

(1.3)
где hm – передаточные коэффициенты лучей многолучевого сигнала, φm – их фазы, km – задержки лучей в выборках, δ (n- km) – функция Кронекера, m – номер луча, L – суммарное число лучей. В случае домашней связи, например, по сети WiFi, в первом приближении функцию hm можно описать распределением Рэлея, а φm – равновероятным распределением. Стоит отметить, что в случае, когда нет прямого луча, формулой Рэлея описывается именно огибающая радиосигнала, то есть изменение коэффициента передачи суммы всех лучей описано по данному закону [54].
В тропосферном канале аналогией непостоянства скорости звука является профиль коэффициента преломления в среде распространения. Причиной неоднородностей в тропосфере служат турбулентные передвижения воздуха за счет нагрева у земной поверхности и охлаждения на высоте. Эти турбулентности имеют зависимость от метеоусловий и от других природных относительно медленных факторов, что проявляется в медленных замираниях, описываемых нормально-логарифмическим законом [18]. Так же вклад вносят профили давления и влажности тропосферы, так как из-за разницы давлений возникает неоднородность, например, в составе воздуха, а за счет влажности изменяется коэффициент преломления в среде. Уровень замираний в тропосферной связи, то есть отношение максимальной энергии сигнала к минимальной, достигает величины 40 дБ [18].
Так как разработка канала связи для тропосферных или мобильных систем является относительно распространенной и исследованной, рассмотрим прохождение OFDM-сигнала через модель канала связи, с которой ранее не проводилось экспериментов с использованием OFDM-сигналов. В качестве базовой модели канала связи применим результаты работ А. В. Вагина и К. В. Авилова применительно к системам гидроакустической подводной связи. Расположение передатчика принято за начало координат, он расположен на глубине 100 м. Приемник располагается на глубине 50 м. Возьмем следующий результат расчета по программе А. В. Вагина: расстояние между передатчиком и приемником X = 10.0000 km, глубина моря Zморя = 5.00000km, AS – угол скольжения в точке излучения, AR – угол скольжения в точке приема, R – расстояние, пройденное лучем, T – время прохождения луча, FSB – значение, связанное с передаточным коэффициентом луча, FAZ – фаза луча без учета набега из-за отражения от дна.
С помощью модернизированной программы А. В. Вагина [7], где расчет многолучевой картины ведется для множества поднесущих частот, построим передаточную функцию канала. Импульсная характеристика должна представлять сумму функций кронекера, находящихся на соответствующих временах задержки и обладающих соответствующими коэффициентами ослабления. На рис. 1.1 представлены увеличенные значения импульсной характеристики, на которых расположены функции Кронекера. За счет шага дискретизации функция немного размыта.
На рис. 1.1 лучи располагаются примерно на выборках 122937, 122961, 123357, 123371, 123375, 123384, что соответствует временам 122937/18000 c = 6.8298 c, 122961/18000 c = 6.8312 c, 123357/18000 c = 6.8532 c, 123371/18000 c = 6.8539 c, 123375/18000 c = 6.8542 c, 123384/18000 c = 6.8547 c, что соответствует рассчитанным в программе А. В. Вагина задержкам лучей. При этом временной разброс составляет величину порядка нескольких мс. Результат расчета затухания в канале связи показан на рис. 1.2.
A

Б

Рисунок 1.1 – Импульсная характеристика подводного акустического канала в разных масштабах (А, Б)
На рис. 1.2 рассчет проведен по 3-м известным формулам, описывающим зависимость затухания от частоты для гидроаккустических сигналов. Р. А. Вадов и Франкойс-Гаррисон занимались исследованиями затухания в гидроакустическом канале связи, и результаты их работ представляются в программном обеспечении Акустического института им. ак. Н. Н. Андреева. Для вычислений использованы следующие параметры [7]:
% % Баренцево море
% f = [1.5:0.02:4.5] %Частота в кГц
% z=100; % Глубина в метрах
% t=2; % температура в град. Цельсия
% s=34.5; % солёность в промиле
% pH=8; % – кислотность
% XLAT=70; % Широта мало влияет, можно взять константой

Рисунок 1.2 – Результат расчета коэффициента затухания в дБ/км в зависимости от частоты
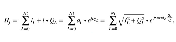
Считая, что модель затухания в Баренцевом море близка к модели затухания в Охотском море, можно принять вышеуказанные данные для расчета каждой точки Hf передаточной функции канала:

(1.4)
где L – номер луча, Nl – номер последнего луча, IL + i. QL – комплексное число передаточной функции на конкретной частоте, модуль которого является амплитудой луча aL, зависящей от коэффициентов фокусировки, отражения от дна и отражения от поверхности. А аргумент этого числа – фаза луча φL. Необходимо рассчитывать структуру поля для нескольких частотных значений Hf1, Hf2, … Hfn, чтобы получить передаточную функцию H. Операция ОБПФ от этой функции даст импульсную характеристику устройства h, описываемую формулой (1.3).
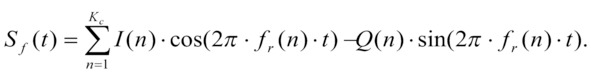
OFDM-сигнал на входе приемной части, прошедший через канал связи, без учета многолучевости и АБГШ может быть представлен с помощью следующей формулы с текущей частотой fr (n) с номером гармоники n, с числом гармоник Kc, данных I and Q (соответственно, синфазная и квадратурная составляющие), включающие в себя пилот-сигналы и нулевые составляющие:

(1.5)
Текущая частота содержит сдвиг Доплера вследствие эффекта Доплера в канале связи (v и c – соответственно, скорости перемещающегося объекта и света, α – угол между векторами скорости) и разницу между эталонными частотами передатчика и приемника fdiff, f0 – несущая частота и fc – частотный разнос:

При рассмотрении факта многолучевости можно дополнить эту модель, добавив дополнительную сумму в выражение (1.5) для каждой составляющей многолучевого канала, характеризуемой своей случайной амплитудой, фазой и временной задержкой. После данной операции необходимо добавить АБГШ. Но ограничимся пока формулой (1.5), так как для добавления многолучевости удобно производить расчет через импульсную характеристику канала связи.
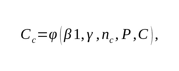
Критерием помехоустойчивости системы связи может служить пропускная способность системы [61]:

где γ = R/ΔF – спектральная эффективность, где R – возможный диапазон занимаемых частот; β1 = 1/ρ0 – энергетическая эффективность; ρ0 – отношение энергии сигнала к спектральной плотности шума в полосе передачи сигнала ΔF; nc = Tc / Tp – временная эффективность сети (отношение длительности полезной части сигнала к общей длительности на выходе канала); P – вероятность ошибочного приема; С – пропускная способность канала связи; φ – функционал для нахождения Cc по аргументам функции. При определенном значении пропускной способности в системе может быть рассмотрена зависимость вероятности ошибки (BER – битовая ошибка, SER – ошибка в символе, MER – ошибка в модуляции (в созвездии) и т. д.) от соотношения сигнал/шум [61].
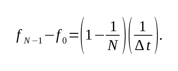
Оценка спектральной эффективности β может быть произведена следующим образом [70]. Теоретически спектральная эффективность может быть найдена как величина log2M, зависящая от порядка М-позиционной модуляции, где М – число точек в созвездии. Например, для BSPK это log22 = 1 бит/Гц, для QPSK – log24 = 2 бит/Гц. Если ∆t – время передачи одного OFDM-символа, то символьная скорость определяется величиной 1 / ∆t [символ/секунда]. Тогда битовая скорость определяется величиной log2M / ∆t. Полосу OFDM сигнала B удобно определить, зная число ненулевых поднесущих частот N, первую поднесущую частоту f0, последнюю fN-1 и половину ширины подканала в OFDM-системе, выражением B = fN-1 – f0 +2δ. Если поднесущие частоты в спектре распределены равномерно, получается равенство fN-1 – f0 = (N-1).∆f, где ∆f – частотный разнос между поднесущими частотами. При условии, что во временной области пренебрегается защитный интервал, и длительность OFDM-символа определяется только длиной БПФ, получается следующее: ∆f = 1 / (∆f.N), а Тогда спектральную эффективность для OFDM системы можно получить как величину:


В идеальных условиях δ = ∆f / 2 = 1 / (2N), и тогда получается, что знаменатель выше равен 1 – 1/N +2/ (2N) = 1. На практике параметр δ получается немного больше этой величины. Следовательно, систему с OFDM-сигналами можно рассматривать в первом приближении как набор независимых М-позиционных модуляторов, которые работают на поднесущих частотах, очень близких друг к другу. Но нужно делать поправку на то, что в OFDM недостижима идеальная функция Кронекера в частотной области из-за невозможности размещения целого числа периодов сигналов всех поднесущих частот в длительности одного OFDM-символа, из-за чего вместо функций Кронекера в частотной области получаются sinc-функции [82].
Стоит учитывать, что при генерации и приеме реальных синфазной и квадратурной составляющих сигнала важно соблюдение принципа ортогональности между этими частями сигнала. Классика – это когда синфазная составляющая выделяется при помощи косинуса, а квадратурная – при помощи синуса. Ведь если эти две компоненты будут неортогональны, то на выходе векторного анализатора просто будет наблюдаться рассыпавшийся сигнал, а не принятые составляющие и информация, заложенная в них.
В базисах, отличных от Фурье, составляющие сигнала, когда они есть, также должны быть ортогональны. Каждая составляющая отвечает за определенный параметр, либо передает сразу их совокупность. Так, если рассмотреть QAM-модуляцию, составляющие не характеризуют амплитуду или фазу сигнала в отдельности, но I и Q величины в декартовой системе координат при переходе к полярной системе координат дают как раз уже непосредственно амплитуду и фазу сигнала.
OFDM система как корреляционный приемник
Как формула ДПФ, так и формула корреляции позволяют говорить о накоплении информации во временной области. Следовательно, принципы OFDM и корреляционного приемника взаимосвязаны. Технология OFDM и корреляционный прием обладают схожими свойствами – используется накопление информации во временной области, и по результату принимается решение о значении переданного бита. В процессе корреляционного приема применяются функции с минимальным уровнем боковых лепестков, такие как коды Баркера, М-последовательности и другие. В системах связи с OFDM-технологией для кодового разделения абонентов применяются коды Уолша, такая технология многопользовательского доступа называется OFDMA [82]. Коды Уолша применяются и в технологии MC-CDMA – технологии многочастотной системы с разделением каналов. Но в современных системах связи с OFDM-сигналами не применяются ни коды Баркера, ни М-последовательности, и эта проблема должна быть раскрыта подробнее.
Начнем с того, что М-последовательности ортогональны, и при вычислении корреляционного интеграла «опорной» и «принятой» М-последовательностей можно получить максимум лишь для одинакового кода, ведь ортогональные коды дадут 0. Система связи с когерентным приемом может быть представлена с помощью рисунков 1.3 и 1.4.
Рассмотрим сигнал, где несущая частота f0 = 5 ГГц, длительность одного чипа М-последовательности – TМ = 2/f0. На рис. 1.4 представлен прием сигналов с помощью корреляционного накопления, модель разработана на языке C#. Представлен простейший вариант, где сообщение заложено не в фазовые сдвиги м-последовательности, а в ее знак. Каждый бит представляется в виде сообщения длиной в 1023 бит (регистр сдвига 10 бит с обратными связями на 7 и 10 битах). Затем происходит накопление каждых 1023 бит результирующего сигнала, умноженного на опорную М-последовательность, и сигнал на выходе коррелятора показан на рис. 1.4 третьим сверху.

Рисунок 1.3 – Сигнал ATGS (t), основанный на стандарте АТГС и обрабатываемый корреляционным приемником

Рисунок 1.4 – Корреляционный прием
Рассмотрим принцип усреднения по времени в OFDM технологии. Длина OFDM-символа составляет N выборок. На приемной стороне 1024 выборки будут преобразованы с помощью функции:

Таким образом, выделяются комплексные значения, характеризующие фазу и амплитуду сигнала, на каждой поднесущей частоте. На k-й поднесущей частоте получается пик, такой же, какой дает коррелятор, обладающий большой амплитудой в сравнении с сигналом во временной области.
Сравним формулу ДПФ с автокорреляционной (АКФ) функцией:

Формула ДПФ соответствует функции коррелятора в цифровом виде [14], представляет собой сумму произведений сигналов, но с тем отличием, что в качестве опорных сигналов применяются гармоники с различными частотами, то есть происходит накопление с оценкой сразу на нескольких частотах. В АКФ базисная функция для рассматриваемой ситуации – М-код с периодом 1023. На основе вышеприведенных фактов можно сделать вывод, что в обычной OFDM-системе не используется коррелятор, несмотря на то, что он позволяет вытащить из шумов довольно слабый сигнал, в соответствии с АКФ [14]. Коррелятор в классическом смысле этого термина имеется в MC-CDMA системе [82]. В эти системы можно добавить еще один коррелятор, который производит накопление уже после взятия операции БПФ в приемнике системы с OFDM-сигналами. Обобщая корреляционные процессы применительно к Rake-приемникам, стоит отметить, что многолучевые сигналы можно и стоит разделять, так как сигналы в отдельных лучах слабо коррелированны друг с другом.
Классификация систем связи с OFDM-сигналами
В сокращениях и аббревиатурах, относящихся к OFDM-системам связи, расшифровываются алгоритмы и методы. Целесообразно исследовать те аббревеатуры, которые имеются в настоящее время, и разобраться с их назначением.
– NOFDM – non-orthogonal FDM – неортогональное частотное разделение с мультиплексированием. Сигнал может быть получен, например, с помощью 2 OFDM-систем, у одной из которых частоты используются те, которые для другой являются невозможными, они лежат между возможными частотами другой OFDM-системы. Получается, что если один OFDM-передатчик передает ортогональные сигналы, то данная технология позволяет передавать неортогональные сигналы, так как длительность результирующего OFDM-символа Tи ≠ 1/Δf, где Δf – разнос между поднесущими двух OFDM-систем, находящихся в одной NOFDM-системе.
– COFDM – Coded OFDM – технология OFDM, в которой задействовано канальное кодирование. То есть на каждой частоте закладывается не исходная передаваемая информация, а кодированная.
Здесь известны подклассы, такие как:
SFBC-OFDM – space-frequency block coded – блочное кодирование в частоте-пространстве;
STBC-OFDM – space-time block coded – блочное кодирование во времени-пространстве;
FSTD-OFDM – frequency switched transmit diversity [109].
– CO-OFDM – coherent optical OFDM – когерентная оптическая OFDM – технология распространения множества поднесущих по многомодовым оптическим кабелям [110]
– MC-CDMA – технология OFDM, в которой реализовано кодовое разделение каналов по технологии CDMA. Синтез технологий CDMA и OFDM. Получение исходного сообщения на приемной стороне возможно с помощью модифицированного преобразования Фурье – преобразования Уолша-Харамарда [111].
– OFDMA – OFD Multiple access – многопользовательская технология OFDM, в которой информация разных пользователей находится на разных поднесущих частотах. Если делать связь с технологией CDMA, то каждый пользователь может быть отделен от других еще и с помощью кодирования, но тогда это будет уже смесь с MC-CDMA.
– MU-OFDMA – то же, что и OFDMA.
– CE-OFDM – технология OFDM с постоянной огибающей сигнала. Для уменьшения пик-фактора используется дополнительная модуляция, сглаживающая огибающую сигнала.
– IOTA-OFDM – Isotropic Orthogonal Transform Algorithm OFDM – OFDM c алгоритмом изотропного ортогонального преобразования, которая предполагает улучшенную технологию синхронизации системы связи и возможность уйти от использования циклического префикса [77].
– DCO-, ACO-, ADO-, DDO-, DSB- OFDM – оптические виды OFDM, соответственно, DC biased – смещенный на постоянное значение, asymmetrically clipped – асимметрично обрезанный, asymmetrically clipped DC biased – комбинация двух перечисленных, direct detection – с прямым детектированием, double-side band – с двухсторонней полосой виды оптической OFDM-технологии [76, 92, 83].
– SEFDM – Spectral Efficient FDM или спектрально эффективное частотное разделение с мультиплексированием. Частоты расположены неортогонально, за счет специального алгоритма обеспечивается требуемая помехоустойчивость системы связи при относительно малом значении частотного разноса.
– SM-OFDM, V-Blast – OFDM – spatially multiplexed – с пространственным мультиплексированием и Vertical Bell Labs Layered Space-Time Architecture – частотно-временная вертикальная архитектура, разработанная лабораторией Bell Labs [101].
– DSTTD-OFDM – технология с двойным частотно-временным разнообразием передачи (double space-time transmit diversity) [108].
– OFDM-PON, OFDM-ROF – соответственно, технологии с Passive optical Network (пассивной оптической сетью) и Radio Over Fiber (радиосвязь в оптоволокне) [87].
– MB-OFDM – multiband OFDM или многополосная OFDM. В таком случае несколько OFDM символов, сгенерированных в разных частотных полосах, суммируются в одном временном интервале, образуя один OFDM-символ. Но они могут быть суммированы и с задержкой, где рассмотрена по умолчанию технология временного разделения сигналов, когда каждая полоса спектра передается по очереди [100].
– BHT-OFDM – basefield Hartley transform OFDM – OFDM с уменьшением пик-фактора с помощью преобразования Хартли.
– FBMC – filter bank milticarrier, понятие многочастотных сигналов с банком цифровых фильтров, где OFDM представляется как частный случай. В генераторе, таким образом, после ОБПФ применяется банк фильтров, позволяющий точно отфильтровать каждую поднесущую частоту.
– MR-OFDM – multi-rate and multi-regional OFDM.
Рассмотрим классификацию систем связи с OFDM-сигналами по стандартам связи. Имеются стандарты [86]:
– WiFi: 802.11 -a (до 54 Мб/c), -b (до 11 Мб/c), -g (до 54 Мб/c), -j, -n (до 300 Мб/c), -ac (до 3.39 Гб/c на клиента);
– WiMAX: 802.16a, 802.16d (до 75 Мб/c), 802.16e (до 40 Мб/c), 802.16m (до 1 Гб/c);
– 3GPP UMTS, LTE, 4G;
– DVB (Digital Video Broadcast): DVB-T, DVB-T2, DVB-H, T-DMB, ISDB-T;
– Flash OFDM;
– DAB (Digital Audio Broadcast);
– ADSL, VDSL, MoCA, PLC и другие стандарты проводной связи.
Имеется ряд будущих, разрабатываемых в настоящее время стандартов. К 2020 году разрабатываются стандарты 5G [114]. Несмотря на это, внедрение 5G сетей начинается уже сейчас, известны такие стандарты, как WiGIG 801.11ad. Стоит отметить алгоритм Ad Hoc [114].
При сравнении продукции предприятий, концернов, занимающихся производством систем связи [3—5, 24, 25, 33, 55, 75, 113], учитывая рассмотренные стандарты, возникает вывод, что в подводной, спутниковой, тропосферной видах связи стандартов с использованием OFDM-сигналов не имеется. С одной стороны это объясняется тем, что OFDM-технология дает выигрыш при многолучевой связи, которая отсутствует в спутниковых системах. С другой стороны, OFDM-сигналы обладают высокой спектральной эффективностью, и если их не так приоритетно применять в условиях космоса, то в подводной связи их применение уже подчеркивалось нужным некоторыми из вышеперечисленных компаний. В частности, это в интересах Акустического института им. ак. Н. Н. Андреева и Санкт-Петербургского концерна «Океан прибор».
Метод генерации и приема OFDM-сигнала, основанный на использовании высших гармоник сигнала по теореме Котельникова
Вопрос создания широкополосного сигнала в системах связи является актуальным и комплексным, когда требуется большая скорость передачи данных. Если ширина спектра сигнала много меньше центральной частоты, то такой сигнал не так просто сгенерировать. Это наблюдается в системах связи 5-го поколения, где происходит работа на частотах в диапазоне 40 ГГц – 70 ГГц, а полоса сигнала может достигать 1—2 ГГц. Генерация большой полосы сигнала требует наличие в генераторе соответствующей тактовой частоты, которая, согласно теореме Котельникова, должна быть в 2 раза больше максимальной частоты сигнала. Либо требуются специальные методики, например, чтобы генерация сигнала в большой полосе частот осуществлялась с помощью нескольких микросхем. Но так как при переходе на радиочастоту используются аналоговые тракты, в системах связи при увеличении полосы сигнала появляются нестабильности параметров, либо устройство становится комплексным и многомодульным. В системах связи 5-го поколения используются OFDM-сигналы (Orthogonal frequency division multiplexing или ортогональное частотное разделение с мультиплексированием). Требуются алгоритмы и способы, позволяющие генерировать OFDM-сигналы в относительно большой полосе частот.
Изучение математической модели OFDM-системы показало, что можно закладывать информацию в частоты выше половины частоты дискретизации. Эта информация влияет лишь на фазу сигнала на соответствующей частоте в диапазоне 0-fd/2. Однако это не мешает выделить информации, заложенные в гармониках f1 и n. fd + f1.
Если частота сигнала будет перенесена из более высоких частот в область более низких, то потеряется информация, которая содержалась между двумя ближайшими выборками временного представления сигналов. Однако ранее в данной главе показано, что OFDM работает по аналогии с коррелятором, а ОБПФ позволяет накапливать периоды гармоник, содержащиеся в OFDM-сигнале. Поэтому информация о более высоких выборках оказывается ненужной, сигнал переносится с частоты fd + f1 на частоту f1, добавляя полезную мощность на эту частоту. Обычно высшие гармоники фильтруются в системе связи, иначе они создадут шумовое излучение в полезной полосе частот. В данном случае полоса частот априори может содержать высшие гармоники.
Существуют современные ЦАП (AD9119/9129, EV12DS130А), в которых предусматривается режим работы выше частоты Найквиста. Согласно даташиту на микросхемы AD919/9129 существуют режимы Normal mode и Mix mode. В режиме Normal mode высшие гармоники исчезают, и остаются только гармоники в диапазоне частот до частоты дискретизации. А в режиме же MIX MODE имеется возможность задействовать вторую гармонику. Имеется некоторое затухание. Так, для частот 0.25Fs и 1.25Fs получаем разницу -6 дБ +1 дБ = – 5 дБ. Для преодоления данной трудности, необходимо совершенствование алгоритмов для переноса на высшие гармоники.
На рис. 1.5 представлена возможность работы ЦАП EV12DS130A (рисунок взят из даташита на соответствующую микросхему) на частотах выше частоты Найквиста. Режим NRZ позволяет преобразовывать сигнал из цифровой формы в аналоговую с полосой частот, лежащей в первой зоне Найквиста. С помощью режима RTZ можно сгенерировать сигнал, оставив низкочастотные гармоники, а режим RF нужен для переноса спектра на радиочастоту. Зависимость на рис. 1.5 представлена в виде функции Aout (X), где Аout – амплитуды сигнала в дБм, X = отношение частоты сигнала к частоте дискретизации. Полоса сигнала, которая будет передаваться в эфир, фильтруется далее с помощью аналового фильтра. В данном случае возможен « перенос» спектра сигнала на частоту до 6 ГГц без применения гетеродина.

Рисунок 1.5 – Работа с ЦАП на частоте выше частоты Найквиста