

Эксплуатация подшипников качения
В. А. Сидоров
А. Л. Сотников
Редактор Алексей Леонидович Сотников
Иллюстратор Алексей Леонидович Сотников
© В. А. Сидоров, 2023
© А. Л. Сотников, 2023
© Алексей Леонидович Сотников, иллюстрации, 2023
ISBN 978-5-4483-8339-7
Создано в интеллектуальной издательской системе Ridero
ВВЕДЕНИЕ
Среди узлов механического оборудования подшипники качения следует выделить особо. Назначение данного узла – обеспечение вращения различных валов и осей относительно неподвижных корпусных деталей оборудования с минимальным коэффициентом трения. Относительно простая конструкция подшипника качения предъявляет целый ряд требований к качеству изготовления деталей подшипника и его монтажу, обеспечивающих длительную безотказную работу, как подшипника, так и оборудования в целом. Срок службы подшипников должен быть сопоставим с общим сроком службы механического оборудования. Однако ряд факторов, среди которых качество и точность изготовления деталей подшипников, правильность выбора подшипников под конкретные режимы и условия работы, соблюдение технологи сборки, монтажа и обслуживания подшипников, могут приводить к ситуациям, когда необходимо производить регулярные замены подшипников до выработки ими своего расчетного срока службы. Что в принципе недопустимо. Для предупреждения таких ситуаций и предназначен научно-технический материал, представленный в данной книге.
Перед сборкой подшипниковых узлов оборудования следует оценить качество изготовления или восстановления подшипников. Используемые для этого методы виброметрии позволяют получить комплексную оценку и являются основными в операциях по входному контролю подшипников качения. Следующая проблема связана с правильной сборкой подшипниковых узлов. Как правило, качественной сборке предшествует технически грамотно проведенные работы по разборке подшипниковых узлов без повреждений посадочных мест под подшипники. На первом месте в данном случае выступают не только технологии, но и применяемые инструменты и приспособления.
Основа длительной работы подшипникового узла заключается в качественном смазывании, включая правильный выбор смазочного материала и режима смазывания, а также контроль качества применяемой смазки. Качественное техническое обслуживание подшипниковых узлов требует знания их фактического технического состояния. Определить состояние подшипниковых узлов без разборки помогают методы технического диагностирования. Данные методы позволяют определить отклонения в сложных физических и химических процессах происходящих в подшипниках качения.
Наглядную картину процессов износа можно увидеть разобрав подшипник качения. Приведенная классификация повреждений подшипников качения предназначена для определения, при внешнем осмотре деталей подшипников, причин повреждений и необходимых дополнительных ремонтных воздействий по восстановлению их работоспособного состояния.
В книге рассмотрен ряд основных вопросов, связанных с эксплуатацией подшипников качения, что явилось обобщением опыта работы на промышленных предприятиях. Авторы не претендуют на полноту рассмотрения всех вопросов, связанных с эксплуатацией подшипников. Основная цель книги – обобщение известных неизменных правил, дополнение практикой решения задач генезиса – определения причин повреждений механического оборудования и стремление заинтересовать механиков изучением вопросов повышения безотказности работы подшипников качения и соответственно механического оборудования.
Авторы будут признательны всем, кто выскажет свои замечания и пожелания по улучшению и расширению представленных материалов.
Раздел 1
ОБЩИЕ СВЕДЕНИЯ О ПОДШИПНИКАХ КАЧЕНИЯ
Подшипники качения используются в качестве опор механического оборудования наиболее чаще, чем подшипники других типов.
Основа длительной эксплуатации подшипников качения заключается в правильном выборе типа подшипника для конкретных режимов и условий работы подшипниковых узлов оборудования. При этом необходимо учитывать множество факторов. Обоснованность выбора определяется знаниями типов существующих подшипников, их назначением, достоинствами и недостатками, кинематическими и силовыми характеристиками. Насколько точно эти факторы удается учесть, а тем более предвидеть на этапе проектирования подшипниковых узлов механического оборудования, настолько долговечными будут как подшипники, так и оборудование в целом. Однако, правомерна и обратная задача, связанная с неправильным выбором или неопределенностью режимов и условий эксплуатации подшипников качения.
Далее обобщены сведения о назначении и устройстве подшипников, достоинствах и недостатках подшипников качения и скольжения, классификации подшипников. Приведена сравнительная оценка эксплуатационных свойств подшипников качения. Рассмотрены основы расчета кинематических и силовых характеристик подшипников качения, а также их долговечности.
1.1 Назначение и устройство подшипников
Подши́пник – узел механизма или машины, являющийся частью опоры, которая поддерживает вал, обеспечивая вращение или линейное перемещение с минимальным сопротивлением, воспринимающий и передающий нагрузку от вала на корпусные детали механизма или машины [1,2]. Опора с упорным подшипником называется подпятником.
Подшипники характеризуются следующими основными параметрами:
– максимальные динамическая и статическая нагрузки;
– максимальная скорость вращения для радиальных подшипников;
– посадочные размеры;
– класс точности;
– группа зазоров.
Нагружающие подшипник силы подразделяют на следующие виды:
– радиальная сила, действующая в направлении перпендикулярном к оси вращения подшипника;
– осевая сила, действующая в направлении параллельном к оси вращения подшипника.
По конструкции, обуславливающей различный принцип работы, все подшипники можно разделить на несколько типов:
– подшипники качения;
– подшипники скольжения;
– газостатические подшипники;
– газодинамические подшипники;
– гидростатические подшипники;
– гидродинамические подшипники;
– магнитные подшипники.
Основные типы подшипников, которые применяются в машиностроении, – это подшипники качения и скольжения.
Достоинства подшипников скольжения: малые радиальные размеры; возможность работы при ударных нагрузках и применения при больших нагрузках и высоких скоростях вращения. Недостатки: не могут работать без смазки, не допускают перекосов валов, сложны в установке (требуют пришабривания).
Подшипники качения по сравнению с подшипниками скольжения имеют следующие преимущества [3]:
– значительно меньшие потери на трение, а, следовательно, более высокий коэффициент полезного действия (до 0,995) и меньший нагрев;
– в 10…20 раз меньше момент трения при пуске машин;
– экономия дефицитных цветных материалов, которые чаще всего используются при изготовлении подшипников скольжения;
– меньшие габаритные размеры в осевом направлении;
– простота обслуживания и замены;
– меньший расход смазочного материала;
– невысокая стоимость вследствие массового производства стандартных подшипников.
К недостаткам подшипников качения можно отнести [3]:
– ограниченную возможность применения при очень больших нагрузках и высоких скоростях;
– непригодность для работы при значительных ударных и вибрационных нагрузках из-за высоких контактных напряжений и плохой способности демпфировать колебания;
– значительные габаритные размеры в радиальном направлении и масса;
– шум во время работы, обусловленный погрешностями форм и размеров деталей;
– сложность установки и монтажа подшипниковых узлов;
– повышенную чувствительность к неточности установки в подшипниковый узел;
– высокая стоимость при мелкосерийном производстве уникальных по размерам подшипников.
Конструкция подшипников качения состоит из двух колец, тел качения (шариков или роликов) и сепаратора (некоторые типы подшипников могут быть без сепаратора), отделяющего тела качения друг от друга, удерживающего на равном расстоянии и направляющего их движение (рис. 1.1). По наружной поверхности внутреннего кольца и внутренней поверхности внешнего кольца (на торцевых поверхностях колец упорных подшипников качения) выполнены желоба – дорожки качения, по которым при работе подшипника катятся тела качения.

Рис. 1.1. Устройство радиального шарикоподшипника: 1 – внешнее кольцо; 2 – шарик (тело качения); 3 – сепаратор; 4 – дорожка качения; 5 – внутреннее кольцо
В некоторых узлах механизмов и машин в целях уменьшения габаритов, а также повышения точности и жёсткости применяют совмещённые опоры: дорожки качения в этом случае выполняют непосредственно на валу или на поверхности корпусной детали.
Существуют подшипники качения, изготовленные без сепаратора. Такие подшипники имеют большое число тел качения и большую грузоподъёмность. Однако предельные скорости вращения бессепараторных подшипников значительно ниже вследствие повышенных моментов сопротивления вращению.
Закрытые подшипники качения (имеющие защитные крышки) практически не требуют обслуживания (замены смазки), открытые – чувствительны к попаданию инородных тел, что может привести к быстрому разрушению подшипника и выходу механического оборудования из строя.
1.2 Классификация подшипников качения
Классификация подшипников качения осуществляется на основе следующих признаков:
– по виду тел качения: шариковые и роликовые. Последние, в свою очередь, подразделяются на следующие группы: с короткими и длинными цилиндрическими роликами; с витыми; с игольчатыми; с коническими и со сферическими роликами;
– по типу воспринимаемой нагрузки: радиальные, радиально-упорные, упорно-радиальные, упорные и линейные;
– по числу рядов тел качения: однорядные, двухрядные, многорядные;
– по способности компенсировать перекосы валов [4]: самоустанавливающиеся и несамоустанавливающиеся.
На рис. 1.2 приведены основные виды подшипников качения [2]:
а) радиально-упорный шариковый подшипник;
б) радиально-упорный шариковый подшипник с четырёхточечным контактом;
в) самоустанавливающийся двухрядный радиальный шариковый подшипник;
д) радиальный шариковый подшипник для корпусных узлов;
е) радиальный роликовый подшипник
ж) радиально-упорный (конический) роликовый подшипник;
з) самоустанавливающийся радиальный роликовый подшипник;
и) упорный роликовый подшипник;
к) самоустанавливающийся двухрядный радиальный роликовый подшипник с бочкообразными роликами (сферический);
л) упорный шариковый подшипник;
м) радиально-упорный роликовый подшипник;
н) ролики и сепаратор упорного игольчатого подшипника.
В табл. 1.1 приведено сравнение подшипников качения по эксплуатационным характеристикам [3].

Рис. 1.2. Внешний вид и конструкция основных типов подшипников качения

Продолжение рис. 1.2.

Табл. 1.1. Сравнение подшипников качения по эксплуатационным характеристикам: +++ – очень хорошо; ++ – хорошо; + – удовлетворительно; о – плохо; х – непригодно
1.3 Кинематические и силовые характеристики подшипнИков качения
Подшипник качения представляет собой по существу планетарный механизм, в котором водилом является сепаратор, функции центральных колес выполняют внешнее и внутреннее кольца, а тела качения заменяют сателлиты [2].
В соответствии с теоремой Виллиса:

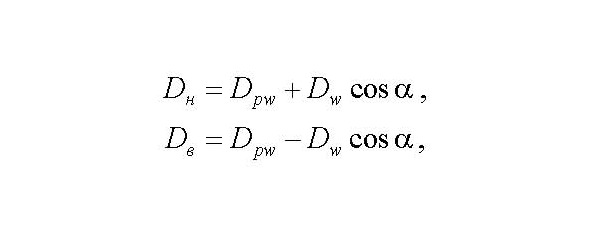
где nв, nн и nс – частоты вращения соответственно внутреннего кольца, внешнего кольца и сепаратора; Dн и Dв – диаметры окружностей расположения точек контактов тел качения соответственно на внешнем и внутреннем кольцах.
Учитывая, что

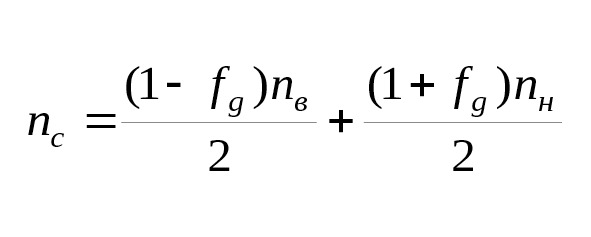
частоту вращения сепаратора можно определить по следующей формуле:

где α – угол контакта тел качения с дорожками качения колец подшипника (рис. 1.3); Dpw – диаметр окружности осей тел качения:

dw – диаметр тел качения; fg – геометрический параметр:


Рис. 1.3. Угол контакта роликоподшипника
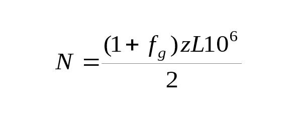
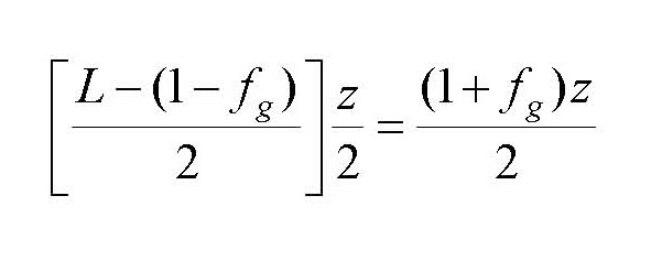
Если неподвижно внутреннее кольцо подшипника (nв=0), то за один оборот сепаратора наиболее нагруженная точка А на внутреннем кольце (рис. 1.4) получает число циклов нагружения, равное числу тел качения z. За один оборот внешнего кольца сепаратор делает 0,5 (1+fg) оборота и число циклов нагружения точки А составляет

Следовательно, в течение L миллионов оборотов внешнего кольца число циклов повторных нагружений точки А составляет

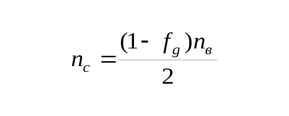
При неподвижном внешнем кольце (nн=0) частота вращения сепаратора будет равна


Рис. 1.4. Положение нагруженной точки А
на внутреннем кольце подшипника
при действии радиальной нагрузки Fr на подшипник
Сепаратор вращается в ту же сторону, что и внутреннее кольцо, и за один оборот внутреннего кольца сепаратор поворачивается на 0,5 (1+fg) оборота. При этом точка А получает

циклов нагружения. В течение L миллионов оборотов внутреннего кольца число циклов повторных нагружений точки А будет равно

Из приведенных выше соотношений следует, что частота вращения сепаратора зависит от диаметра Dw при неизменном диаметре Dpw: частота возрастает при уменьшении Dw и уменьшается при увеличении Dw. В связи с этим различные размеры тел качения подшипника приводят к увеличению степени износа и выхода из строя сепаратора и подшипника в целом.
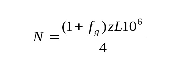
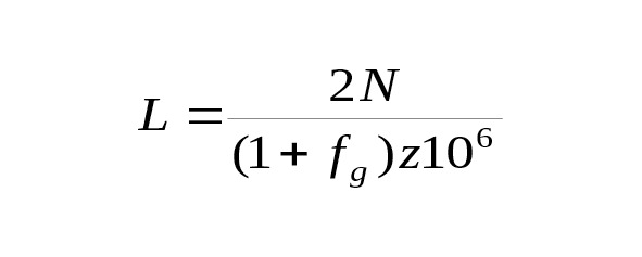
Ресурс подшипника качения выражают в миллионах оборотов

или в часах:

где n – частота вращения подшипника, об/мин.
При вращении тел качения вокруг оси подшипника на каждое из них действует центробежная сила

где m – масса тела качения; ωс – угловая скорость сепаратора.
Центробежные силы вызывают перегрузку подшипника качения при работе с повышенной скоростью вращения, высокое тепловыделение (перегрев подшипника) и ускоренное изнашивание сепаратора. Всё это сокращает срок службы подшипника.
В упорном подшипнике, кроме центробежных сил, на тела качения действует гироскопический момент обусловленный изменением направления оси вращения тел в пространстве:

где J – полярный момент инерции массы тела качения; ωw и ωc – соответственно угловая скорость тела качения при вращении вокруг своей оси и вокруг оси вращения подшипника (равная угловой скорости сепаратора).
Гироскопический момент будет действовать на тела качения и во вращающемся радиально-упорном шарикоподшипнике при действии осевой нагрузки:

Под действием гироскопического момента каждое тело качения получает дополнительное вращение вокруг оси перпендикулярной плоскости, образованной векторами угловых скоростей тела качения и сепаратора. Такое вращение вызывает изнашивание поверхностей качения. Для его предотвращения подшипник следует нагружать такой осевой силой, чтобы соблюдалось условие

где Tf – момент сил трения от осевой нагрузки на площадках контакта тел качения с кольцами.
Во многих случаях, при работе подшипников качения, имеет место устойчивое вращение внутреннего или внешнего кольца, а иногда обоих колец одновременно. Когда частота вращения невелика, влиянием центробежных сил и гироскопических моментов на нагруженность подшипника можно пренебречь. При этом распределение внешней нагрузки между телами качения будет таким же, как и в неподвижном подшипнике [5].
Распределение радиальной нагрузки между телами качения в радиальном однорядном шарикоподшипнике является задачей статически неопределимой и решается при следующих допущениях [5]: 1) подшипник собран без зазоров; 2) деформацией колец вследствие изгиба можно пренебречь; 3) геометрические размеры и форма тел качения и колец идеально точные, корпус жесткий.
При вертикальном направлении радиальной нагрузки Fr последняя будет восприниматься лишь телами качения, расположенными ниже горизонтальной оси подшипника (рис. 1.5), тогда как тела качения, расположенные выше этой оси, будут незагруженными.
Условие равновесия, например, внутреннего кольца подшипника, нагруженного радиальной нагрузкой Fr и реакциями Pi, где i – номер нагруженного тела качения от 0 до n (рис. 1.5) (отсчитывается от направления нагрузки), со стороны несущих тел качения, имеет вид:


где γ – угловое расстояние между двумя смежными телами качения:

z – число тел качения в подшипнике.

Рис. 1.5. Схема распределения радиальной нагрузки
в радиальном шарикоподшипнике с нулевым зазором
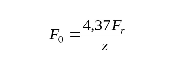
Исследование зависимости между силами F0, F1, F2…Fn с учетом контактных деформаций при условии абсолютной точности размеров тел качения и колец подшипника и отсутствии в нем радиального зазора позволило установить:


Подсчитано, что отношение в знаменателе всегда равно 4,37 для любого числа тел качения больше 11 [5], т.е.

Вводя поправку на радиальный зазор принимают:


Влияние внутреннего радиального зазора подшипника выражается в том, что с его увеличением угол нагруженной зоны уменьшается, а нагрузка на наиболее нагруженное тело качения увеличивается.
Заключение
Подшипники качения являются универсальным узлом, который используется в различных механизмах и машинах в качестве опор для снижения сил трения.
Особенностью подшипников качения, по сравнению с подшипниками скольжения, являются высокие контактные напряжения, компенсируемые высокой твердостью дорожек и тел качения. Это определяет особые требования к качеству изготовления деталей подшипников. В определенных условиях подшипники качения могут в различной степени удовлетворять требованиям, связанным с назначением механизма или машины, условиями их монтажа и эксплуатации.
Раздел 2
ВХОДНОЙ КОНТРОЛЬ ПОДШИПНИКОВ КАЧЕНИЯ
Срок службы механического оборудования во многом определяется качеством установленных подшипников качения. Снижение качества изготавливаемых подшипников, широкое распространение контрафактной подшипниковой продукции, проведение тендерных закупок подшипников по минимальным ценам, появление восстановленных подшипников на рынке – все это требует организации входного контроля подшипников качения на промышленных предприятиях-потребителях подшипниковой продукции. При этом функции входного контроля не могут ограничиваться анализом документов на продукцию. Требуется комплексный анализ качества поставляемых подшипников. Для этой цели в настоящее время наибольшее распространение получили стенды входного контроля подшипников качения, позволяющие выполнить отбраковку некачественных подшипников до операций сборки подшипниковых узлов. Это дает возможность исключить внеплановые простои механического оборудования и аварийные ситуации, а также увеличить межремонтный период работы оборудования.
Далее обобщены и проклассифицированы методы входного контроля подшипников качения, а также дан анализ технических характеристик и функциональных возможностей стендов входного контроля подшипников, доступных на отечественном рынке.
2.1 Методы входного контроля подшипников
Входной контроль подшипников качения включает следующие методы [6].
1. Визуальный контроль, заключающийся во внешнем осмотре и проверке маркировки подшипников.
Внешний осмотр подшипников качения проводят при освещенности не менее 1000 лк. Не допускаются к сборке и дальнейшему контролю подшипники, имеющие коррозию и ожоги на рабочих и установочных поверхностях и телах качения, трещины, сколы, забоины и другие механические повреждения, чрезмерное провисание сепаратора, деформированный сепаратор, а также сепараторы с дефектной клепкой или сваркой. Например, в результате внешнего осмотра двухрядного роликового подшипника с посадочным диаметром 450 мм зафиксированы раковины на беговых дорожках (рис. 2.1), что послужило основанием для отказа в приемке подшипника.

Рис. 2.1. Раковины на беговой дорожке внешнего кольца
двухрядного роликового подшипника

Продолжение рис. 2.1.
Проверка маркировки заключается в контроле соответствия государственным стандартам и ведомственным нормам клейм (цифр и букв) на кольцах, содержащих в себе условное обозначение типа подшипника, класса точности, товарного знака завода-изготовителя, года изготовления, радиального зазора, а также дополнительных параметров и характеристик.