
The variable component of the amplified signal is detected by the second amplitude detector 9. The detected signal (see Figure 3. e) from the output of the second amplitude detector 9 is integrated by the second integrator 10 and fed to the second input of the signal ratio device 13.
In this case, the voltage supplied to the second input of the signal ratio receiving device 13, taking into account the above, can be defined as:

where k2=cFP2kU2kAD2kINT2 is the total transmission coefficient of the blocks connected in series of the second radiation receiver 7, the second amplifier 8, the second amplitude detector 9 and the second integrator 10; kAD2 is the transmission coefficient of the second amplitude detector; kINT2 is the transmission coefficient of the second integrator.
It is known that optical devices designed to measure temperature mainly use a transparent region of the atmosphere spectrum. Therefore, for a small distance between the object of control and the radiation receiver, it can be assumed that, τλ1mc=τλ2mc"1. Then, when using identical electronic blocks for the radiation fluxes Fλ1mPI1 and Fλ2mPI2, we have k1 = k2. Therefore, at the output of the signal ratio receiving device 13, in proportion to the temperature of the control object 1, a voltage ratio is formed:

or

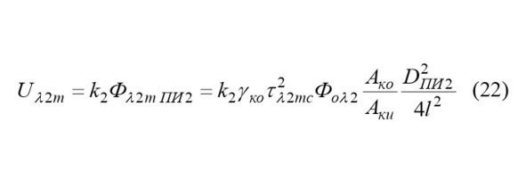
Since solar parabolocylindrical concentrators have a reflection coefficient in the near and middle IR spectral region that is constant and is γλ2ko = 0.1.
Then the temperature in the local focal zone of solar parabolocylindrical concentrators is defined as:

Thus, it can be seen from the last expression that the temperature in the local focal zone of solar parabolocylindrical concentrators is proportional to the voltage ratio Uλ1m and Uλ2m, which is recorded by the recording device, where it is taken into account.
Literature
1. Ergashev S. F., Kuldashov O. H. Control of gas concentration in geothermal energy. NTZH FerPI, 2014.No.3. from 105-109.
2. Daliev S. H., Nasriddinov S. S., Kuldashov O. H. The use of LEDs (1.94 µm) to measure the moisture content of raw cotton. Proceedings of the International conference "Optical and photoelectric phenomena in semiconductor micro- and nanostructures". Fergana, 2020, pp.426—427.
3. Kuldashov O. H. Optoelectronic device for remote temperature control of raw cotton riots. International Conference "Geoinformation support of aerospace monitoring of hazardous natural processes". Irkutsk, NIU, 2010.
4. Bezylaznaya T. V., Bogdanovich M. V., Kabanov V. V., Kabanov D. M., Lebedok E. V., Paraschuk V. V., Ryabtsev A. G., Ryabtsev G. I., Shpak P. V., Shchemelev M. A., Andreev I. A., Kunitsyna E. V., Sherstnev V. V., Yakovlev Yu. P. Optoelectronic pairs of LEDs-photodiode based on the InAs/InAsSb/InAsSbP heterostructure for carbon dioxide detection. Physics and Technology of Semiconductors, 2015, volume 49, vol. 7. C1003—1006.
5. Jha S. et al.«Violet-blue LEDs based on p-GaN/n-ZnO nanorods and their stability // Nanotechnology. – 2011, doi: 10.1088/0957—4484/22/24/245202.
MATHEMATICAL SCIENCES
THE PARADOXES OF MATHEMATICS POPULAR IN MODERN SCIENCE
UDC 520.254
Aliyev Ibratjon Xatamovich
2nd year student of the Faculty of Mathematics and Computer Science of Fergana State University
Aripova Sayyora Boxodirovna
Teacher of secondary school No. 1 of the city of Ferghana
Annotation. There is a weak spot in the foundation of mathematics, because of which it is impossible to know everything for sure, there will always be true statements that cannot be proved, no one knows exactly what these statements are, but they are similar to the hypothesis of «twin numbers». So pairs of prime numbers, where one of them is larger than the other by 2, for example 11 and 13 or 17 and 19. If you go higher up the numerical line, prime numbers are becoming rarer, not to mention such pairs. But the hypothesis about prime numbers says that there are infinitely many of them. So far, no one has been able to prove or disprove this yet.
Keywords: mathematics, calculations, discrete mathematics, logic.
Аннотация. В фундаменте математики есть слабое место, из-за чего нельзя знать всё наверняка, всегда будут истинные утверждения, которые нельзя доказать, никто точно не знает, что это за утверждения, но они похожи на гипотезу о «числах близнецах». Так пары простых чисел, где одна из них больше другого на 2, например 11 и 13 или 17 и 19. Если идти выше по числовой прямой простые числа встречаются всё реже, не говоря уже о таких парах. Но гипотеза о простых числах гласит, что их бесконечно много. До сих пор никто ещё не смог это доказать или опровергнуть.
Ключевые слова: математика, расчёты, дискретная математика, логика.
But the amazing thing is that most likely no one will ever be able to do it. After all, it is well known that in any mathematical system where operations are defined, there will always be true statements that cannot be proved. The best example is the mathematical model of the game "Life", created by mathematician John Conway in 1970.
"Life" unfolds on an endless field of square cells, each of which is either "alive" or "dead", there are only 2 rules in the game: any dead cell with 3 neighbors comes to life and any living cell with less than 2 or more than 3 neighbors dies. So you can set the initial configuration of the location of points and the model creates the first, second, third and subsequent generations. Everything happens automatically, although the rules are simple, they generate quite complex behavior, where the following situations arise:
1. Stable states that freeze in place;
2. Looping in an endless loop, constantly flickering;
3. They run away in an endless field, like gliders;
4. Simply mutually destroyed;
5. Living forever and creating new cells.
And looking at such conditions, I would like to assume that any behavior can be predicted, whether they will come to rest or will grow indefinitely depending on the initial conditions. But no matter how strange it may be, it is not possible to do this. That is, it is impossible to create an algorithm that would find the answer in a finite period of time, without executing the algorithm itself, up to a certain point, but even so, it is possible to talk only about the final account of time, that is, up to a certain number of generations, and not about infinity.
But what is even more surprising is that such unsolvable systems are not isolated and obviously not rare. You can bring Wang tiles, quantum physics, air ticket sales or card games. But to understand how the unsolvability arises in these cases, we will have to go back to the times of the XIX century, when this split happened in mathematics.
In 1874, the German mathematician Georg Kantor published his work, giving rise to "Set Theory". Sets are an accurately described collection of something, which can include anything – shoes, planetariums of the world, people. But among such sets there are also empty ones – there is simply nothing in them, but there are also sets containing absolutely everything – these are universal sets.
But Cantor was not interested in so many things, but in so many numbers, namely, the sets of natural numbers are all integers, rational numbers are all numbers that can be represented as fractions, this also includes integers, as well as those included in the set of rational – the set of irrational numbers – the number "pi", Euler, the root of two, as well as any other number that can be represented as an infinite decimal fraction. Cantor's question was to determine which numbers are greater – natural or real in the range from 0 to 1. On the one hand, the answer seems obvious – both are infinite, that is, the sets are equal, but some table was created to demonstrate this.
The idea of the table is extremely simple – let each natural number correspond to a certain real number in the range from 0 to 1. But since these are infinite decimals, they can be written in random order, but the most important thing is that absolutely everything is present and there is not a single repetition. If, as a result, there are no extra numbers left when checking with a certain super machine, then it turned out that the sets are the same.
And even if we assume that this is the case, Cantor suggests inventing another real number as follows. He adds one to the first digit after the decimal point of the first number, then one to the second digit of the second number, one to the third digit of the third number, etc., if 9 comes across, subtract one, and the resulting number is still in the same interval between 0 and 1, while never repeating itself in the whole list, because from the first numbers it differs from the first, from the second by the second, from the third by the third, etc. by numbers up to the very end.
That is, it differs from each number by at least one diagonal digit, hence the name – Cantor's Diagonal Method, which proves that there are more rational numbers between 0 and 1 than all natural ones. It turns out that infinities can be different, hence the concepts of continuum, as well as countable and uncountable sets. And to admit, this work was not a bad stress for mathematicians of that time, because for 2000 years Euclidean geometry, which was considered ideal, was going through difficult times thanks to Lobachevsky and Gauss, who discovered non-Euclidean geometry, this led to a poor definition of the limit – the basics of mathematical analysis.
And now Mr. Kantor has decided to contribute to these processes, showing that infinity is much more complicated than it seemed. Because of this, no small disputes broke out, dividing mathematicians into 2 camps – intuitionists who believed that Cantor's work was nightmarish, and mathematics was an invention of the human mind, and Cantor's infinities could not simply be. Unfortunately, Henri Poincare, who wrote: "Posterity will read about set theory as a disease that they managed to overcome," and Leopold Kroniker called Cantor a charlatan scientist and a corrupter of young minds. And also diligently interfered with his career.
They were opposed by formalists who believed that set theory would put mathematics on a purely logical basis. And their non-official leader was the German mathematician David Hilbert, who at that time became a living legend, with works in almost all areas of mathematics, having created concepts that became the basis of quantum mechanics, and he knew perfectly well that Cantor's work was brilliant. After all, such an idea, a strict and clear proof system based on set theory could solve all mathematical difficulties, and many agreed with him. This is also proved by his words: "No one can expel us from the Paradise that Kantor created."
But in 1901 Bertrand Russell pointed out a serious problem in set theory, because if a set can contain anything, it also contains other sets and even itself. For example, the set of all sets must contain itself, as well as the set of sets with more than 5 or 6 elements, or the set of all sets containing themselves. And if you accept this, it turns out to be a strange problem, because what to do with the set of all sets that do not contain themselves?
After all, if this set does not contain itself, it must contain itself, and if it does not contain itself, then by definition, it must contain itself. It turns out the paradox of self-reference, where the set contains itself only if it does not contain itself and does not contain itself only when it contains. But his allegory is more popular, with a city where only men live and a barber should shave only those men who do not shave themselves, but the barber himself is also a man and lives there. But if he does not shave himself, then a barber should shave him, but he cannot shave himself, because he does not shave those who shave themselves, it turns out that he should shave himself only if he does not shave himself. And of course, intuitionists were happy about this paradox.
But Hilbert's followers solved this problem by simply changing the definition to the fact that the set of all sets is not a set, just like a set of sets that does not contain itself. And although the "battle" was won, the self-reference remained and awaited its revenge.
This problem has been revived since the 60s of the XX century, when mathematician Hao Wang was thinking about ways to decompose multi-colored tiles by setting the following conditions – you can combine the edges of the same color, but you cannot rotate or flip the cell. And then the question arises, is it possible to tell from a random set of tiles whether it is possible to pave the entire plane? Is it possible to do this indefinitely and surprisingly, this task has become unsolvable, like the game "Life" and the whole problem has again been reduced to the already familiar self-reference, which has yet to be learned.
And then Hilbert decided to create a reliable proof system. The main idea of such a model was back in ancient Greece, where some initial statement was taken for truth without evidence – an axiom, for example, that only one straight line can be drawn between two points and evidence from consequences is built on the basis of these statements. So it turns out to preserve the truth of statements, where if the original ones are true, the new ones are also true.
So Hilbert wanted to get a symbol system – a language with a strict set of operations, where mathematical and logical statements could be translated into this language, and the phrase if you drop the book, it will fall down to (1).

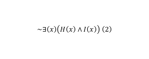
Which read: «If A, then B.» And the statement that «There are no immortal people» would look like (2).

So the formalists wanted to give mathematical axioms the form of symbolic statements and establish the rule of inference as mathematical operations in this system. Russell, together with Whitehead, decomposed and described such a formal system in the three-volume "Principles of Mathematics", published in 1913, which became a monumental work of 2,000 pages of dense mathematical text, where on 762 pages a proof is given that 1 +1 =2, after which it is stated that "the above application sometimes turns out to be useful" ("The above proposition is occasionally useful"). They planned to write the 4th volume, but it seems fate did not like it, speaking more figuratively and giving a not bad example.
The thing is that although such mathematical records are too unusual, they are brief and accurate than ordinary language, leaving no room for errors or fuzzy logic, allowing you to describe the properties of the formal system itself. And if such an opportunity has finally appeared, then this is the time to study mathematics itself, posing three main questions:
1. Completeness of mathematics, that is, is it possible to prove any true statement?
2. Consistency, that is, is mathematics free from contradictions? After all, if you can say that A is true and that A is false at the same time, then you can prove anything and all meaning in science itself disappears.
3. Solvability of mathematics, that is, is there an algorithm that would say – does any conclusion follow from the axioms?
Gilbert was convinced that all three questions could be answered positively by delivering a fiery speech at the conference of the 30th year, concluding with the phrase: "Let our slogan be not ignorabimus, which means "we will not know", but something completely different: "we must know – we will know!"", these words were carved on his tombstone, but the day before the speech, at the same conference, 24-year-old logician Kurt Goedel told that he was able to find the answer to Hilbert's first question about completeness and surprisingly the answer was completely negative.
Is it really impossible to fully formulate mathematics? And the only one who showed interest in the young man was John von Neumann, a former student of Hilbert, asking various clarifying questions, after which, in the following 1931, Goedel published an article about incompleteness and everyone, together with Hilbert, then paid attention to him and his proof.
And the proof looked like this. He wanted to use logic and mathematics to find answers to questions about how logic and mathematics work, for which he took all the signs of the mathematical system and assigned each of them its own number, giving the Godel numbering.
His system is demonstrated in (3—17).

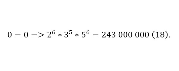
But if you spend on each digit of a number, then for the numbers themselves, for example, for 0, the digit – 6 is assigned, and if you write 1, you write "s0", which means "next to 0", for 2 – ss0, and so you can express any integer, albeit cumbersome. So, if indicators were introduced for the designation and numbers, then you can write down equations, for example, "0=0", these values are assigned the numbers 6, 5, 6, respectively, but for the equation "0=0", you can create your own card, take prime numbers with 2 and they are raised to a power the numbers of the element according to the Godel system, and then they are multiplied.
So the equation «0=0» is written in (18).

That is, for the equation "0=0", the Godel number is 243,000,000 and as you can see, such combinations can be obtained for absolutely any equation, any combination of symbols, and it is like an infinite deck of cards, where there is a personal card for any combination. And the beauty of the system also lies in the fact that you can not only get a number from an equation, but also from an equation, for comparison, you can take any number, simply decompose it into prime factors, and depending on the powers of the primes, get an equation.
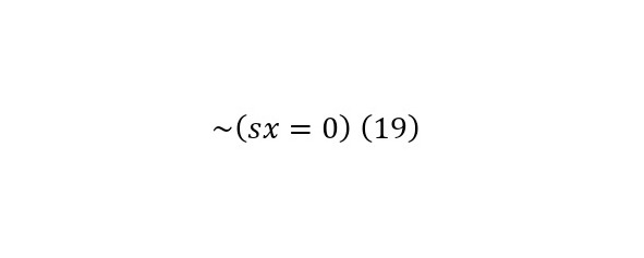
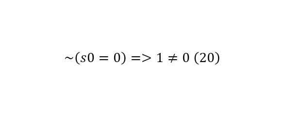
Of course, there will be both true and false statements in this deck, but to prove them, it is necessary to turn to axioms that also have their own Godel numbers, for example, for the axiom: «There is no any number for any number x equal to 0», because there is no 0 in this system. Write down such an axiom it is possible in (19), and in (20), to substitute 0 for it, from which it follows that 1 = 0.


This is how any statement in the Godel system can be proved, and of course, this equation has its own Godel number (21).

Here the two meanings for the proof and the axiom itself are different. And as you can see, the values are getting bigger and bigger, so you just need to enter other more capacious designations in the form of letters, but it turned out that for the number g, with equation (22):

the proof was the number g itself, that is, these two numbers coincided and it turned out that there is not a single card in the entire deck that could prove such a statement. That is, if it is false and there is proof of it, then it has been proved that there is no proof. This is a complete dead end, meaning the inconsistency of the system. After all, even if we say that this statement is true, it would turn out that there are statements, even if there are axioms, that there are no proofs for them. And this means that the system is not complete, it followed from this that any mathematical system capable of simple arithmetic calculations will always contain true statements that have no proof.
An interesting example of this is given in the quote: "Jim is my enemy, it turns out that he is his own worst enemy, and the enemy of my enemy is my friend, so Jim is my friend, but if he is an enemy to himself, and the enemy of my friend is my enemy, then Jim is my enemy, but…" and this sequence can continue indefinitely. And unfortunately, the answer to the first question turned out to be negative.
If we return to the second question, then the consistency of the system cannot be proved by the system itself, so it remains a big question. And then the solvability of mathematics becomes the third question, that is, is there an algorithm that, using its axioms, will accurately show the following statements from it? The solution to the problem was on the side of Alan Turing in 1936, having invented a modern computer for this, although he wanted to create devices with the power to solve problems of any complexity with simple algorithms.
He came up with the idea of a device fixed on an infinite tape, with square cells containing either 0 or 1. The device is equipped with a read-write head, reading it at a time, and then it can either write a new value, go left or right, or stop. In this case, the stop is the end of the program, with the output of the result. And the program is a certain algorithm that tells the machine what to do and make what decision, depending on the incoming information. This program can be transferred to the second Turing machine, and it will regularly execute it as well as the first, and this allows the machines to do anything, from addition and subtraction, over the most complex algorithms of our time, solving the third Hilbert problem. When it stops, the program stops, and the numbers on the tape are the answers.
But sometimes it is possible to cause a case when the machine falls into an infinite cycle and then the question of whether it is possible to predict the further action of the machine by knowing the initial data becomes very relevant. Turing realized that this problem of not stopping is similar to the problem of undecidability, and if you understand whether the machine will stop, it will not be difficult to understand whether the system will be solvable. For example, we can take the hypothesis about twin numbers, which was mentioned earlier, and then the machine would formulate with the help of axioms all the immediate resulting theorems, constructing all the resulting theorems, comparing each theorem from different generations with the hypothesis about twin numbers, it would be a real machine of genius!
Solving the stopping problem, one could solve everything and predict anything, and then Turing decided to make a little trick by introducing a second machine that would determine the stopping of the first machine. That is, the initial data would be entered, the algorithm of the machine would be described, and the new machine "b" would give out whether the first machine would stop or not, while stopping after what time did not matter anymore, as did the device of both machines.
But it is possible to improve this machine "b" by adding two more actions to it: if the first machine stops, let the improved version of machine "b" – machine "c" turn on an infinite cycle and, if it is issued through the internal "b" that "a" does not stop, stop the first machine. A program for a new machine can be set as a code, but what happens if you set the same code for it both as an algorithm and as a code? Quite an interesting question, it turns out that the machine "c" itself simulates how the same machine "c" will behave by entering its own code, defining its own behavior under some circumstances.
Then it turns out that if somehow machine "c" thinks it will never stop, it will stop, if it thinks it will stop, it will never stop. Any output data is false and, therefore, the original machine "b" simply cannot be and it is impossible to predict whether the first Turing machine "a" will stop.