
2. Частичные знания в системе.
На следующем этапе делались простейшие механизмы и машины. Они уже включали определенные знания, например, как размельчать бобы какао, – была создана мельница. Это этап частичного включения знаний в систему. Далее процесс все более автоматизировался. В систему вносили все большие знания.
3. Все знания о процессе в системе.
Создали полностью автоматизированную систему. В систему внесли все необходимые знания для изготовления определенного вида шоколада.
4. Управление знаниями осуществляется в системе.
На следующем этапе в систему изготовления шоколада необходимо ввести управление знаниями изготовления шоколада.
Например, система будет адаптироваться и изменять процесс для различных сортов какао и конкретно под бобы, имеющиеся в системе. Система будет изучать процесс изготовления шоколада и улучшать его. Система будет сама перестраиваться под различные сорта шоколада. Система будет создавать новые рецепты шоколада и саморазвиваться. Система будет создавать подобные себе системы.
Учет знаний и закономерностей их развития – это современные тенденции развития техники. Особенно важно их учитывать при развитии информационных технологий.
Часто веполь изображают в виде треугольника. Аналогично можно представить и ЭлД. Тогда ЭлДЗ в общем виде можно изобразить так:
Учет знаний и закономерностей их развития – это современные тенденции развития техники. Особенно важно их учитывать при развитии информационных технологий.
Часто веполь изображают в виде треугольника. Аналогично можно представить и ЭлД. Тогда ЭлДЗ в общем виде можно изобразить так:

Таким образом, вепольный и ЭлД анализ являются частными случаями ЭлДЗ анализа, при условии, что знания не учитываются или не рассматриваются при анализе и синтезе системы.
Для полноты картины необходимо учитывать изменения элементов (Э), действий (Д) и знаний (З) во времени, т. е. их динамизацию. Схематично это изобразим в виде стрелки с буквой t (время).

23.6.2. Параметрический анализ
Для полноты картины необходим учет всех параметров составляющих компонентов (элемента, действия и знаний).
Данные об элементе
В качестве данных об элементе можно рассматривать:
1. Структуру;
2. Свойства;
3. Изменения во времени.
Структура элемента
Под структурой элемента понимается:
– Внутреннее строение и/или состав;
– Форма;
– Агрегатное состояние с учетом цепочки дробления (рис. 24.5).
Структура зависит от самого элемента.
Пример 23.5. Структура технической системы
Для технических элементов это может быть, например, конструкция (устройство) элемента, его состав (пластмасса, металл, «умное» вещество, например, материал с эффектом памяти формы, чип и т. д.). Форма элемента и его агрегатное состояние (твердый, жидкий, газообразный, плазма).
Пример 23.6. Структура организационной системы
Для организационных систем, например, структура компании или подразделения.
Пример 23.7. Структура бизнес-системы
Для бизнес-системы, например, структура и состав бизнеса, какой-то сделки и т. д.
Пример 23.8. Структура информационной системы
Для информационных систем – это может быть структура элемента, вид информации и ее параметры и т. д.
Свойства элемента
Описываются все свойства и параметры элемента.
Это могут быть:
– технические свойства, включая вес и габариты;
– экономические характеристики;
– эстетические характеристики;
– эргономические характеристики;
– экологические характеристики;
– психологические характеристики;
– и т. п.
Изменения во времени
Учитывает изменяется ли элемент во времени и характеристики изменения, т. е. элемент динамичный или статичный и характеристики динамичности.
Данные о действии
В качестве данных об элементе можно рассматривать:
1. Вид действия;
2. Градиент действия (grad Д).
Вид действия
Любое действие, воздействие и взаимодействие любой природы:
1. Потоки:
– вещества;
– поля;
– информации.
2. Силы;
3. Энергия;
4. и т. д.
Градиент действия
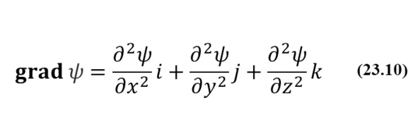
Градие́нт (от лат. gradiens, род. падеж gradientis – шагающий, растущий) – вектор, своим направлением указывающий направление наибольшего возрастания некоторой величины ψ, значение которой меняется от одной точки пространства к другой (скалярного поля), а по величине (модулю) равный скорости роста этой величины в этом направлении14.

Градиент – вектор, своим направлением указывающий направление наискорейшего возрастания некоторой величины ψ. Другими словами, направление градиента есть направление наибыстрейшего возрастания функции15.
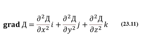
Учитывая, что величина, с которой мы имеем дело, – это действие (Д), формулу (23.10) можно представить

Таким образом, для действия указывается его:
– направление:
– сила;
– скорость.
В некоторых случаях нужно указывать более высокие производные и интеграл действия.
Данные о знании
Сначала дадим некоторые определения16.
Знание – форма существования и систематизации результатов познавательной деятельности человека. Выделяют различные виды знания: научное, обыденное (здравый смысл), интуитивное, религиозное и др. Обыденное знание служит основой ориентации человека в окружающем мире, основой его повседневного поведения и предвидения, но обычно содержит ошибки, противоречия. Научному знанию присущи логическая обоснованность, доказательность, воспроизводимость результатов, проверяемость, стремление к устранению ошибок и преодолению противоречий.
Знание – субъективный образ объективной реальности, то есть адекватное отражение внешнего и внутреннего мира в сознании человека в форме представлений, понятий, суждений, теорий.
Знание в широком смысле – совокупность понятий, теоретических построений и представлений.
Отличительные характеристики знания все еще являются предметом неопределенности в философии. Согласно большинству мыслителей, для того чтобы нечто считалось знанием, это нечто должно удовлетворять трем критериям:
– быть подтверждаемым;
– быть истинным;
– заслуживающим доверия.
В качестве данных о знаниях можно рассматривать:
1. Структуру;
2. Свойства;
3. Изменения во времени.
Структура знаний
Под структурой знаний мы понимаем:
1. Вид знания
2. Составные части знания и их взаимодействия.
Свойства знаний
Под свойствами знаний мы понимаем то, что могут дать эти знания.
Изменения во времени
Знания могут быть:
1. неизменными;
2. меняющимися, например адаптирующимися.
23.6.3. Закономерности развития ЭлДЗа
Развитие ЭлДЗа осуществляется по закону, подобному закону увеличения степени вепольности (рис. 23.2 – 23.6). Общая тенденция развития ЭлДЗа представлена на рис. 23.14.

Рис. 23.14. Общая тенденция развития ЭлДЗа
Тенденцию развития ЭлДЗа начнем рассматривать с этапа, когда в систему еще не введены знания (З). Это предшествующий этап – развития ЭлДа (рис. 23.15—23.17). Такой этап мы условно назвали не ЭлДЗ система.
Простой ЭлДЗ – это этап введения в систему знания (З). Следующий этап увеличения управляемости системы – это изменение и согласование элементов (Э), действий (Д) и знаний (З). Согласование означает, что необходимо, чтобы действие (Д) отзывалось на знания (З), элемент (Э) отзывался на действие (Д), а знание воспринимало изменение состояния элементов (Э) и действий (Д), управляя ими.
Структура ЭлДЗ отличается от структур, изображенных на рис. 23.3—23.5, тем, что дополнительно вводится знание (З).
Изменение структуры означает, что для каждой из структур, изображенных на рис. 23.4 и 23.5, дополнительно вводится знание (З). Схема изменения структуры ЭлДЗ показана на рис. 23.15 и 23.16.

Рис. 23.15. Тенденция изменения структуры ЭлДЗа

Рис. 23.16.Тенденция изменения комплексного ЭлДЗа
Следующий этап – форсированный ЭлДЗ. Форсирование означает увеличение степени управляемости. Форсированный ЭлДЗ предусматривает форсирование элемента (Э), действия (Д), знаний (З) и структуры.

Рис. 23.17.Тенденция изменения форсированного
Закономерности увеличения управляемости элемента и действия, а также закономерности развития знаний будут изложены ниже.
23.6.4. Закономерность управления элементом
Закономерность управления элементом аналогична закономерности изменения управляемости веществом (глава 24). Она представлена на рис. 23.18.

Рис. 23.18. Структура закономерностей эволюции систем
Управление элементом аналогично управлению веществом, которое будет изложено в главе 24.
Закономерность перехода к КПМ не характерна для информационных систем, поэтому она не учитывается.
Закономерность изменения степени дробления рассматривается в общем виде, без цепочки, представленной на рис. 24.5. Элементы могут быть раздроблены и иметь жесткие или гибкие связи между собой.
Под пустотностью, понимается оставление «пустых» мест (например, в программе), которые заполняются в процессе разработки или работы.
23.6.5. Закономерности управления действием
Закономерность управления действием аналогична закономерности изменения управляемости энергией и информацией (глава 25). Она представлена на рис. 23.19.

Рис. 23.19. Закономерность управления действиями
Закономерность заключается в том, что любая система в своем развитии стремится изменить насыщенность действий в необходимый момент в нужном месте.
Механизмы насыщения действий аналогичны механизмам энергетического и информационного насыщения, которые, прежде всего, относятся к рабочему органу (см. рис. 23.20—23.21).

Рис. 23.20. Тенденция замены вида действия

Рис. 23.21. Тенденция перехода моно-, би-, полидействия
23.6.5. Закономерности развития знаний
Общие представления
Нами выявлены следующие закономерности развития знаний:
– Расширение – сжатие.
– Дифференциация – специализация.
– Комбинация известных знаний и интеграция.
– Интеллектуализация.
Расширение – сжатие (свертывание)
Тенденцию «расширение – сжатие» можно продемонстрировать на примере развития различных теорий.
Пример 23.9. Развитие теории электромагнитного взаимодействия
Первоначально электричество и магнетизм считались двумя отдельными силами. Затем многие ученые замечали связь электрических и магнитных явлений. Первым из них был Джованни Доменико Романьози (1802 г). Далее свой вклад внесли Ганс Христиан Эрстед, Доминика Франсуа Араго, Жан-Батисто Био, Фелекс Савару, Андре-Мари Ампер, Макл Фарадей (1820 г.) Это этапы расширения знаний.
Джеймс Максвелл в 1873 г. свел их воедино, создав классическую электродинамику. Это этап сжатия знаний.
Еще одним примером может служить развитие теории гравитации.
Пример 23.10. Развитие теории гравитации
Опишем только некоторые из шагов развития теории гравитации.
Первый вклад внес древнегреческий астроном Клавдий Птолемей (87—165) разработав геоцентрическую модель мира (центральное положение во Вселенной занимает неподвижная Земля).
Коперник (1473—1543) изучал небесные тела в течение 40 лет (этап расширения знаний). В 1543 г. была опубликована его книга «О вращении небесных тел», где была описана гелиоцентрическая модель мира (Солнце является центром небесных тел).
Затем накопились данные дополняющие и противоречащие теоритическим знания Коперника (расхождение астрономических таблиц с наблюдениями) – это этап расширения. Уже теория Коперника не объясняла все имеющиеся дополнительные знания.
Гильберт (1540—1603) предположил, что силы тяготения подобны силе магнитов. Рене Декарт предположил, что тяготение создают вихри тонкой невидимой материи, а планеты подобны телам, попавшим в водяные воронки. Но строгий порядок в мысли о тяготении внес Иоганн Кеплер (1571—1630), который вывел количественные законы движения планет. Потом Галилей добавил закон инерции и принцип независимости действия сил. Роберт Гук (1635—1703) сделал практически первый эскиз закона: «Все небесные тела производят притяжение к их центрам, притягивая не только свои части, как мы это наблюдали на Земле, но и другие небесные тела, находящиеся в сфере их действия».
Следующий этап сделал Кеплер (1571—1630). Он вывел количественные законы движения планет. Его теория включала знания, описанные Коперником (вел три закона полностью объясняющие видимую неравномерность движения планет). Это этап сжатия.
Галилей добавил закон инерции и принцип независимости действия сил. Многие ученые высказывали предположения о силе притяжения. Это был этап расширения.
Самый значительный вклад в теорию гравитации внес Исаак Ньютон (1642—1727). Он учел знания Коперник, Кеплера и Галилея, открыл закон всемирного тяготения в 1666 году. Вывел формулу силы гравитационного притяжения. Это был этап сжатия. Дальнейшее накопление знаний (расширение) показало неточность теории Ньютона.
Очередной этап сжатия осуществил Эйнштейн в 1915 году, создав общую теорию относительности. Теория Ньютона, в полном согласии с принципом соответствия, оказалась приближением более общей теории, применимым при выполнении двух условий:
1. Гравитационный потенциал в исследуемой системе не слишком велик.
2. Скорости движения в этой системе незначительны по сравнению со скоростью света.
Далее снова стали накапливаться знания, не объясняемые теорией относительности, например, гравитационные процессы в квантовых масштабах. К настоящему времени проводятся исследования, но теория квантовой гравитации пока не создана.
Делаются попытки создать единую теорию поля. Пока это этап расширения знаний.
На этапе расширения знаний находится и «Теория всего (Theory of everything —TOE)». Это попытка создать теорию, описывающую все фундаментальные взаимодействия (гравитационного, электромагнитного, сильного и слабого).
Дифференциация – специализация
От одной области науки отпочковываются наука, и она начинает самостоятельно развиваться.
Пример 23.11. Дифференциации и специализации науки
Первоначально физика была единой наукой. Затем появились отдельные науки механика, термодинамика, оптика, электродинамика, атомная физика и т. д. Механика разделилась на классическую механику, релятивистскую механику, механику сплошных сред. Последняя наука разделилась на гидромеханику, акустику и механику твердого тела. Каждый из разделов продолжает делиться и специализироваться дальше.
Комбинация известных знаний и интеграция
Новые знания образуются и соединением уже известных.
Например, были науки физика и химия. Затем появилась науки физическая химия и химическая физика.
Новые знания могут появляться путем комбинировании старых.
Знание «А» известно, знание «Б» тоже известно. Новое знание «В» получают соединением «А» и «Б»17.
Пример 23.12. Периодичность солнечных пятен
Периодичность солнечных пятен была давно известна, периодичность явлений в ионосфере – тоже; открытие состояло в том, что было найдено явление взаимосвязи между активностью солнечных пятен и функциями ионосферы.
Могут быть и более сложные варианты получение новых знаний: формула «А + Б» дает новое знание «В», затем «В + известное Г» дает новое знание «Д».
Пример 23.13. Периодичность солнечной активности
Периодичность в солнечной активности известна, периодичность в слипании коллоидов – тоже. Сначала установили взаимосвязь между этими явлениями. Затем полученное новое явление связали с известным явлением, состоящим в том, что тело человека – коллоидальная система. В итоге было открыто явление взаимосвязи некоторых процессов в организме с периодичностью солнечных пятен.
Обратный прием: исследование явления «А» с целью установления, что оно есть совокупность двух ранее неизвестных явлений «В» и «Б».
Пример 23.14. Радиоактивное излучение
Сначала было известно вообще радиоактивное излучение, затем – применяя магнитное поле – установили, что лучи радия – совокупность трех разных лучей. Так открыли явления альфа-, бета- и гамма-радиоактивности.
Другие схемы.
По аналогии. Есть группа явлений и, допустим, есть другая более или менее похожая на нее вторая группа явлений; тогда можно рассчитывать, что явлению «А» в первой группе соответствует еще не известное явление «А1» во второй группе.
Подвергать сомнению самоочевидные и общепризнанные явления. На каждом этапе развития техники эксперимента полезно проверить, казалось бы, достоверные явления.
Исключение неуниверсального явления. Допустим, явление «А» хорошо объединяет ряд факторов, но не объясняет какого-то одного факта. Тогда есть смысл попытаться отказаться от явления «А» или заменить его частными явлениями. При этом существование границ между частными явлениями – само по себе новое явление.
Отыскание среди явлений взаимопротиворечивых. Такая противоречивость далеко не всегда очевидна.
Интеллектуализация
Переход от неуправляемых к управляемым знаниям происходит по следующей цепочке: адаптивные (самонастраивающиеся) знания, самообучаемые и самоорганизующиеся знания и, наконец, саморазвивающимся и самовоспроизводящимся знания.
На сегодняшний день имеются системы адаптирующиеся, самонастраивающиеся и самообучающиеся, способные адаптировать и накапливать знания в процессе обучения. Развитие искусственного интеллекта должно привести к получению саморазвивающимся и самовоспроизводящимся знаниям.
Эта закономерность – развитие знаний в будущем.
Пример 23.15. Процесс изготовления шоколада
Сначала процесс осуществлялся человеком вручную. Он знал весь процесс. Выбирал необходимые бобы какао, жарил их и молол их до нужной консистенции. Таким образом, знания о процесс изготовления шоколада были только в голове работника, т.е. знания не присутствовали в системе.
На следующем этапе делались простейшие механизмы и машины. Они уже включали определенные знания, например, как размельчать бобы какао – была создана мельница. Это этап частичного включения знаний в систему. Далее процесс все более автоматизировался. В систему вносили все большие знания.
Создали полностью автоматизированную систему. В систему внесли все необходимые знания для изготовления определенного вида шоколада.
Конец ознакомительного фрагмента.
Текст предоставлен ООО «Литрес».
Прочитайте эту книгу целиком, купив полную легальную версию на Литрес.
Безопасно оплатить книгу можно банковской картой Visa, MasterCard, Maestro, со счета мобильного телефона, с платежного терминала, в салоне МТС или Связной, через PayPal, WebMoney, Яндекс.Деньги, QIWI Кошелек, бонусными картами или другим удобным Вам способом.
Примечания
1
Vladimir Petrov. The Laws of System Evolution. Berlin: TriS Europe GmbH, 646 pages, published in Russian. INNOVATOR (06) 01/2013, ISSN 1866—4180. Петров В. Законы развития систем. Монография. Тель-Авив, 2013 – 646 с.
2
Петров Владимир. Законы развития систем: ТРИЗ. Изд. 2-е, испр. и дополненное / Владимир Петров. [б. м.]: Издательские решения, 2019. – 926 с. – ISBN 978-5-4490-9985-3.
3
Альтшуллер Г. С. Найти идею. Введение в теорию решения изобретательских задач. – Новосибирск: Наука, 1986, С. 59.
4
Автоматическое управление – БСЭ http://slovar.cc/enc/bse/1970183.html.
5
Central Brass Manufacturing. Design News, 1989, vol. 44, No.22. «Energy», No. 11, 1989. USA.
6
Дифференцировка клеток – процесс реализации генетически обусловленной программы формирования специализированного фенотипа клеток, отражающего их способность к тем или иным профильным функциям. Фенотип клеток есть результат координированной согласованной функциональной активности определенного набора генов.
7
Альтшуллер Г. С. Творчество как точная наука. – М.: Сов. радио, 1979, С. 30.
8
Альтшуллер Г. С. Творчество как точная наука. – М.: Сов. радио, 1979, С. 127.
9
Альтшуллер Г., Гаджиев Ч., Фликштейн И. Введение в вепольный анализ. – Баку, ОЛМИ, 1973, 26 с.
Альтшуллер Г. Вепольный анализ. Методические указания. – Баку, ОЛМИ, 1973, 23 с.
10
Альтшуллер Г. С. Творчество как точная наука. – М.: Сов. радио, 1979, С. 30.
11
Альтшуллер Г. С. Творчество как точная наука. – М.: Сов. радио, 1979, С. 127.
12
Петров В. Закон увеличения степени вепольности. – Л. 1981.
13
Петров В., Злотина Э. Структурный вещественно-полевой анализ. Учебное пособие. Тел-Авив, 1992. http://www.trizland.ru/trizba.php?id=111.
Петров Владимир. Структурный анализ систем: Вепольный анализ. ТРИЗ / Владимир Петров. [б. м.]: Издательские решения, 2018. – 212 с. – ISBN 978-5-4493-9970-0.
14
Градиент – Материал из Википедии.
15
Градиент функции. URL: https://math.semestr.ru/math/gradient.php.