

I have done it by trying & observation & can now do it at any time, but I want to know if the problem admits of being put into a mathematical Formula, & solved in this manner. . . . There must be a definite principle, a compound I imagine of numerical & geometrical properties, on which the solution depends, & which can be put into symbolic language.
A formal solution to a game—the very idea of such a thing was original. The desire to create a language of symbols, in which the solution could be encoded—this way of thinking was Babbage’s, as she well knew.
She pondered her growing powers of mind. They were not strictly mathematical, as she saw it. She saw mathematics as merely a part of a greater imaginative world. Mathematical transformations reminded her “of certain sprites & fairies one reads of, who are at one’s elbows in one shape now, & the next minute in a form most dissimilar; and uncommonly deceptive, troublesome & tantalizing are the mathematical sprites & fairies sometimes; like the types I have found for them in the world of Fiction.” Imagination—the cherished quality. She mused on it; it was her heritage from her never-present father.
We talk much of Imagination. We talk of the Imagination of Poets, the Imagination of Artists &c; I am inclined to think that in general we don’t know very exactly what we are talking about. . . .
It is that which penetrates into the unseen worlds around us, the worlds of Science. It is that which feels & discovers what is, the real which we see not, which exists not for our senses. Those who have learned to walk on the threshold of the unknown worlds . . . may then with the fair white wings of Imagination hope to soar further into the unexplored amidst which we live.
She began to believe she had a divine mission to fulfill. She used that word, mission. “I have on my mind most strongly the impression that Heaven has allotted me some peculiar intellectual-moral mission to perform.” She had powers. She confided in her mother:
I believe myself to possess a most singular combination of qualities exactly fitted to make me pre-eminently a discoverer of the hidden realities of nature. . . . The belief has been forced upon me, & most slow have I been to admit it even.
She listed her qualities:
Firstly: Owing to some peculiarity in my nervous system, I have perceptions of some things, which no one else has; or at least very few, if any. . . . Some might say an intuitive perception of hidden things;—that is of things hidden from eyes, ears & the ordinary senses. . . .
Secondly;—my immense reasoning faculties;
Thirdly; . . . the power not only of throwing my whole energy & existence into whatever I choose, but also bring to bear on any one subject or idea, a vast apparatus from all sorts of apparently irrelevant & extraneous sources. I can throw rays from every quarter of the universe into one vast focus.
She admitted that this sounded mad but insisted she was being logical and cool. She knew her life’s course now, she told her mother. “What a mountain I have to climb! It is enough to frighten anyone who had not all that most insatiable & restless energy, which from my babyhood has been the plague of your life & my own. However it has found food I believe at last.” She had found it in the Analytical Engine.
——
Babbage meanwhile, restless and omnivorous, was diverting his energies to another burgeoning technology, steam’s most powerful expression, the railroad. The newly formed Great Western Railway was laying down track and preparing trial runs of locomotive engines from Bristol to London under the supervision of Isambard Kingdom Brunel, the brilliant engineer, then just twenty-seven years old. Brunel asked Babbage for help, and Babbage decided to begin with an information-gathering program— characteristically ingenious and grandiose. He outfitted an entire railway carriage. On a specially built, independently suspended table, rollers unwound sheets of paper a thousand feet long, while pens drew lines to “express” (as Babbage put it) measurements of the vibrations and forces felt by the carriage in every direction. A chronometer marked the passage of time in half seconds. He covered two miles of paper this way.
As he traversed the rails, he realized that a peculiar danger of steam locomotion lay in its outracing every previous means of communication. Trains lost track of one another. Until the most regular and disciplined scheduling was imposed, hazard ran with every movement. One Sunday Babbage and Brunel, operating in different engines, barely avoided smashing into each other. Other people, too, worried about this new gap between the speeds of travel and messaging. An important London banker told Babbage he disapproved: “It will enable our clerks to plunder us, and then be off to Liverpool on their way to America at the rate of twenty miles an hour.” Babbage could only express the hope that science might yet find a remedy for the problem it had created. (“Possibly we might send lightning to outstrip the culprit.”)
As for his own engine—the one that would travel nowhere—he had found a fine new metaphor. It would be, he said, “a locomotive that lays down its own railway.”
Bitter as he was about England’s waning interest in his visionary plans, Babbage found admirers on the continent, particular in Italy—“the country of Archimedes and Galileo,” as he put it to his new friends. In the summer of 1840 he gathered up his sheaves of drawings and journeyed by way of Paris and Lyon, where he watched the great Jacquard loom at Manufacture d’Étoffes pour Ameublements et Ornements d’Église, to Turin, the capital of Sardinia, for an assembly of mathematicians and engineers. There he made his first (and last) public presentation of the Analytical Engine. “The discovery of the Analytical Engine is so much in advance of my own country, and I fear even of the age,” he said. He met the Sardinian king, Charles Albert, and, more significantly, an ambitious young mathematician named Luigi Menabrea. Later Menabrea was to become a general, a diplomat, and the prime minister of Italy; now he prepared a scientific report, “Notions sur la machine analytique,” to introduce Babbage’s plan to a broader community of European philosophers.
As soon as this reached Ada Lovelace, she began translating it into English, correcting errors on the basis of her own knowledge. She did that on her own, without telling either Menabrea or Babbage.
When she finally did show Babbage her draft, in 1843, he responded enthusiastically, urging her to write on her own behalf, and their extraordinary collaboration began in earnest. They sent letters by messenger back and forth across London at a ferocious pace—“My Dear Babbage” and “My Dear Lady Lovelace”—and met whenever they could at her home in St. James’s Square. The pace was almost frantic. Though he was the eminence, fifty-one years old to her twenty-seven, she took charge, mixing stern command with banter. “I want you to answer me the following question by return of post”; “Be kind enough to write this out properly for me”; “You were a little harum-scarum and inaccurate”; “I wish you were as accurate and as much to be relied on as myself.” She proposed to sign her work with her initials—nothing so forward as her name—not to “proclaim who has written it,” merely to “individualize and identify it with other productions of the said A.A.L.”
Her exposition took the form of notes lettered A through G, extending to nearly three times the length of Menabrea’s essay. They offered a vision of the future more general and more prescient than any expressed by Babbage himself. How general? The engine did not just calculate; it performed operations, she said, defining an operation as “any process which alters the mutual relation of two or more things,” and declaring: “This is the most general definition, and would include all subjects in the universe.” The science of operations, as she conceived it,
is a science of itself, and has its own abstract truth and value; just as logic has its own peculiar truth and value, independently of the subjects to which we may apply its reasonings and processes. . . . One main reason why the separate nature of the science of operations has been little felt, and in general little dwelt on, is the shifting meaning of many of the symbols used.
Symbols and meaning: she was emphatically not speaking of mathematics alone. The engine “might act upon other things besides number.” Babbage had inscribed numerals on those thousands of dials, but their working could represent symbols more abstractly. The engine might process any meaningful relationships. It might manipulate language. It might create music. “Supposing, for instance, that the fundamental relations of pitched sounds in the science of harmony and of musical composition were susceptible of such expression and adaptations, the engine might compose elaborate and scientific pieces of music of any degree of complexity or extent.”
It had been an engine of numbers; now it became an engine of information. A.A.L. perceived that more distinctly and more imaginatively than Babbage himself. She explained his prospective, notional, virtual creation as though it already existed:
The Analytical Engine does not occupy common ground with mere “calculating machines.” It holds a position wholly its own. . . . A new, a vast, and a powerful language is developed . . . in which to wield its truths so that these may become of more speedy and accurate practical application for the purposes of mankind than the means hitherto in our possession have rendered possible. Thus not only the mental and the material, but the theoretical and the practical in the mathematical world, are brought into more intimate and effective connexion with each other.
. . . We may say most aptly, that the Analytical Engine weaves algebraical patterns just as the Jacquard-loom weaves flowers and leaves.
For this flight of fancy she took full responsibility. “Whether the inventor of this engine had any such views in his mind while working out the invention, or whether he may subsequently ever have regarded it under this phase, we do not know; but it is one that forcibly occurred to ourselves.”
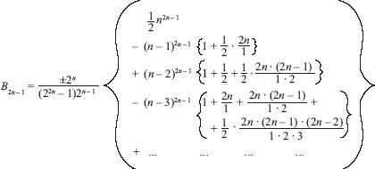
She proceeded from the poetic to the practical. She set forth on a virtuoso excursion through a hypothetical program by which this hypothetical machine might compute a famously deep-seated infinite series, the Bernoulli numbers. These numbers arise in the summing of numbers from 1 to n raised to integral powers, and they occur in various guises all through number theory. No direct formula generates them, but they can be worked out methodically, by expanding certain formulas further and further and looking at the coefficients each time. She began with examples; the simplest, she wrote, would be the expansion of

and another approach would be via

but she would take a more challenging path, because “our object is not simplicity . . . but the illustration of the powers of the engine.”
She devised a process, a set of rules, a sequence of operations. In another century this would be called an algorithm, later a computer program, but for now the concept demanded painstaking explanation. The trickiest point was that her algorithm was recursive. It ran in a loop. The result of one iteration became food for the next. Babbage had alluded to this approach as “the Engine eating its own tail.” A.A.L. explained: “We easily perceive that since every successive function is arranged in a series following the same law, there would be a cycle of a cycle of a cycle, &c. . . . The question is so exceedingly complicated, that perhaps few persons can be expected to follow. . . . Still it is a very important case as regards the engine, and suggests ideas peculiar to itself, which we should regret to pass wholly without allusion.”
A core idea was the entity she and Babbage called the variable. Variables were, in hardware terms, the machine’s columns of number dials. But there were “Variable cards,” too. In software terms they were a sort of receptacle or envelope, capable of representing, or storing, a number of many decimal digits. (“What is there in a name?” Babbage wrote. “It is merely an empty basket until you put something in it.”) Variables were the machine’s units of information. This was quite distinct from the algebraic variable. As A.A.L. explained, “The origin of this appellation is, that the values on the columns are destined to change, that is to vary, in every conceivable manner.” Numbers traveled, in effect, from variable cards to variables, from variables to the mill (for operations), from the mill to the store. To solve the problem of generating Bernoulli numbers, she choreographed an intricate dance. She worked days and sometimes through the night, messaging Babbage across London, struggling with sickness and ominous pains, her mind soaring:
That brain of mine is something more than merely mortal; as time will show; (if only my breathing & some other et-ceteras do not make too rapid a progress towards instead of from mortality).
Before ten years are over, the Devil’s in it if I have not sucked out some of the life-blood from the mysteries of this universe, in a way that no purely mortal lips or brains could do.
No one knows what almost awful energy & power lie yet undevelopped in that wiry little system of mine. I say awful, because you may imagine what it might be under certain circumstances. . . .
I am doggedly attacking & sifting to the very bottom, all the ways of deducing the Bernoulli Numbers. . . . I am grappling with this subject, & connecting it with others.
She was programming the machine. She programmed it in her mind, because the machine did not exist. The complexities she encountered for the first time became familiar to programmers of the next century:
How multifarious and how mutually complicated are the considerations which the working of such an engine involve. There are frequently several distinct sets of effects going on simultaneously; all in a manner independent of each other, and yet to a greater or less degree exercising a mutual influence. To adjust each to every other, and indeed even to perceive and trace them out with perfect correctness and success, entails difficulties whose nature partakes to a certain extent of those involved in every question where conditions are very numerous and inter-complicated.
She reported her feelings to Babbage: “I am in much dismay at having got into so amazing a quagmire & botheration.” And nine days later: “I find that my plans & ideas keep gaining in clearness, & assuming more of the crystalline & less & less of the nebulous form.” She knew she had achieved something utterly new. Ten days later still, struggling over the final proofs with “Mr Taylors Printing Office” in Fleet Street, she declared: “I do not think you possess half my forethought, & power of foreseeing all possible contingencies (probable & improbable, just alike).— . . . I do not believe that my father was (or ever could have been) such a Poet as I shall be an Analyst; (& Metaphysician); for with me the two go together indissolubly.”
Who would have used this machine? Not clerks or shopkeepers, said Babbage’s son, many years later. Common arithmetic was never the purpose—“It would be like using the steam hammer to crush the nut.” He paraphrased Leibniz: “It is not made for those who sell vegetables or little fishes, but for observatories, or the private rooms of calculators, or for others who can easily bear the expense, and need a good deal of calculation.” Babbage’s engine had not been well understood, not by his government and not by the many friends who passed through his salon, but in its time its influence traveled far.
In America, a country bursting with invention and scientific optimism, Edgar Allan Poe wrote, “What shall we think of the calculating machine of Mr. Babbage? What shall we think of an engine of wood and metal which can . . . render the exactitude of its operations mathematically certain through its power of correcting its possible errors?” Ralph Waldo Emerson had met Babbage in London and declared in 1870, “Steam is an apt scholar and a strong-shouldered fellow, but it has not yet done all its work.”
It already walks about the field like a man, and will do anything required of it. It irrigates crops, and drags away a mountain. It must sew our shirts, it must drive our gigs; taught by Mr. Babbage, it must calculate interest and logarithms. . . . It is yet coming to render many higher services of a mechanico-intellectual kind.
Its wonders met disapproval, too. Some critics feared a rivalry between mechanism and mind. “What a satire is that machine on the mere mathematician!” said Oliver Wendell Holmes Sr. “A Frankenstein-monster, a thing without brains and without heart, too stupid to make a blunder; which turns out results like a corn-sheller, and never grows any wiser or better, though it grind a thousand bushels of them!” They all spoke as though the engine were real, but it never was. It remained poised before its own future.
Midway between his time and ours, the Dictionary of National Biography granted Charles Babbage a brief entry—almost entirely devoid of relevance or consequence:
mathematician and scientific mechanician; . . . obtained government grant for making a calculating machine . . . but the work of construction ceased, owning to disagreements with the engineer; offered the government an improved design, which was refused on grounds of expense; . . . Lucasian professor of mathematics, Cambridge, but delivered no lectures.
Babbage’s interests, straying so far from mathematics, seeming so miscellaneous, did possess a common thread that neither he nor his contemporaries could perceive. His obsessions belonged to no category—that is, no category yet existing. His true subject was information: messaging, encoding, processing.
He took up two quirky and apparently unphilosophical challenges, which he himself noted had a deep connection one to the other: picking locks and deciphering codes. Deciphering, he said, was “one of the most fascinating of arts, and I fear I have wasted upon it more time than it deserves.” To rationalize the process, he set out to perform a “complete analysis” of the English language. He created sets of special dictionaries: lists of the words of one letter, two letters, three letters, and so on; and lists of words alphabetized by their initial letter, second letter, third letter, and so on. With these at hand he designed methodologies for solving anagram puzzles and word squares.
In tree rings he saw nature encoding messages about the past. A profound lesson: that a tree records a whole complex of information in its solid substance. “Every shower that falls, every change of temperature that occurs, and every wind that blows, leaves on the vegetable world the traces of its passage; slight, indeed, and imperceptible, perhaps, to us, but not the less permanently recorded in the depths of those woody fabrics.”
In London workshops he had observed speaking tubes, made of tin, “by which the directions of the superintendent are instantly conveyed to the remotest parts.” He classified this technology as a contribution to the “economy of time” and suggested that no one had yet discovered a limit on the distance over which spoken messages might travel. He made a quick calculation: “Admitting it to be possible between London and Liverpool, about seventeen minutes would elapse before the words spoken at one end would reach the other extremity of the pipe.” In the 1820s he had an idea for transmitting written messages, “enclosed in small cylinders along wires suspended from posts, and from towers, or from church steeples,” and he built a working model in his London house. He grew obsessed with other variations on the theme of sending messages over the greatest possible distances. The post bag dispatched nightly from Bristol, he noted, weighed less than one hundred pounds. To send these messages 120 miles, “a coach and apparatus, weighing above thirty hundred weight, are put in motion, and also conveyed over the same space.” What a waste! Suppose, instead, he suggested, post towns were linked by a series of high pillars erected every hundred feet or so. Steel wires would stretch from pillar to pillar. Within cities, church steeples might serve as the pillars. Tin cases with wheels would roll along the wires and carry batches of letters. The expense would be “comparatively trifling,” he said, “nor is it impossible that the stretched wire might itself be available for a species of telegraphic communication yet more rapid.”
During the Great Exhibition of 1851, when England showcased its industrial achievement in a Crystal Palace, Babbage placed an oil lamp with a moveable shutter in an upstairs window at Dorset Street to create an “occulting light” apparatus that blinked coded signals to passersby. He drew up a standardized system for lighthouses to use in sending numerical signals and posted twelve copies to, as he said, “the proper authorities of the great maritime countries.” In the United States, the Congress approved $5,000 for a trial program of Babbage’s system. He studied sun signals and “zenith-light signals” flashed by mirrors, and Greenwich time signals for transmission to mariners. For communicating between stranded ships and rescuers on shore, he proposed that all nations adopt a standard list of a hundred questions and answers, assigned numbers, “to be printed on cards, and nailed up on several parts of every vessel.” Similar signals, he suggested, could help the military, the police, the railways, or even, “for various social purposes,” neighbors in the country.
These purposes were far from obvious. “For what purposes will the electric telegraph become useful?” the king of Sardinia, Charles Albert, asked Babbage in 1840. Babbage searched his mind for an illustration, “and at last I pointed out the probability that, by means of the electric telegraphs, his Majesty’s fleet might receive warning of coming storms. . . .”
This led to a new theory of storms, about which the king was very curious. By degrees I endeavoured to make it clear. I cited, as an illustration, a storm which had occurred but a short time before I left England. The damage done by it at Liverpool was very great, and at Glasgow immense. . . . I added that if there had been electric communication between Genoa and a few other places the people of Glasgow might have had information of one of those storms twenty-four hours previously to its arrival.
As for the engine, it had to be forgotten before it was remembered. It had no obvious progeny. It rematerialized like buried treasure and inspired a sense of puzzled wonder. With the computer era in full swing, the historian Jenny Uglow felt in Babbage’s engines “a different sense of anachronism.” Such failed inventions, she wrote, contain “ideas that lie like yellowing blueprints in dark cupboards, to be stumbled on afresh by later generations.”
Meant first to generate number tables, the engine in its modern form instead rendered number tables obsolete. Did Babbage anticipate that? He did wonder how the future would make use of his vision. He guessed that a half century would pass before anyone would try again to create a general-purpose computing machine. In fact, it took most of a century for the necessary substrate of technology to be laid down. “If, unwarned by my example,” he wrote in 1864, “any man shall undertake and shall succeed in really constructing an engine embodying in itself the whole of the executive department of mathematical analysis upon different principles or by simpler mechanical means, I have no fear of leaving my reputation in his charge, for he alone will be fully able to appreciate the nature of my efforts and the value of their results.”