
Второй случай – перевозка IX корпуса французов из Нанси в район Седан-Шарлевилль, вслед за перевозкой XVIII корпуса. Удачно начатая перевозка была в самом разгаре отменена, и железным дорогам пришлось приложить много усилий для уборки сосредоточенного порожняка.
Во время сражения на Марне германская армия угрожала Парижу и охватом левого фланга французов и англичан. Для парирования этой угрозы понадобилась спешная переброска выдергиваемых резервов на левый фланг. Весь этот труднейший маневр, благодаря которому французская армия, находясь сама в критическом положении, будучи обойденной противником, поставила немцев в такое же положение, – мог быть осуществлен исключительно благодаря быстроте и мощности железных дорог и самоотверженной работе их личного состава. Вся работа протекала при полном отступлении армий; войска снимались прямо с фронта, когда там всюду кипел бой; приходилось приспосабливаться и постоянно менять направления линий перевозок в зависимости от изменений линий фронта. Работа сильно осложнялась уменьшением числа линий для производства перебросок.
Когда в 1918 г. германцы произвели свое первое (мартовское) наступление и прорвали фронт англичан, положение армий Антанты стало весьма тревожным. Весь вопрос сводился к тому, успеют ли вовремя резервы остановить германские полчища. Французское командование медлит – ждет удара германцев на Париж, но, когда выяснилась картина удара, французы бросают свои резервы, причем быстрота сосредоточения резервов ставится как основа осуществления маневра.
С 21 марта по 9 апреля французские железные дороги перевезли в район развивавшихся операций 36 дивизий и 20 полков тяжелой артиллерии, общей численностью до 1 500 поездов, причем в некоторые сутки к району высадки шел поток мощностью до 180 поездов, и все это в условиях бомбардирования германской авиацией и даже иногда под огнем дальнобойной артиллерии.
Железные дороги и частично автотранспорт блестяще справляются со своей работой, и быстрое сосредоточение резервов удивило даже самих англичан. Успех выполнения перевозок основывался на детальной разработке плана перевозок.
1920 г. – Красная, армия преследует белополяков и действиями 4-й, 15-й и 3-й армий создает угрозу охвата Варшавы с севера. Полякам понадобились свежие резервы, и они снимают одну дивизию (18) из района Львова и срочно перебрасывают ее в район; Средней Вислы (к северу от Варшавы). Быстрому совершению этой перевозки содействовало наличие рокадных дорог, построенных еще до войны 1914 г.
Из примеров отрицательного влияния железных дорог, как средство маневра можно привести следующий. Весной 1916 г. юго-западный фронт русской армии произвел решительный прорыв австрийского фронта (Брусиловский прорыв), но достигнутый успех захлебнулся и не привел к полному разгрому австрийцев, вследствие недостатка средств, кои очень скупо ставка передавала юго-западному, фронту. Но самым печальным было то, что и эти скудные резервы медленно прибывали и обычно опаздывали к решительному моменту, «Русская железнодорожная сеть не была приспособлена к переброске резервов, и последние часто опаздывали; в среднем перебрасывалось по одной дивизии в день».
Медлительность русских и слабая маневренная способность особенно разительны при сопоставлении с быстротой, гибкостью и смелостью, проявленными германцами.
Различают перевозки тактического порядка и, перевозки стратегического порядка.
Перевозка тактического порядка – переброска на незначительные расстояния небольших тактических единиц с обозом или без него для выполнения тактических задач. Перевозка стратегического порядка – переброска на большие расстояния крупных соединений со всеми тылами.
Перевозка частей без необходимых обозов ставит перевозимые части в затруднительное положение, что и было с резервами русской армии, перебрасываемыми в период Праснышского сражения 1915 г., когда части IV корпуса почти трое суток дрались без своих обозов и терпели нужду в продовольствии и огнеприпасах, занимая последние из скудных запасов соседей.
Примерами использования железных дорог для перевозок тактического порядка можно привести использование участков железной дороги при обороне XXII корпуса русской армии в 1915 г., когда русские удачно передвигали тактические резервы к угрожаемым местам у перевалов Козювка и Тухла на Карпатах, отстоявших на 60 км один от другого, и не менее удачное использование 13-й (белопольской дивизией железных дорог, южнее Казатина при обороне против 1-й конной армии, при посредстве перебросок тактических резервов на 70-км фронте.
Сюда же следует отнести и действия бронепоездов, «кои являются тактическим средством на железной дороге, и примером их удачного использования служит оборона Царицына в 1919 г.»[4]
Примером «рокировки» целой армии при посредстве железных дорог в стратегических целях (стратегическая перевозка) служит следующее:
В 1914 г. в конце сентября русский юго-западный фронт отбросил австро-венгерскую армию и, преследуя ее, дошел; до верхней Вислы и Сана. Центр русского фронта – средняя Висла и район к западу от нее оказался слабо обеспечен и потребовал срочной перегруппировки сил для парирования наметившегося удара германско-австрийских войск. Директивой командующего фронтом вся 5-я армия в составе 4 корпусов и 1 кавдивизии должна была перейти в район Люблин – Красник и образовать новый участок фронта.
Передвижение корпусов походным порядком по ужасным дорогам шло чрезвычайно медленно и очень утомляло войска, почему решают вести корпуса по железной дороге (кроме одного корпуса). Несмотря на слабую пропускную способность железных дорог, все корпуса были сосредоточены вовремя и успели принять участие в отражении первого наступления австро-германских армий к Варшава (схема 9).

Схема 9
Наш полевой устав 1929 г. дает Следующие указания: «Переброску войск по железным дорогам следует производить во всех случаях, когда получается выигрыш во времени по сравнению с передвижением походным порядком».
При определении способа передвижения войскового соединения необходимо учесть:
1. время, к которому может быть подготовлен транспорт;
2. количество поездов в сутки, могущих быть выделенными для данной перевозки;
3. расстояние и время пробега до пункта высадки;
4. время, необходимое на подход к пункту посадки, время на посадку и высадку и время на переход от пункта высадки до пункта назначения, и сравнить это со временем, потребным на движение походным: порядком.
Целесообразность перевозки железной дорогой при однопутных и двухпутных участках разнообразна; ориентировочно можно считать перевозку выгодной:
стрелкового полка – на однопутных и двухпутных участках, на расстоянии одного перехода, лишь в том случае, если на подготовку подвижного состава требуется не более 3–4 часов, и если на подход к пунктам посадки, посадку, высадку и походное движение в район назначения затрачивается не более 4 часов; стрелковой дивизии – при однопутном участке на расстоянии не менее 3 переходов, а при двухпутном – не менее двух переходов;
стрелкового корпуса – при однопутном участке, на расстоянии Не менее 8 переходов и при двухпутном – не менее 4 переходов.
Эти расчеты будут правильны при достаточном развитии станций погрузки и выгрузки и наличии погрузочно-выгрузочных приспособлений, грунтовых подходов к станциям и строгом выполнении плана перевозок.
В некоторых случаях выгодно сочетать перевозку некоторых частей соединения с походным движением других (ПУ 29, ст. 340).
Во Франции установлено, что дивизия перебрасывается, по железной дороге на расстояние 75 км и больше, две дивизии и корпус – на 100 км, причем при перевозкахдо 200 км механический транспорт следует походным порядком.
В Армии САСШ дивизия перевозится по железной дороге только на расстояние свыше 150 км.
В польской армии установлено, как правило, что перевозки по железной дороге совершаются только на расстояние свыше 100 км.
Польские наставления рекомендуют для расчета времени на перевозку следующую формулу:

Т – время продолжительности перевозки.
Р – время между отправлениями эшелонов.
D – расстояние, на которое производится перевозка.
S – скорость хода поезда.
n – количество эшелонов.
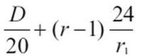
Немцы предлагают несколько иную формулу для определения срока всей перевозки.
Продолжительность перевозки в часах =

где D – длина пути в км, 20 (км) – средняя скорость движения в час, r – число поездов, потребное для войскового соединения, r1 – число поездов в сутки.
Для успешной перевозки войск по железной дороге требуется: а) тщательная подготовка железных дорог и войск к перевозкам; б) всесторонняя проработка плана перевозок; в) постоянное наблюдение за ходом перевозок и г) обеспечение перевозки обороной от воздушного противника и в некоторых случаях и от наземного.
Следовательно быстрота и точность, т. е. успешность перевозок зависят:
1. От технической подготовленности дороги (от ее провозоспособности)[5]
2. От подготовленности работников ВОСО и НКПС к: выполнению этой работы.
3. От соблюдения войсками перевозочной дисциплины: (уменье быстро грузиться, выгружаться, поддерживать порядок в пути следования).
4. От организационной структуры войсковых соединений – чем структура проще, тем быстрее может быть произведена переброска. Например, в мировую войну русская: дивизия требовала почти 60 эшелонов, а германская только 30, т. е. при равных железнодорожных условиях русская дивизия вдвое медленнее сосредотачивалась. Объяснение этого – русская дивизия была четырехполковая: германская – трехполковая, и, кроме того, у русской дивизии были очень громоздкие тыловые части.
А. Свечин приводит любопытные данные: русская гвардия перевозилась в 1915 г. в район Ломжа, причем перевозка боевых частей шла наряду с перевозкой обильных тыловых убеждений, и таким образом вместо создания сильного резерва из боевых частей на фронте скопилась масса ненужных для боя учреждений. В гражданскую войну наши дивизии очень сильно обрастали всякого рода тыловыми вспомогательными учреждениями и переброска их требовала большого количества лишних эшелонов.
Надо научиться экономить транспорт и помнить, что чем меньше мы затратим поездов для поднятия боевого соединения, тем быстрее мы создадим нужный оперативный кулак.
5) От полного контакта в работе органов ВОСО и оперативных, от постоянной осведомленности ВОСО о предположениях командования на операцию и на переброску войск. Подобное требование вошло и в германский устав гл. XVI стр. 686.
6) От скрытности выполнения самих перевозок, «скрытность порождает внезапность, а внезапность – успех». Примерами обеспечения скрытности перевозок и именно не самих перевозок, а цели перевозок можно привести сосредоточение ударной группы Макензена у Горлице в 1915 г. и подготовка Брусиловского прорыва в 1916 г.
В том и другом случае замаскировали не самый факт перевозки (что значительно сложнее), а назначение перевозимых эшелонов.
Вр. Полевой устав ч. II говорил (ст. 480): «Маскировка движения эшелонов не может быть выполнена средствами командования дивизии и корпусов и достигается лишь совокупностью мер маскировки, принимаемых высшим командованием. Эта маскировка достигается: а) направлением серий ложных эшелонов и распространением ложных слухов и б) мероприятиями по сокрытию признаков движения на станциях и путях. Наилучшим обеспечением скрытности железнодорожных перевозок войск являются активные действия нашей авиации».
«Дисциплина, быстрота и планомерность посадки и выгрузки – лучший залог успешности их маскировки».
7) От четкости и гибкости составленного плана перевозок и всех расчетов на перевозку. Перевозки по железным дорогам всегда требуют довольно значительного времени для их подготовки. Количество необходимого для перевозки времени колеблется в зависимости от пропускной способности дороги, наличия порожняка, паровозов, топлива, от степени оборудования железнодорожной станции для посадки войск, от количества перевозимых войск, особенно же от количества и вида повозок, лошадей, фуража и пр.
Обычно, при нормальных условиях, перевозка может быть начата спустя 12 часов по предъявлении к железной дороге соответствующего требования. При заблаговременном предупреждении железной дороги и заблаговременной подготовке соответствующих железнодорожных составов, время подготовки к перевозке может быть сокращено до 4–5 часов.
Распоряжения войскового командования по подготовке к железнодорожным перевозкам раскрывают планы и оперативные предположения командования, почему эти распоряжения являются совершенно секретными, и при передаче их по телеграфу, как проволочному, так и беспроволочному, обязательно шифруются.
От всех военных и железнодорожных служащих, причастных к перевозкам, надлежит требовать безусловного соблюдения военной тайны, подвергая виновных в несоблюдении ее немедленному задержанию.
Совершение оперативных перевозок предъявляет к работникам ВОСО требования: 1) обеспечить намеченные перевозки подачей подвижного состава в сроки, указанные в плане перевозки; 2) обеспечить быстроту; движения эшелонов; 3) назначить «поток» максимальной мощности; 4) обеспечить эшелоны от возможных нападений; 5) обеспечить переброску войск питанием в пути; 6) обеспечить развертывание политической работы, с соблюдением мер секретности переброски.
В германском уставе написано: «Распоряжения по перевозкам указывают намерения командования. Поэтому все учреждения не должны допускать разглашения не подлежащих оглашению данных. Необходимы: шифровка телеграфных приказов, условные обозначения при письменных и телефонных сношениях, в особенности же – надежность и молчаливость всех сотрудников».
Английское наставление по перевозкам гласит: «Соблюдение тайны представляется весьма важным, в особенности в период сосредоточения и при стратегических перебросках… подробности должны сообщаться только офицерам, принимающим непосредственное участие в проведении указанных и необходимых мер. При; телеграфных и: телефонных сношениях части войск, железнодорожные станции могут быть обозначены цифрами, буквами и условными словами, применение которых не только облегчает соблюдение тайны, но и уменьшает загруженность проводов… Управление генерал-квартирмейстера при первых: же операциях устанавливает употребление транспортного кода и перемену его через некоторые промежутки времени».
Во французском наставлении боевой службы о секретности перевозок говорится следующее: «При совершении: войсковых перебросок любым способом главное внимание должно быть обращено; на сохранение тайны передвижений».
В Полевом уставе французской армии указывается: «При перевозках любым способом необходимо: 1) предварительно разведать место посадки; 2) разделить погружаемые войска на группы, дабы было возможно грузить сразу, но в отдельности людей, животных и материальную часть; 3) грузиться в порядке и быстро; 4) соблюдать дисциплину, и меры безопасности; 5) снабжать войска довольствием, на дорогу; 6) выгружаться в порядке и быстро; 7) хранить в тайне маршрут и место назначения»[6].
Германский устав гласит: «Надежность эксплуатации является предпосылкой планомерного проведения перевозки. Она будет сохранена только в том случае, если войска воздержатся от вмешательства в деятельность железных дорог и если они будут точно исполнять приказы, отданные для перевозки, и технические указания железнодорожных чинов, а также если они безукоризненным поведением в пути и на станциях будут облегчать службу железнодорожного персонала» (ст. 711). «При перевозках в неприятельской стране и при опасности неприятельского нападения с воздуха командование должно считаться с возможными задержками, а потому не намечать слишком жестко сроков перевозки. Восстановление разрушенных искусственных сооружений, эксплуатационных оборудований и путей может потребовать большего времени. Пропускная способность вновь подготовленных к, эксплуатации участков может быть увеличена лишь постепенно», (ст. 700). «Командование устанавливает, по соглашению с офицером военных сообщений, или с линейной комиссией, начало погрузки и порядок отправки, в зависимости от тактической обстановки… Желательно первым же эшелоном отправить сапер для оказания, в случае нужды, помощи в районе выгрузки… Следует стараться не дробить соединений. В некоторых случаях можно рекомендовать в начале перевозки отправлять вместе в смешанном поезде конные и пешие войска для взаимной защиты», (ст. 696). «Воинские перевозки должны быть тщательно руководимы, подробно подготовлены, заботливо проработаны и постоянно контролируемы…»
В английском наставлении написано: «Планы перевозок редко могут быть заранее составлены, и одной из первых обязанностей штаба дивизии при получении назначения в новый район является связь с местным представителем штаба военных сообщений, который и разработает план погрузки дивизии»: «Выбор пунктов отправления и прибытия зависит от целого ряда условий, а именно – от интенсивности перевозки, от наличия приспособлений для погрузки и выгрузки, от условий и положений районов, из которых и в которые перевозятся войска, от возможности и условий расквартирования войск и от необходимости или ненадобности тесного сосредоточения войск».
В румынской армии господствует взгляд, что тактические перевозки проводятся распоряжением армии, а лишь оперативные (т. е. стратегические) распоряжением главного командования. Румыны тоже указывают: 1) на необходимость особой секретности при перевозках, 2) на постоянную тесную связь командования и органов передвижения (комиссара движения).
К. Триандафиллов указывает: «Огромное значение в деле рокировки сил имеет степень организационной подготовки железных дорог, искусство управления на этих дорогах и методы работы органов военных сообщений, быстрота составления необходимых расчетов и планов для массовых перевозок. Решающее же значение имеет темп работы самих железных дорог. Во всяком случае в лице современной железнодорожной сети имеется могучее средство для маневра».
Техника организации перевозок по железным дорогам заключается в следующем: по получении приказа о переброске, командование войсковым соединением выясняет у органов ВОСО (3, ЗКУ) точные места погрузок, часы подачи поездных составов на станции погрузки и маршрут следования (последнее сообщается не всегда), после чего отдает приказ с указанием:
а) распределение частей по эшелонам, времени и места посадки каждого подразделении;
б) путей следования, к пунктам посадки и к сборным пунктам около станций посадки, с обязательным учетом маскировки подхода частей;
в) порядка питания в пути (как правило, все эшелоны должны иметь с собой действующие походные кухни и для питания людей два раза в сутки имеют длительные стоянки – не менее 30 минут);
г) наряда рабочих для работ по погрузке конского состава, материальной части и имущества;
д) мер противовоздушной обороны пунктов посадок) высадок и в пути следования.
Полевой устав 29 г. устанавливает, что ответственность за посадку, порядок в пути и высадку лежит на командирах каждой из перевозимых частей. Они обязаны: 1) до начала посадки командировать на станции погрузки лиц командного состава для получения сведений о мерах, принятых железнодорожной администрацией для подготовки перевозки (в частности – обеспечение погрузочными приспособлениями в достаточной мере); 2) принять меры к обеспечению быстроты и порядка погрузки, в соответствии с указаниями линейного представителя ВОСО-ЗКУ или ЗК; 3) поверить обеспечение подразделений своей части всем Необходимым в пути; 4) поверить принятые меры обеспечения боевой готовности части и eё безопасности на время перевозок. В каждом эшелоне назначается особый начальник эшелона, выполняющий свои обязанности в соответствии с «Наставлением для перевозки войск по железной дороге».
Начальникам всех степеней следует помнить, что успешное выполнение перевозки возможно при условии выполнения всех требований линейных органов ВОСО и при условии невмешательства в действия железнодорожной администрации.
Для обеспечения планомерности высадки войск от каждого соединения высылается к пункту высадки представитель командования. Он обязан обеспечить быстроту выгрузки, наметить пути отхода выгруженных частей и организовать ПВО выгружаемых частей.
В некоторых случаях оперативной обстановки, разрушения путей или забитости станций эшелоны будут разгружаться прямо на перегоне, и органы ВОСО должны обеспечить место выгрузки, разгрузочными приспособлениями. Были случаи, когда эшелоны останавливались на перегоне и сами, кустарным способом, производили; выгрузку материальной части. В, результате являлась порча орудий, большая потеря времени на разгрузку, и срыв плана перевозок.
Типовые поезда
Для успешного выполнения всякого вида воинских перевозок надо обеспечить быструю подачу подвижного состава в количестве, необходимом для совершения перевозки и подобранном в соответствии с потребностью войск.
Мировая война дала следующий пример обеспечения оперативных перевозок подвижным составом.
На западном фронте были введены в обращение типовые поезда, т. е. поезда, составленные из определенного количества вагонов и платформ и подаваемые под погрузку без пересоставления. У французов вначале было два вида: 1) поезд боевого типа для перевозки боевых частей и штабов, в составе 1 Классного, 2 багажных, 34 крытых товарных и 13 платформ (50 единиц); 2) поезд паркового типа для перевозки парков и обозов в составе 1 классного, 2 багажных, 24 крытых товарных и 23 платформ (50 единиц). Некоторые части, напр. тяжелая артиллерия, могли перевозиться или в первом или во втором поезде. С конца 1916 г. принят был единственный тип поезда – поезд объединенного типа, неизменный, в составе 1 классного, 2 багажных, 30 крытых товарных и 17 платформ (50 единиц), в общем годный для перевозки всех частей войск. Такого же состава типовой поезд принят и в английской армии.
По данным 1928 г. во Франции приняты следующие типовые поезда: для моторизированных частей и для иных, причем поезда первого типа должны состоять постоянно в резерве командования, дабы без задержки следовать к пунктам погрузки частей войск.
Для пехотной дивизии требуется 52 эшелона и из них первого типа – 3 и второго – 49 – эшелонов.
В германском уставе тоже введено пользование типовыми поездами и установлено понятие о дежурных типовых поездах, формирующихся когда переброска уже намечается. «Дежурные поезда», говорится в германском уставе, «вызывают расходы, исключают из движения вагоны и загружают пути, почему, они, после выяснения обстановки, сейчас же расформировываются».
Если в особенно напряженной обстановке поезда не могут составляться планомерно, для переброски войск должен быть использован весь наличный подвижной состав. При этом приходится мириться с дроблением войсковых соединений.
Типовые поезда вызывают лишний расход подвижного состава, бесполезные простои и пробеги поездов, но значительно сокращают и упрощают всю работу по совершению оперативных перевозок, поэтому могут быть рекомендованы при обеспеченности вагонным парком.
В английском наставлении для воинских перевозок в военное время читаем: «Типовые поезда на случай требований содержатся всегда в постоянной готовности на соответствующих пунктах железнодорожной сети». «Главнокомандующий всегда осведомлен о средствах для больших перевозок, находящихся в его распоряжении, и может рассчитывать время, которое эта перевозка потребует. Он имеет возможность, если необходимо переводить поезда с одной сети на другую или с одного пункта на другой. Большая экономия в работе по формированию состава и в провозной способности обеспечена. Число поездов, находящихся в готовности, может быть увеличено или уменьшено, в зависимости от обстановки, а подбор и формирование специальных поездных составов должны всячески избегаться. Способ „типовых поездов“ способствует более быстрому началу и ведению перевозок, вызывает минимальное количество переписки и является не единственным практическим методом работы при операциях, в которых принимает участие большое количество войск». «Число типовых поездов будет в значительной степени зависеть от количества подвижного состава, который по существующим условиям может быть предоставлен для этой цели».
В армии САСШ тоже введены в обращение типовые поезда для стратегических перевозок в следующем составе;

Для перевозки пехотной дивизии требуется поездов типа «А» – 42, типа «В» – 21, а всего 63 поезда; если же моторизованные части и обозы пойдут походным порядком, то для пеших частей и боевого обоза требуется 26 поездов.