
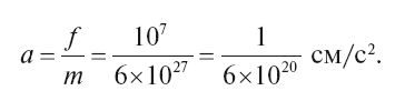
Вообразите, что на этой глубине очутился наган и что заряд его не промок. Курок спущен, порох воспламенился. Вылетит ли пуля?
Вот сведения о нагане, необходимые для решения задачи: длина ствола 22 см, скорость пули при выходе из дула – 270 м/с, калибр (диаметр канала) – 7 мм, вес пули – 7 г.
Итак, выстрелит ли наган на дне океана?
РешениеЗадача сводится к решению вопроса: какое давление на пулю больше – пороховых газов изнутри или воды океана снаружи? Последнее рассчитать несложно: каждые 10 м водяного столба давят с силой одной атмосферы, т. е. 1 кг на 1 см2. Следовательно, 11 000 м водяного столба окажут давление в 1100 атмосфер, или больше тонны на 1 см2.

Рис. 11. Выстрелит ли наган на дне океана?
Теперь определим давление пороховых газов. Прежде всего вычислим силу, движущую пулю. Для этого найдём среднее ускорение движения пули в стволе (принимая это движение за равномерно-ускоренное). Отыскиваем в табличке соотношение
v2 = 2aS,
где v – скорость пули у дульного обреза, а – искомое ускорение, S – длина пути, пройденного пулей под непосредственным давлением газов, иными словами – длина ствола. Подставив v = 270 м = 27 000 см/с, S = 22 см, имеем
27 0002 = 2а × 22,
ускорение а = 16 500 000 см/с2 = 165 км/с2.
Огромная величина ускорения (среднего) – 165 км/с2 – не должна нас удивлять, ведь пуля проходит путь по каналу нагана в ничтожный промежуток времени, который тоже поучительно вычислить. Расчёт выполняем по формуле v = at:
27 000 = 16 500 000/
откуда время

Мы видим, что за 600-ю долю секунды скорость пули должна возрасти от 0 до 270 м/с. Ясно, что за целую секунду прибавка скорости, так стремительно нарастающей, должна быть огромна.
Но вернёмся к расчёту давления. Узнав величину ускорения пули (вес которой, напомним, 7 г), мы легко вычислим действующую на неё силу, применив формулу f = ma:
7 × 16 500 000 = 115 500 000 дин.
В ньютоне круглым счётом миллион дин (дина – около миллиграмма × м/с2), значит, на пулю действует сила в 115 Н. Чтобы вычислить давление в килограммах на 1 см2, надо знать, по какой площади эта сила распределяется. Площадь равна поперечному сечению канала револьвера (диаметр канала 7 мм = 0,7 см):
¼ × 3,14 × 0,72 = 0,38 см2.
Значит, на 1 см2 приходится давление в
115: 0,38 = около 300 Н/см2.
Итак, пуля в момент выстрела выталкивается давлением в 300 атмосфер[15] против давления океанских вод, превышающего тысячу атмосфер. Ясно, что пуля не двинется с места. Порох вспыхнет, но не вытолкнет пули. Пуля нагана, пробивающая на воздухе (с 35 шагов) 4—5-дюймовых досок кряду, здесь бессильна «пробить» воду.
Сдвинуть земной шар
Даже среди людей, изучавших механику, распространено убеждение, что малой силой нельзя сдвинуть свободное тело, если оно обладает весьма большой массой. Это одно из заблуждений здравого смысла. Механика утверждает совершенно иное: всякая сила, даже самая незначительная, должна сообщить движение каждому телу, даже чудовищно грузному, если тело это свободно. Мы не раз уже пользовались формулой, в которой выражена эта мысль:

Последнее выражение говорит, что ускорение может быть равно нулю только в том случае, когда сила/равна нулю. Поэтому всякая сила должна заставить двигаться любое свободное тело.
В окружающих нас условиях мы не всегда видим подтверждение этого закона. Причина – трение, вообще сопротивление движению. Другими словами, причина та, что перед нами очень редко бывает тело свободное: движение почти всех наблюдаемых нами тел не свободно. Чтобы в условиях трения заставить тело двигаться, необходимо приложить силу, которая больше силы трения. Дубовый шкаф на сухом дубовом полу только в том случае придёт в движение под напором наших рук, если мы разовьём силу не меньше ⅓ веса шкафа, потому что сила трения дуба по дубу (насухо) составляет 34 % веса тела. Но если бы никакого трения не было, то даже ребёнок заставил бы двигаться тяжёлый шкаф прикосновением пальца.
К тем немногим телам природы, которые совершенно свободны, т. е. движутся, не испытывая ни трения, ни сопротивления среды, принадлежат небесные тела – Солнце, Луна, планеты, в их числе и наша Земля. Значит ли это, что человек мог бы сдвинуть с места земной шар силой своих мускулов? Безусловно так: напирая на земной шар, вы приведёте его в движение!
Но вот вопрос: какова окажется скорость этого движения? Мы знаем, что ускорение, приобретаемое телом под действием данной силы, тем меньше, чем больше масса тела. Если деревянному крокетному шару мы силой своих рук можем сообщить ускорение в несколько десятков метров в секунду за секунду, то земной шар, масса которого неизмеримо больше, получит от такой же силы неизмеримо меньшее ускорение. Мы говорим: «неизмеримо больше», «неизмеримо меньше», конечно, не в буквальном смысле. Измерить массу земного шара возможно[16], а следовательно, возможно определить и его ускорение при заданных условиях. Сделаем это.
Пусть сила, с какой человек напирает на земной шар, равна 10 Н, т. е. около 10 000 000 дин. Мы рискуем запутаться в выкладках, если не прибегнем здесь к сокращённому обозначению больших чисел: 10 000 000 = 107. Масса земного шара равна 6 × 1027 г. Поэтому величина искомого ускорения

Такова величина ускорения, приобретаемого в этом случае земным шаром. На сколько же сдвинется планета в столь медленно ускоряющемся движении? Это зависит от продолжительности движения. И без расчёта ясно, что за какой-нибудь час или сутки перемещение будет слишком ничтожно. Возьмём крупный интервал – год, т. е. круглым счётом 32 млн секунд (32 ×106). Путь 5, проходимый в t секунд при ускорении а, равен (см. справочную табличку с. 31).

В данном случае

Перемещение равно примерно миллионной доле сантиметра. Такого перемещения нельзя усмотреть в самый сильный микроскоп. Возьмём ещё больший промежуток времени: пусть человек напирает на земной шар всю жизнь, скажем, 70 лет. Тогда величина перемещения увеличится в 70 %, т. е. круглым счетом в 5000 раз, и станет равной

Это приблизительно толщина человеческого волоса.
Результат поразительный: силой своих мышц человек может в течение жизни сдвинуть земной шар на толщину волоса! Как хотите, это всё же значительное действие для такого пигмея, как человек.
Самое удивительное то, что расчёт наш ничуть не фантастичен. Мы действительно сдвигаем земной шар силой наших мускулов! Так, например, подпрыгивая, мы надавливаем ногами на Землю и заставляем её подаваться – пусть на ничтожную величину – под действием этой силы. Мы совершаем подобные подвиги на каждом шагу – буквально на каждом шагу, потому что при ходьбе неизбежно отталкиваем ногой нашу планету. Ежесекундно заставляем мы земной шар делать сверхмикроскопические перемещения, прибавляя их к тем астрономическим движениям, которыми он обладает[17].
Ложный путь изобретательства
В поисках новых технических возможностей изобретатель должен неизменно держать свою мысль под контролем строгих законов механики, если не хочет вступить на путь бесплодного фантазёрства. Не следует думать, что единственный общий принцип, которого не должна нарушать изобретательская мысль, есть закон сохранения энергии. Существует и другое важное положение, пренебрежение которым нередко заводит изобретателей в тупик и заставляет их бесплодно растрачивать свои силы. Это – закон движения центра тяжести. Рассматривая предлагаемые изобретателями проекты новых летательных аппаратов, я не раз убеждался, что закон этот мало известен широким кругам.
Упомянутый закон утверждает, что движение центра тяжести тела (или системы тел) не может быть изменено действием одних лишь внутренних сил. Если летящая бомба разрывается, то, пока образовавшиеся осколки не достигли земли, общий центр их тяжести продолжает двигаться по тому же пути, по какому двигался центр тяжести целой бомбы. В частном случае если центр тяжести тела был первоначально в покое (т. е. если тело было неподвижно), то никакие внутренние силы не могут переместить центр тяжести.
К какого рода заблуждениям приводит изобретателей пренебрежение рассматриваемым законом, показывает следующий поучительный пример – проект летательной машины совершенно нового типа. Представим себе, говорит изобретатель, замкнутую трубу (рис. 12), состоящую из двух частей: горизонтальной прямой АВ и дугообразной части АСВ над ней. В трубах имеется жидкость, которая непрерывно течёт в одном направлении (течение поддерживается вращением винтов, размещённых в трубах). Течение жидкости в дугообразной части АСВ трубы сопровождается центробежным давлением на наружную стенку. Получается некоторое усилие Р (рис. 13), направленное вверх, усилие, которому никакая другая сила не противодействует, так как движение жидкости по прямому пути АВ не сопровождается центробежным давлением. Изобретатель делает отсюда тот вывод, что при достаточной скорости течения сила Р должна увлечь весь аппарат вверх.

Рис. 12. Проект летательного аппарата нового типа

Рис. 13. Сила Р должна увлекать аппарат вверх
Верна ли мысль изобретателя? Даже не входя в подробности механизма, можно заранее утверждать, что аппарат не сдвинется с места. В самом деле, так как действующие здесь силы – внутренние, то переместить центр тяжести всей системы (т. е. трубы вместе с наполняющей её водой и механизмом, поддерживающим течение) они не могут. Машина, следовательно, не может получить общего поступательного движения. В рассуждении изобретателя кроется какая-то ошибка, какое-то существенное упущение.

Рис. 14. Почему аппарат не взлетает?
Нетрудно указать, в чём именно заключается ошибка. Автор проекта не принял во внимание, что центробежное давление должно возникать не только в кривой части АС В пути жидкости, но и в точках А и В поворота течения (рис. 14). Хотя кривой путь там и не длинен, зато повороты очень круты (радиус кривизны мал). А известно, что чем круче поворот (чем меньше радиус кривизны), тем центробежный эффект сильнее. Вследствие этого на поворотах должны действовать ещё две силы Q и R, направленные наружу; равнодействующая этих сил направлена вниз и уравновешивает силу Р. Изобретатель проглядел эти силы. Но и не зная о них, он мог бы понять непригодность своего проекта, если бы ему был известен закон движения центра тяжести.
Правильно писал в своё время великий Леонардо да Винчи, что законы механики «держат в узде инженеров и изобретателей для того, чтобы они не обещали себе или другим невозможные вещи».
Где центр тяжести летящей ракеты?
Может показаться, что ракетный двигатель нарушает закон движения центра тяжести. Звёздоплаватели хотят заставить ракету долететь до Луны – долететь действием одних только внутренних сил. Но ведь ясно, что ракета унесёт с собой на Луну свой центр тяжести. Что же станется в таком случае с нашим законом? Центр тяжести ракеты до её пуска был на Земле, теперь он очутился на Луне. Более явного нарушения закона и быть не может!
Что можно возразить против такого довода? То, что он основан на недоразумении. Если бы газы, вытекающие из ракеты, не встречали земной поверхности, было бы ясно, что ракета вовсе не уносит с собой на Луну свой центр тяжести. Летит на Луну только часть ракеты, остальная же часть – продукты горения – движется в противоположном направлении, поэтому центр тяжести всей системы там, где он был до старта ракеты.
Теперь примем во внимание то обстоятельство, что вытекающие газы движутся не беспрепятственно, а ударяются о Землю. Тем самым в систему ракеты включается весь земной шар, и речь должна идти о сохранении центра тяжести огромной системы Земля – ракета. Вследствие удара газовой струи о Землю (или о её атмосферу) наша планета несколько смещается, центр тяжести её отодвигается в сторону, противоположную движению ракеты. Масса земного шара настолько велика по сравнению с массой ракеты, что самого ничтожного, практически неуловимого его перемещения оказывается достаточно для уравновешения того смещения центра тяжести системы Земля – ракета, которое обусловлено перелётом ракеты на расстояние Луны. Передвижение земного шара меньше расстояния до Луны во столько же раз, во сколько раз масса Земли больше массы ракеты (т. е. в сотни триллионов раз!).
Мы видим, что даже и в такой исключительной обстановке закон движения центра тяжести остаётся в полной силе.

Глава 3
Тяжесть

Свидетельства отвеса и маятника
Отвес и маятник – без сомнения, простейшие (по крайней мере в идее) из всех приборов, какими пользуется наука. Тем удивительнее, что столь примитивными орудиями добыты поистине сказочные достижения: человеку удалось благодаря им проникнуть мысленно в недра Земли, узнать, что делается в десятках километров под нашими ногами. Мы вполне оценим этот подвиг науки, если вспомним, что глубочайшая буровая скважина мира (на момент написания книги. – Ред.) не длиннее 3¼ км[18], т. е. далеко не достигает тех глубин, о которых дают нам показания, находящиеся на поверхности земли отвес и маятник.
Механический принцип, лежащий в основе такого применения отвеса, нетрудно понять. Если бы земной шар был совершенно однороден, направление отвеса в любом пункте можно было бы определить расчётом. Неравномерное распределение масс близ поверхности или в глубине Земли изменяет это теоретическое направление. Близость горы, например, заставляет отвес несколько отклоняться в её сторону – тем значительнее, чем ближе находится гора и чем больше её масса. Возле обсерватории в Симеизе отвес испытывает заметное отклоняющее действие соседней стены Крымских гор, угол отклонения достигает полминуты. Ещё сильнее отклоняют к себе отвес Кавказские горы: во Владикавказе на 37 с дуги, в Батуме – на 39 с. Наоборот, пустота в толще Земли оказывает на отвес как бы отталкивающее действие: он оттягивается в противоположную сторону окружающими массами. (При этом величина кажущегося отталкивания равна тому притяжению, которое должна была бы производить на отвес масса вещества, если бы полость была заполнена им.) Отвес отталкивается не только полостями, но – соответственно слабее – также и скоплениями веществ менее плотных, чем основная толща. Вот почему в Москве, вдали от всяких гор, отвес всё же отклоняется к северу на 10 с дуги. Как видим, отвес может служить чувствительным инструментом, помогающим судить о строении земных недр.

Рис. 15. Пустоты (А) и уплотнения (В) в толще земного шара отклоняют отвес (по А. В. Клоссовскому)

Рис. 16. Профиль земной поверхности и направления отвесов (по А.В. Клоссовскому)
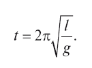
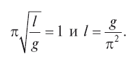
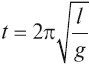
Ещё чувствительнее в этом отношении маятник. Этот прибор обладает следующим свойством: если размах его качаний не превосходит нескольких градусов, то продолжительность одного качания не зависит от величины размаха, и большие и малые качания длятся одинаково. Продолжительность качания зависит совсем от других обстоятельств: от длины маятника и от ускорения силы тяжести в этом месте земного шара. Формула, связывающая продолжительность t одного полного (туда и назад) качания с длиной l маятника и с ускорением g силы тяжести, такова:

При этом если длина t маятника берётся в метрах, то и ускорение g силы тяжести следует брать в метрах в секунду за секунду.
Если для исследования строения толщи Земли пользоваться «секундным» маятником, т. е. делающим одно (в одну сторону) колебание в секунду, то должно быть:

Ясно, что всякое изменение силы тяжести должно отразиться на длине такого маятника: его придётся либо удлинить, либо укоротить, чтобы он в точности отбивал секунды. Таким путём удаётся улавливать изменения силы тяжести в 0,0001 её величины.
Не буду описывать технику выполнения подобных исследований с отвесом и маятником (она гораздо сложнее, чем можно думать). Укажу лишь на некоторые, наиболее интересные результаты.
Казалось бы, близ берегов океана отвес должен отклоняться всегда в сторону материка, как отклоняется он по направлению к горным массивам. Опыт не оправдывает этого ожидания. Маятник же свидетельствует, что на океане и на его островах напряжение силы тяжести сильнее, чем близ берегов, а возле берегов – больше, чем вдали от них, на материке. О чём это говорит? О том, очевидно, что толща Земли под материками составлена из более лёгких веществ, чем под дном океанов. Из таких физических фактов геологи черпают ценные указания для суждения о породах, слагающих кору нашей планеты.
Незаменимые услуги оказал подобный способ исследования при выявлении причин так называемой Курской магнитной аномалии (отклонение от нормы). Приведу несколько строк отчёта одного из её исследователей[19]: «…Можно с полной определённостью утверждать о наличии под земной поверхностью значительных притягивающих масс, причём граница этих масс с западной стороны… устанавливается с совершенной отчётливостью. Вместе с тем представляется вероятным, что эти массы простираются преимущественно в восточном направлении, имея восточный скат более пологим, чем западный».

Рис. 17. Вверху справа – вариометр. Вверху слева – схема устройства прибора
Известно, какое важное промышленное значение придаётся тем огромным источникам железа, которые обнаружены в районе Курской аномалии. Запасы железной руды исчисляются здесь десятками миллиардов тонн, составляя половину мирового запаса. Приведу также некоторые результаты исследования аномалий силы тяжести на восточных склонах Урала (выполнено в 1930 г. ленинградскими астрономами):
«Около Златоуста мы имеем наибольший максимум в силе тяжести, соответствующий подъёму кристаллического массива Уральского хребта.
Второй максимум к востоку от Козырево характеризует приближение к поверхности земли погруженного хребта.
Третий максимум к востоку от Мишкино вновь даст указание о приближении древних пород к земной поверхности. оболочкой с тройными металлическими стенками. В приборе имеются две пары крутильных весов, повёрнутых на 180° относительно друг друга». У – плоское зеркало.

Рис. 18. Причина Курской аномалии: шток железной руды мощностью около 1000 м на глубине 100 м
И наконец, четвёртый максимум к западу от Петропавловска вновь указывает на приближение тяжелых пород» (Б.В. Нумеров).
Перед нами два из многочисленных примеров того, как физика создаёт основу для научных построений и практических применений в других, казалось бы, далёких от неё областях.
Маятник в воде
ЗадачаВообразите, что маятник стенных часов качается в воде. Чечевица его имеет обтекаемую форму, которая сводит почти к нулю сопротивление воды её движению. Какова окажется продолжительность качания такого маятника: больше, чем вне воды или меньше? Проще говоря: будет ли маятник качаться в воде быстрее, чем в воздухе, или медленнее?
РешениеТак как маятник качается в несопротивляющейся среде, то, казалось бы, нет причины, которая могла бы изменить скорость его качания. Между тем опыт показывает, что маятник в таких условиях качается медленнее.
Это загадочное на первый взгляд явление объясняется выталкивающим действием воды на погружённые в неё тела. Оно как бы уменьшает вес маятника, не изменяя его массы. Значит, маятник в воде находится совершенно в таких же условиях, как если бы он был перенесён на другую планету, где ускорение силы тяжести слабее. Из формулы, приведённой в предыдущей статье,

На наклонной плоскости
ЗадачаСосуд с водой стоит на наклонной плоскости (рис. 19). Пока он неподвижен, уровень АВ воды в нём, конечно, горизонтален. Но вот сосуд начинает скользить по хорошо смазанной плоскости СВ. Останется ли уровень воды в сосуде горизонтальным, пока сосуд скользит по плоскости?

Рис. 19. Сосуд с водой скользит под уклон. Как расположится уровень воды?
РешениеОпыт показывает, что в сосуде, движущемся без трения по наклонной плоскости, уровень воды устанавливается параллельно этой плоскости. Объясним почему.
Вес Р каждой частицы (рис. 20) можно представить себе разложенным на две составляющие силы: Q и R. Сила Р увлекает частицы воды и сосуда в движение вдоль наклонной плоскости СD; при этом частицы воды будут оказывать на стенки сосуда такое же давление, как и в случае покоя (вследствие одинаковости скорости движения). Сила же Q придавливает частицы воды ко дну сосуда. Действие всех отдельных сил Q на воду будет такое же, как и действие силы тяжести на частицы всякой покоящейся жидкости: уровень воды установится перпендикулярно к направлению силы Q, т. е. параллельно длине наклонной плоскости.

Рис. 20. Решение задачи рис. 19
А как установится уровень воды в баке, который (например, вследствие трения) скользит вниз по уклону равномерным движением?
Легко видеть, что в таком баке уровень должен стоять не наклонно, а горизонтально. Это следует уже из того, что равномерное движение не может внести в ход механических явлений никаких изменений по сравнению с состоянием покоя (классический принцип относительности).
Но следует ли это также из приведённого ранее объяснения? Конечно. Ведь в случае равномерного движения сосуда по наклонной плоскости частицы стенок сосуда не получают никакого ускорения; частицы же жидкости в сосуде, находясь под действием силы R, будут силой R придавливаться к передней стенке сосуда. Следовательно, каждая частица воды будет находиться под действием двух придавливающих сил R и Q, равнодействующая которых и есть вес Р частицы, направленный вертикально. Вот почему уровень воды должен в этом случае установиться горизонтально. Только в самом начале движения, когда сосуд, до получения постоянной скорости, ещё движется ускоренно[20], уровень воды принимает на мгновение наклонное положение.
Когда горизонтальная линия не горизонтальна?
Если бы в сосуде или в баке, скользящем вниз без трения, находился вместо воды человек с плотничим уровнем, он наблюдал бы странные явления. Тело его прижималось бы к наклонному дну сосуда совершенно так же, как в случае покоя прижимается к горизонтальному дну (только с меньшей силой). Значит, для такого человека наклонная плоскость дна сосуда становится словно горизонтальной. Соответственно этому, те направления, которые он до начала движения считал горизонтальными, принимают для него наклонное положение. Перед ним была бы необычайная картина: дома, деревья стояли бы косо, поверхность пруда расстилалась бы наклонно, весь ландшафт повернулся бы набекрень. Если бы удивлённый «пассажир» не поверил своим глазам и приложил ко дну бака уровень, инструмент показал бы ему, что оно горизонтально. Словом, для такого человека горизонтальное направление не было бы горизонтально в обычном смысле слова.