;
где: n– показатель преломления воды,
W – скорость воды,
С/n– скорость света в воде.
Однако, Физо, по результатам эксперимента, обнаружил, что среда увлекала свет частично. Полученная Физо зависимость влияния скорости воды на скорость света имела вид:

Формула влияния движения среды на скорость света экспериментально полученная Физо.
Ох как этот результат пытались объяснить, в ходе поисков решения формулу даже усовершенствовали и добавили доплеровскую поправку.
В конце концов полностью объяснить это «удалось» только с использованием СТО, но как! Не буду приводить всю громоздкую релятивистскую схему сложения. Скажу лишь, что в конце просто выкидываются малые величины релятивисткой поправки, получающиеся из приближения V<
Только не точно, а приблизительно, по объясненным выше причинам.
А вот если просто логически порассуждать (и даже без утверждения что свет – это поток частиц), то без всякой релятивистики спокойно получается твердое равенство и простое понятное объяснение.
Итак, на момент проведения опыта уже было установлено, что свет в среде (в опыте – это вода) распространяется с меньшей скоростью чем в вакууме, равной Vсв0=C/n. То есть среда тормозит свет, или сопротивляется прохождению света, но не полностью, а только в какой-то степени. Это влияние и определено коэффициентом преломления. Но тогда логично ожидать, что увлекать в своем движении свет среда тоже будет не полностью, а в той же степени. А с точки зрения математической относительности – это свет будет сопротивляться прохождению через себя среды и тоже в той же степени.
И скорость среды сквозь свет должна рассчитываться также:
Wсв=W/n и разность W и Wсв и будет той самой поправкой к скорости света в движущейся среде: ΔW=W-Wсв=W-W/n=W(1-1/n).
Тогда получается, что скорость света в движущейся среде равна и именно равна полностью (а не приближенно и с не учетом малых величин):
Vсв-=C/n-ΔW и Vсв+=C/n+ΔW или:

Формулы, полученные автором статьи
Или попроще: влияние среды на свет выражается в изменении скорости прохождения последнего через эту среду. То есть разность скорости света в вакууме и в среде и есть это влияние. Тогда: ΔС=С0-Сср= С0-С0/n= С0(1-1/n). Отсюда получим коэффициент взаимодействия света со средой: (1-1/n).
Движущаяся среда будет воздействовать на проходящий через нее свет также, как и неподвижная, и «цеплять» свет будет тоже в той же степени. То есть поправка к скорости света в движущейся среде должна быть равна на полной скорости среды, а умноженной на коэффициент взаимодействия. Таким образом не мог Физо получить никакой другой результат, кроме того, который и получил!
ЗАЧЕМ все сложности, растянувшиеся уже на много-много лет – ведь до сих пор ученые экспериментально проверяют справедливость этих формул! Я никогда не любил хвалиться, но данные формулы получились в ходе 2 минут размышлений.
Как-то мне попалось упоминание одного заявления очень знаменитого ученого прошлых лет о том, что не может быть правильной и хорошей теории без применения сложных инструментов высшей математики. Вот похоже и соревнуются великие умы в её применении (пример из жизни – если есть шуруповерт, то про отвертку забывают).
И снова к основной теме, представленное объяснение опыта Физо полностью согласуется с тем, что свет – это поток частиц.
Кстати, довольно просто объясняется и результат одного рискованного эксперимента, проведенного одним из достопочтенных ученых мужей.
Данный господин, предположил, что если в телескоп залить воду, то уменьшение скорости света приведет к увеличению времени прохождения его светом (что логично), а значит должно увеличиться смещение телескопа вместе с Землей при её движении по орбите. То есть должна увеличиться величина аберрации звезд. Однако, опыт показал, что величина аберрации не изменилась (телескоп, кстати, тоже не повредился).