
Primārais atsauces numurs ir 10. Otrais atsauces numurs ir 30 jeb 3 x 10. Atsauces numurus rakstām iekavās kā otro skaitli, kas izteikts kā pirmais, tas ir:
(10 x 3) 8 x 27 =
Abi piemērā minētie faktori ir mazāki par to atsauces skaitļiem, tāpēc zem faktoriem apzīmējam apļus. Zem skaitļa 8, kura atsauces numurs ir 10, novelciet vēl vienu apli.

Par cik 8 un 27 ir mazāki par to atsauces skaitļiem (atcerieties, ka 3 apzīmē 30)? Par 2 un 3. Ierakstiet 2 un 3 apļos.

Tagad reiziniet 2, kas atrodas zem koeficienta 8, ar koeficientu 3 iekavās.
2 x 3 = 6
Zem 2 zemākajā aplī ierakstīsim 6. Tagad no 27 atņemiet skaitli, kas atrodas šķērsām zemākajā aplī:
27 – 6 = 21
Reiziniet 21 ar bāzes atsauces numuru 10:
21 x 10 = 210
210 ir mūsu starpposma atbilde. Lai iegūtu atlikušo daļu, mēs reizinām augšējos apļos esošos skaitļus (2 un 3), kas mums iegūst 6. Pievienojiet 6 ar 210 un iegūstiet galīgo atbildi: 216.

Atrisināsim citu piemēru:
9 x 48 =
Kādus atsauces numurus mums vajadzētu izvēlēties? 10 un 50. Rakstīsim piemēru jaunā veidā:
(10 x 5) 9 x 48 =
Abi faktori ir mazāki par to atsauces skaitļiem, tāpēc mēs novietojam apļus apakšā. Cik tie ir mazāki par to atsauces numuriem? 1 un 2. Ievadiet 1 un 2 apļos:

Tagad reizināsim 1 zem 9 ar koeficientu 5, kas ir iekavās.
1 x 5 = 5
Mēs rakstām 5 zemākajā aplī zem 1. Mūsu piemēra risinājums tagad izskatās šādi:

Atņemiet 5 no 48:
48 – 5 = 43
Aiz vienādības zīmes rakstīsim 43. Sareizināsim 43 ar atsauces skaitli 10 (lai to izdarītu, mēs vienkārši pievienojam 0 labajā pusē ar 43), kas dos atbildi.
43 x 10 = 430
Kā pēdējo soli reiziniet skaitļus divos augšējos apļos:
1 x 2 = 2
Pievienosim 2 starpatbildei 430:
430 +2 = 432
Pilnībā atrisinātais piemērs tagad izskatās šādi:

Vienkārši, vai ne? Vienīgā grūtība, kas jums var rasties, ir atcerēties, kam vajadzētu būt nākamajam solim.
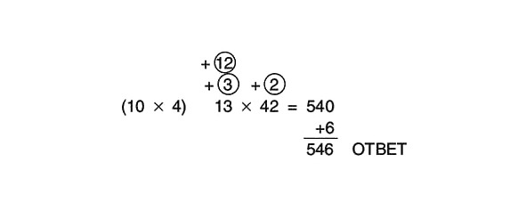
Ja reizinātāji ir lielāki par atsauces skaitļiem, mēs rīkojamies šādi. Kā piemēru ņemsim produktu 13 x 42:

Galvenais atsauces numurs ir 10. Otrais, ko mēs paņēmām, ir 40 jeb 10 x 4. Mēs cenšamies atlasīt atsauces skaitļus tā, lai tie būtu mazāki vai lielāki par skaitļiem, kas tiek reizināti. Abi faktori šajā piemērā ir lielāki par attiecīgajiem atsauces skaitļiem, tāpēc augšpusē mēs uzzīmējām apļus. Koeficients 13 atbilst bāzes atsauces skaitlim 10, tāpēc virs šī faktora mēs novelkam divus apļus. Cik daudz vairāk nekā jūsu atsauces numuri 13 un 42? Uz 3 un 2. Mēs ievadām 3 un 2 apakšējos apļos. Reiziniet 3 aplī virs koeficienta 13 ar 4 iekavās.
3 x 4 = 12
Mēs rakstām 12 augšējā aplī virs 13. Tagad salieciet to šķērsām.
42 +12 = 54
54 un atsauces numura 10 reizinājums dod 540. Šī ir mūsu starpposma atbilde. Tagad reizināsim skaitļus apakšējos apļos.
3 x 2 = 6
Pievienojiet 6 pret 540, lai iegūtu galīgo atbildi: 546. Šādi izskatās pilnībā atrisināts piemērs:

Primārajam atsauces numuram nav jābūt 10. Lai atrastu reizinājumu 23 x 87, ir lietderīgāk izmantot 20 kā primāro atsauces numuru un 80 (20 x 4) kā otro atsauces numuru.
Pastiprināsim to, ko esam iemācījušies, izmantojot piemēru:
(20 x 4) 23 x 87 =
Abi piemērā minētie faktori ir lielāki par to atsauces skaitļiem (20 un 80), tāpēc augšpusē zīmējam apļus. Cik vēl? Uz 3 un 7. Mēs ievadām 3 un 7 atbilstošajos apļos.

Mēs reizinām 3, kas pārsniedz koeficientu 23, ar 4 iekavās.
3 x 4 = 12
Mēs ievadām 12 augšējā aplī, virs 3. Jūsu paveiktais darbs izskatās šādi:

Tagad pievienosim 12 un 87.
87 +12 = 99
Reiziniet 99 ar bāzes atsauces numuru 20:
99 x 20 = 1980. gads
(Vispirms mēs reizinām 99 ar 2, un rezultāts ir 10. 99 ir 100 mīnus 1. 2 reizinot ar 100 mīnus 1, iegūst 200 mīnus 2, kas ir vienāds ar 198. Tagad reiziniet 198 ar 10 un iegūstiet reizinājuma atbildi 99 x 20.)
Tagad reizināsim skaitļus apakšējos apļos.
3 x 7 = 21
1980 +21 = 2001
Piemēra galīgais risinājums izskatās šādi:

Es piedāvāju trīs piemērus jūsu risinājumam:
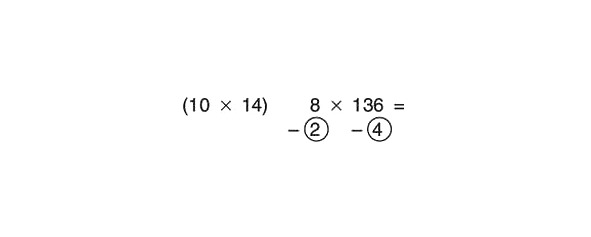
a) 14 x 61 = __; b) 96 x 389 = __; c) 8 x 136 = __
Lai aprēķinātu reizinājumu 8 x 136, izmantojiet skaitļus 10 un 140 (10 x 14) kā atsauces numurus.
Atbildes:
a) 854; b) 37344; c) 1088
Atrisināsim piemērus b) un c) kopā:
b) 96 x 389 =
Mēs izmantosim 100 un 400 kā atsauces numurus:

Reiziniet 4 aplī zem koeficienta 96 ar 4 iekavās:
4 x 4 = 16
Mēs ievadām 16 apakšējā aplī zem 4. Risinājums līdz šim izskatās šādi:

Atņemiet 16 no 389 un iegūstiet 373. Pēc tam reiziniet 373 ar bāzes atsauces numuru 100, iegūstot 37300.

Tagad sareizināsim 4 un 11 apļos, iegūstot 44. Summa 44 un 37300 dod 37344.
Pilnībā atrisināts piemērs izskatās šādi:

Tagad mēģināsim atrisināt piemēru c):
8 x 136 =
Ņemsim 10 un 140 (10 x 14) kā atsauces numurus:

Sareizināsim 2 zem koeficienta 8 ar skaitli 14, kas ir iekavās:
2 x 14 = 28
Mēs rakstām 28 apakšējā aplī zem 2. Tagad no 136 atņemiet 28 (vispirms atņemiet 30 un pēc tam vēl 2) un iegūstam 108. Tagad reiziniet 108 ar galveno atsauces skaitli 10, iegūstot atbildi 1080. Līdz šim paveiktais darbs izskatās šādi:

Tagad reizināsim skaitļus 2 un 4 apļos.
2 x 4 = 8
Pievienojiet 8 pret 1080 un iegūstiet galīgo atbildi: 1088.

Atsauces skaitļi, kas izteikti kā viens skaitlis dalīts ar citu
Lai reizinātu 96 ar 47, mēs varētu izmantot 50 vai 100 kā atsauces skaitļus: 50 x 2 vai 100:2. Šajā gadījumā 100:2 būtu labāk, jo 100 tad kļūtu par primāro atsauces numuru. Vienkāršāk ir reizināt ar 100 nekā ar 50. Lūdzu, ņemiet vērā, ka, rakstot risinājuma piemēru, labāk vispirms norādīt koeficientu, kas attiecas uz galveno atsauces numuru.
Tātad, ķersimies pie risinājuma:
96 x 47 =
Ņemsim 100 un 50 kā atsauces skaitļus:

Sadaliet skaitli 4, kas atrodas aplī zem faktora 96, ar dalītāju 2 iekavās:
4: 2 = 2
Iegūto atbildi 2 ierakstīsim citā aplī zem 96.
Tagad no 47 atņemiet 2 un reiziniet atbildi (45) ar galveno atsauces numuru (100). Rezultātā mēs iegūstam 4500:

Pēc tam reiziniet pirmos divus ciparus apļos (-4 x – 3 = 12) un pievienojiet rezultātu 4500. Rezultātā mēs iegūstam 4512:

Ja jums vajadzētu reizināt 96 un 23, jūs varētu izmantot 100 kā primāro atsauci un 25 (100:4) kā otro atsauci. Tas izskatītos šādi:

96 ir 4 mazāks par 100, un 23 ir 2 mazāks nekā 25. Tagad dalīsim 4 zem 96 ar 4 iekavās. 4 dalīts ar 4, iegūst 1. Ierakstīsim šo skaitli citā aplī zem 96:

Atņemiet 1 no 23, lai iegūtu 22. Reiziniet 22 ar bāzes atsauces skaitli 100, lai iegūtu 2200.

Sareizināsim skaitļus divos augšējos apļos.
4 x 2 = 8
Pievienojiet 8 uz 2200 un iegūstiet galīgo atbildi: 2208.

Ko darīt, ja mums vajadzētu reizināt ar 97 un 23? Vai mūsu stratēģija ir piemērojama šajā gadījumā? Pamēģināsim:

3 dalīts ar 4 ir 3/4. Atņemiet 3/4 no 23 (jums ir jāatņem 1 un jāpievieno 1/4) :
23 – 3/4 = 22 1/4
Viena ceturtdaļa kā decimāldaļa tiek rakstīta kā 0,25 (1/4 no 100 ir 25). Tādējādi:
22 1/4 x 100 = 2225
Sareizināsim skaitļus apļos.

Tādējādi mūsu metode šādos gadījumos darbojas vienlīdz labi.
Kā ar 88x343? Var izmantot kā atsauces numurus 100 un 350.

Lai atrastu reizinājumu ar 3 1/2 x 12, reiziniet 12 ar 3 un pēc tam pievienojiet atbildei pusi no 12, kas ir 6. Iegūsiet 42.
343–42 = 301
301 x 100 (galvenais atsauces numurs) = 30100
12 x 7 = 84
30100 +84 = 30184

Kāpēc šī metode darbojas?
Es nesniegšu detalizētu skaidrojumu, bet mēģināšu to parādīt ar piemēru. Apsveriet produktu 8 x 17.
Mēs varētu dubultot 8, lai iegūtu 16, pēc tam reizināt 16 ar 17 un ņemt pusi atbildes, kas būtu pareiza sākotnējai problēmai. Tas ir diezgan tāls ceļš ejams, taču tas parāda, kāpēc divu atsauces numuru metode darbojas. Mēs izmantosim 20 kā atsauces numuru.

Atņemiet 4 no 17 un iegūstiet 13. Reizinot 13 ar atsauces skaitli 20, atbilde ir 260. Tagad reiziniet skaitļus apļos:
4 x 3 = 12
Starpatbildei 260 pievienojot 12, mēs iegūstam gala rezultātu: 272. Bet mēs reizinājām ar 16, nevis 8, tāpēc mēs faktiski dubultojām atbildi. 272 dalīts ar 2 sniedz mums atbildi uz piemēru 8 x 17, proti, 136.

Puse no 272 ir 136. Tādējādi:
8 x 17 = 136
Tāpēc mēs dubultojām koeficientu pašā sākumā un pēc tam uz pusi samazinājām atbildi pašās beigās. Šīs divas darbības izslēdz viena otru. Šajā gadījumā jūs varat atbrīvoties no ievērojamas aprēķinu daļas. Apskatīsim, kā šajā gadījumā darbojas divu atsauces numuru metode:

Ņemiet vērā, ka otrajā risinājumā mēs atņemam 4 no 17; Mēs darījām to pašu, kad to atrisinājām, izmantojot pirmo metodi. Rezultāts bija 13, ko mēs pēc tam reizinājām ar 10. Atrisinot pirmo veidu, mēs dubultojām 13, pēc tam to reizinām ar 10, un beigās atbildi samazinājām uz pusi. Risinot ar otro metodi, sareizinājām skaitļus apļos (2 un 3), kas deva atbildi 6, tas ir, pusi no 12, kas iegūti, risinot ar pirmo metodi.
Var izmantot jebkuru atsauces numuru kombināciju. Vispārīgie noteikumi ir:
• Pirmkārt, atsauces skaitļu lomai ir jāizvēlas tie, ar kuriem ir viegli reizināt, tas ir, 10, 20, 50 utt.
• Otrajam atsauces numuram ir jābūt galvenā daudzkārtnim, tas ir, dubultajam, trīskāršajam, četrkāršajam utt.
Eksperimentējiet ar piedāvātajiem risinājumiem pats. Vienmēr ir iespēja kaut kā vienkāršot matemātiskos aprēķinus. Un katru reizi, kad izmantojat šīs metodes, jūs uzlabojat savas matemātikas prasmes.
8. nodaļa Papildinājums
Lielākā daļa no mums uzskata, ka saskaitīšana ir vieglāka darbība nekā atņemšana. Šajā nodaļā mēs uzzināsim, kā padarīt pievienošanu vēl vienkāršāku.
Kā jūs savā galvā pievienotu 43 un 9?
Vienkāršākais veids būtu vispirms pievienot 10, lai iegūtu 53, un pēc tam atņemt 1. Atbilde ir 52.
Jebkuram skaitlim ir viegli pievienot 10: 36 plus 10 ir vienāds ar 46; 34 plus 10 ir vienāds ar 44 utt. Vienkārši palieliniet desmitnieku skaitli par 1 ikreiz, kad skaitlim tiek pievienots 10 (sīkāku informāciju skatiet 6. nodaļā).
Pamatnoteikums papildinājumu veikšanai galvā ir:
Lai skaitlim pievienotu 9, pievienojiet tam 10 un atņemiet 1; lai pievienotu 8, pievienotu 10 un atņemtu 2; lai pievienotu 7, pievienotu 10 un atņemtu 3 utt.
Ja skaitlim jāpievieno 47, pievienojiet tam 50 un atņemiet 3. Lai pievienotu 196, pievienojiet 200 un atņemiet 4. Tas palīdz saglabāt skaitļus prātā. Lai skaitlim pievienotu 38, pievienojiet 40 un pēc tam atņemiet 2. Lai skaitlim pievienotu 288, pievienojiet 300 un pēc tam no rezultāta atņemiet 12.
Mēģiniet papildināt savā galvā. Saki atbildi skaļi. 34 +9 nesaki: «Četrdesmit četri, četrdesmit trīs.» Veiciet korekciju par vienu, jau izrunājot atbildi, lai jūs vienkārši iegūtu: «Četrdesmit trīs». Mēģiniet atrisināt tālāk sniegtos piemērus. Par diviem no tiem ir sniegts mājiens.

Atbildes:
a) 64; b) 47; c) 85; d) 74; e) 55; e) 33
Divciparu skaitļu pievienošana galvā
Kā jūs pievienotu 38 skaitlim? Lai pievienotu 38, vispirms skaitlim jāpievieno 40 un pēc tam no iegūtās summas jāatņem 2.
Kā ar 57? Pievienojiet 60 un atņemiet 3.
Kā pievienot 86? Pievienojiet 100 un atņemiet 14.
Конец ознакомительного фрагмента.
Текст предоставлен ООО «Литрес».
Прочитайте эту книгу целиком, купив полную легальную версию на Литрес.
Безопасно оплатить книгу можно банковской картой Visa, MasterCard, Maestro, со счета мобильного телефона, с платежного терминала, в салоне МТС или Связной, через PayPal, WebMoney, Яндекс.Деньги, QIWI Кошелек, бонусными картами или другим удобным Вам способом.
Вы ознакомились с фрагментом книги.
Для бесплатного чтения открыта только часть текста.
Приобретайте полный текст книги у нашего партнера:
Всего 10 форматов