
Что лучше ординар или экспресс
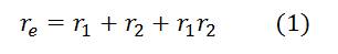
Этот вопрос очень часто задают друг другу игроки на форумах и неоднократно по этому поводу разгорались дискуссии. Предпочтение отдается иногда ординарным ставкам, иногда экспрессу, так как если две ставки обе имеют перевес, то перевес экспресса чуть выше, чем даже сумма перевесов двух ставок. В самом деле, перевес экспресса равен

а перевесы ставок равны

Из этих соотношений следует, что

Например, если перевес обеих ставок равен 5%, то перевес экспресса будет равен 10.25%. То есть, перевес экспресса чуть больше чем сумма перевесов двух ставок. Правда сам перевес определяет возможную прибыль только вместе с оборотом. Коэффициент экспресса существенно больше коэффициентов ординаров. Поэтому, для того, чтобы риск просадки банка оставался приемлемым, мы должны уменьшить сумму ставки экспресса и оборот будет меньше. То есть, сравнить просто по перевесу не удастся.
Далее будет написано достаточно много формул для тех, кому интересны выкладки, которые привели меня к некоторым выводам, сделанным в конце раздела. Те, кто не хочет разбираться во внутренностях обоснования выводов, могут сразу идти в конец раздела для ознакомления с самими выводами.
Так что же все-таки лучше, как это все оценить? Можно попытаться привлечь для оценки критерий Келли. Он добавляет необходимую связь между перевесом и суммой ставки. Мы сравним как среднюю прибыль со ставок в различных вариантах, так и экспоненциальную скорость роста банка, которая, собственно говоря, максимизируется при оптимизации по Келли.
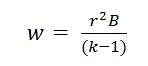
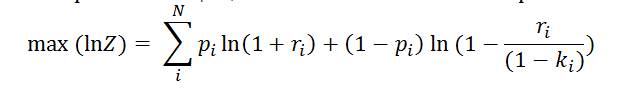
Сначала рассмотрим две ставки с одинаковыми коэффициентами, равными 2 и одинаковыми перевесами r Принципиально это не играет роли – то есть основные свойства ситуации удастся определить. Вот формула зависимости средней ожидаемой (МО) прибыли от перевеса

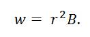
для одной ставки, где r – перевес, k– коэффициент ставки, w – мат. ожидание прибыли. Эта зависимость рассмотрена в одной из предыдущих статей серии Разумные финансовые стратегии в ставках на спорт. У нас k будет пока равно 2, поэтому формула упрощается :

Мы рассматриваем два случая, где сумма ставок не произвольна, а определяется критерием оптимальности, то есть мы не можем ее менять. Поэтому нужно сравнивать не прибыль с оборота, а прибыль со ставок. В самом деле, зачем нам сравнивать прибыль с оборота, если мы не можем его увеличить.
Если мы сделаем две ординарные ставки с коэффициентом 2 и одинаковым перевесом последовательно и оптимально по Келли, то средняя прибыль на двух ставках будет равна

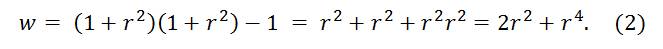
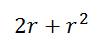
Если мы сделаем ставку экспресс, то его перевес будет

(см. формулу 1), то средняя прибыль от нее будет равна

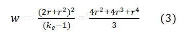
Из сравнения формул (2) и (3), следует, что в первом (достаточном) приближении средняя прибыль с двух ординарных ставок будет равна

То есть средняя прибыль с экспресса будет меньше, чем с двух ординаров, при оптимальных по Келли ставках, где– то на 30%.
Теперь сравним экспоненциальную скорость роста. Пусть перевес каждой ставки будет 5%. Для двух последовательных ординаров экспоненциальная скорость роста равна

Для одного экспресса оптимальная экспоненциальная скорость роста равна

То есть, по экспоненциальной скорости роста один экспресс тоже хуже двух последовательных ординаров.
Есть еще вариант, когда мы делаем ординары не последовательно, а параллельно. В этом случае сумма одновременных ставок будет равна не r а

То есть, чуть меньше. Соответственно и прибыль с двух ставок будет чуть меньше, на тот же делитель, или прибыль будет равна

Этот результат объясним логически. Прибыль уменьшилась потому, что
Вторая ставка в первом случае делается при большем в (среднем)

раз банке.
Сумма каждой ставки во втором случае меньше, так как риск при двух одновременных ставка больше и требуется его слегка 'погасить'.
Теперь вычислим для примера экспоненциальную скорость роста для этого случая. Она будет равна


То есть, две одновременные ставки лучше экспресса, как по средней прибыли со ставок, так и по экспоненциальной скорости роста.
Этого еще недостаточно, чтобы сравнить два варианта: последовательные и одновременные ставки. Чтобы вынести окончательный вердикт, можно было бы посмотреть на вероятности просадки. Но это бы ничего, в сущности, не доказало в отношении сравнения ординаров с экспрессом. Вероятности просадки были бы разными в разных диапазонах перевесов и/или коэффициентов. И однозначное мнение было бы, скорее всего, невозможно определить. Поэтому мы поступим по-другому. В предыдущих абзацах мы коротко рассмотрели результаты двух последовательных ставок ординаров, двух одновременных ставок-ординаров и экcпресса из двух ставок ординаров. А попробуем мы сделать три одновременных ставки : два ординара и их экспресс. Так делается в финансовом менеджере Stake Wizard программы Odds Wizard.
Итак, мы имеем два ординара с коэффициентом 2 и одинаковым перевесом r. Ищем оптимальные суммы трех одновременных ставок : два ординара и их экспресс. Цель: проверить основную теорему Stake Wizard и определить имеет ли смысл для увеличения экспоненциальной скорости роста игрового банка добавлять к двум одновременным ставкам-ординарам еще и их экспресс. Точнее, какая комбинация из трех ставок будет оптимальной (по Келли). Это может нам показать еще одну грань отношений между ординарами с их экспрессом в плане их сравнительной эффективности.
Я намеренно взял для проверки простой и одинаковый для двух ставок коэффициент 2, и одинаковые перевесы r обеих ставок. Это значительно упрощает выкладки, но должно сохранить основные свойства решения, например, решение должно удовлетворять основной теореме Stake Wizard.
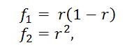
Поскольку оба ординара имеют одинаковый коэффициент и одинаковый перевес, то оптимальные доли для двух ординаров в решении должны быть одинаковыми, в силу симметрии. Поэтому оптимизируемая функция примет вид:

где


– сумма экспресса, как доля банка (коэффициент экспресса равен 4),

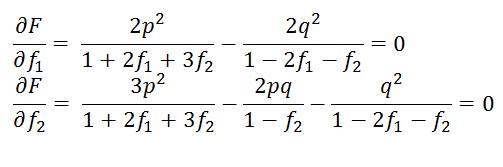
Ищем оптимальное решение. Для этого приравниваем нулю частные производные от максимизируемой функции по искомым суммам (долям )ставок.

Решение этой системы получается из несложных, но длинных выкладок и будет таким, весьма просто выглядящим:

где r – это перевес обеих ставок.
При перевесе в 5% суммы ставок ординаров будут равны по 4.75% от банка, а сумма, которую нужно проставить на их экспресс будет равна 0.25% от банка. В случае одиночного оптимального использования экспресса, его сумма была бы равна около 3.3% от банка.
В основной теореме финансового менеджера Stake Wizard для всех возможных вариантов ставок-ординаров и соответствующих им экспрессов приводится значение максимально возможного (оптимального) роста игрового банка. Мы приведем его выражение не в авторской нотации, а явно обозначив в нем перевес ставок.

Это выражение из теоремы дает максимальный возможный (экспоненциальный) рост банка при одновременном использовании N ставок ординаров, каждая с коэффициентом


а также всех возможных экспрессов с их участием. Теорема Stake Wizard обобщает и усиливает результат оптимизации по Келли для одновременных ставок тем, что допускает при одновременных ставках делать не только сами ординары, но и их всевозможные экспрессы. При этом из существующего набора ставок 'выжимается' максимум того, что из него можно выжать, путем одновременной простановки ставок.
Для двух ставок и их экспресса из нашего примера эту формулу можно проверить, подставив приведенные оптимальные суммы ставок как доли банка в оптимизируемую целевую функцию логарифм роста игрового банка. Сделав это, мы получим выражение в точности соответствующее выражению из теоремы.
Что же это нам дает для сравнения эффективности ординаров по сравнению с экспрессами. А вот что. Во-первых, можно заметить, что формула максимально достижимого (экспоненциального) роста игрового банка из теоремы Stake Wizard удивительно похожа на другую формулу, не просто похожа, а просто совпадает. Она совпадает с формулой оптимального (максимального) экспоненциального роста игрового банка для последовательной простановки только ординаров. Под последовательной простановкой ставок имеется в виду то, что прежде, чем сделать следующую ставку, Вы ждете результатов предыдущей ставки, и рассчитываете эту ставку с учетом результатов предыдущей ставки. Когда я впервые эту формулу (Stake Wizard) увидел, то в силу указанного выше совпадения, даже засомневался в ее справедливости. Для того, чтобы увидеть их идентичность, запишем эту формулу немного о другому:

оптимальная сумма ставки для одиночной простановки ординара с перевесом


Таким образом, мы можем получить один и тот же результат, если будем либо ставить только ординары последовательно, либо будем ставить ординары и их всевозможные экспрессы одновременно. Одинаковый результат в том смысле, что оптимальный экспоненциальный рост банка будет в этих двух разных случаях одинаковым. Это означает что, если мы имеем возможность проставить два ординара один после завершения другого, то никакой дополнительный экспресс нам не нужен.
Сведем результаты воедино. Пусть мы имеем два ординара с одинаковым коэффициентом 2 и одинаковыми положительными перевесами. Перевесы находятся в разумных пределах (то есть, не экстремально большие). На самом деле одинаковость коэффициентов и перевесов, я думаю, не играет особой роли, но поскольку результаты получены при этих условиях, то мы их оговариваем. Получается, что
Если мы имеем возможность проставить два ординара последовательно, то есть, второй ординар ставится после завершения первого и с учетом его результатов, то это будет самый оптимальный способ использования этих двух ставок. То есть, не нужно никаких экспрессов.
Несмотря на больший перевес экспресса, его оптимальное, но отдельное использование дает меньшую экспоненциальную скорость роста (Келли) и меньшую среднюю прибыль с экспресса (не с оборота, так как оборот определяется критерием оптимальности) по сравнению, как с последовательной простановкой ординаров, так и по сравнению с одновременной простановкой ординаров. То есть, вариант, где просто используются экспрессы, вместо ординаров, не приводит к увеличению эффективности ставок игрока, а наоборот, уменьшает ее.
Одновременная простановка двух ординаров оптимальным образом дает несколько худшие (при небольших перевесах отличные лишь в четвертой значащей цифре) результаты, чем последовательная оптимальная простановка ординаров.
Если мы не имеем возможности проставить ординары последовательно, то добавляя к двум одновременным ординарам еще и экспресс, мы можем довести эффективность такой комбинации до эффективности двух последовательных ординаров (следует из теоремы Stake Wizard). В этом случае вместо двух последовательных ставок-ординаров мы будем делать три одновременных ставки: два ординара и их экспресс с суммами, которые определяются в результате решения задачи оптимизации для этой комбинации ставок (как в критерии Келли). То есть, экспресс имеет смысл только в данной комбинации ставок, когда проставляется одновременно с ординарами. Но для небольших перевесов эта дополнительная ставка-экспресс улучшает значение фактора роста игрового банка лишь в третьем-четвертом знаке. То есть улучшения для реальных перевесов будет почти неощутимо.
Для коэффициентов не равных 2, который использовался выше для иллюстрации сравнения ординаров и экспресса, сравнительная эффективность экспресса и двух ординаров всегда меньше 1 (экспресс всегда хуже) и дается следующей (ниже) таблицей. Эффективность экспресса (по сравнению с двумя ординарами) дается формулой = 2/(k+1).

Из таблицы видно, что на маленьких коэффициентах экспрессы почти также эффективны, как ординары.
Изложенные выше выводы справедливы для случая, когда сравниваются различные варианты ставок на основе критерия Келли, то есть когда Вы максимизируете экспоненциальную скорость роста игрового банка. Хотя критерий Келли редко используется при игре (в силу трудностей его применения), он может быть использован для подобного рода оценок.
Заключительное замечание. Формулы показывают, что два последовательных ординара лучше (оптимальнее) двух одновременных ординаров, которые в свою очередь оптимальнее экспресса из этих двух ординаров. Как говорится, формулы формулами, они могут неточно описывать ситуацию. Но все же почему это так, почему получились такие выводы? На мой взгляд, это можно логически обосновать еще так. В случае двух последовательных ординаров вторая ставка делается при наличии большей информации – результат первой ставки известен, известен и реальный банк после нее. Тогда как два одновременных ординара и экспресс делаются при наличии меньшей информации. Эта дополнительная информация при двух последовательных ординарах и позволяет им получить преимущество над одновременным использование ординаров, как в форме одновременной простановки двух ординаров, так и их использования в форме экспресса. Экспресс, в свою очередь, дополнительно теряет свой потенциал из-за того, что в некоторых случая одна не выигранная ставка уничтожает результат, другой, сыгравшей ставки (это отметил, в частности, Pirozavr [4]). И этот эффект не покрывает того положительного момента, что в случае обеих сыгравших ставок, вторая ставка срабатывает при уже увеличенной сумме ставки экспресса. Впрочем, это только слова, реальные соотношения определяются вышеприведенными формулами и таблицами, если Вас удовлетворяют условия, при которых они получены.
Букмекерские конторы часто поощряют использование экспрессов путем предоставления на них бонусов. Хотя с другой стороны некоторые игроки жалуются, что конторы не принимают у них короткие экспрессы на низких коэффициентах. Как мы выяснили, для выигрышных игроков использование экспрессов снижает эффективность игры и это хорошо для букмекерских контор. Для проигрышных игроков, которых гораздо больше экспрессы, соответственно, снижают скорость потери банка, что является минусом для БК. Но в любом случае они, по-видимому, являются 'стабилизирующим' (меньше выигрываем, но меньше и проигрываем) фактором для БК, что является полезным для них свойством. Это только мое предположение, основанное на результатах анализа.
Разгон или горизонтальный экспресс
Термин разгон для этого вида ставок был введен в ставках на спорт игроком под ником Pirozavr. Он же является разработчиком его вариантов и популяризатором. Другие названия этого же метода: накат, экспресс во времени, горизонтальный экспресс. Коротко суть этой ставочной (финансовой) стратегии можно выразить так: вся сумма, которая выиграна на предыдущей ставке переставляется снова на следующую ставку, которую мы делаем. Как отмечает Pirozavr, впервые эта стратегия описана Ф.М.Достоевским в знаменитом романе «Игрок».
Pirozavr описал схемы различных вариантов применения этой идеи для конкретных вариантов стратегий, которые основываются на этом простом принципе. Они называются 'банкир', ‘танковая атака’, ‘модифицированный разгон’. Наверное, существуют и другие варианты.
Те кто, не хочет вдаваться в подробности анализа этой финансовой стратегии, могут сразу перейти в конец раздела для чтения основных выводов. И тем, кто пойдет сразу в конец раздела за выводами и тем, кто будет читать дальше, полезно познакомиться с каким-либо более подробным описанием разгона, например на сайте stavochka.com, или в книге Ставки, гарантирующие успех.
Как сообщает Pirozavr, разгон имеет прямое отношение к так называемому Санкт-Петербургскому парадоксу (с ним можно ознакомиться, например, в Википедии). Он говорит, что этот парадокс и есть метод разгон. Процедура получения выигрыша в парадоксе действительно похожа на процедуру получения выигрыша в разгоне. Но не более того. Процедуры проигрыша ставки в парадоксе нет, а если ее ввести формально, то все существенно изменится. Дело в том, что игра Санкт-Петербургского парадокса имеет бесконечное математическое ожидание выигрыша. А разгон, в случае отсутствия в ставках перевеса (перевес = 0), имеет такое же математическое ожидание, как и любая другая финансовая (ставочная) стратегия, а именно – ноль. Так что этот парадокс не дает математических причин предпочесть стратегию разгон другим стратегиям, связанным со сравнением среднего банка в конце игры. Но особенности у этой стратегии несомненно есть. Об этом речь далее.
Кроме того, существуют нематематические причины, по которым любители разгона рекомендуют его применять. Например, такие резоны (приводятся в соответствии с описанием разгона, данным Pirozavr-ом):
В разгонный экспресс можно вставлять ставки, которые запрещены для экспрессов правилами конторы.
Разгон можно продолжать в разных конторах, выбирая наибольший коэффициент, чего невозможно сделать в случае обычного экспресса.
Разгон можно делать на биржах ставок, где применение обычных экспрессов весьма ограничено.
К математике самой стратегии эти резоны никакого отношения, понятно, не имеют. Но они могут повысить качество (перевес) Ваших ставок, то есть, отличают в лучшую сторону эту стратегию от условий применения обычного экспресса. Правда, они не дают преимуществ, если разгон сравнивать не с экспрессом, а с ординарами, а также с любыми другими стратегиями, построенными на ординарах.
Посмотрим на разгон подробнее. Как я уже говорил в других параграфах, посвященных теме финансовых стратегий, хотя критерий Келли редко и не полностью применяется на практике, но, тем не менее, он может быть использован для анализа различных ситуаций. Для простоты вычислений начнем сначала анализировать разгон с применением ординаров с одинаковым коэффициентов 2 и одинаковым перевесом, скажем 5%. Первую ставку делаем оптимально – равной 5%. После первой удачной ставки сумма следующей ставки по критерию Келли должна увеличиться на немного, и стать равной где-то 5.25% от первоначального банка (5% от текущего). В соответствии в немодифицированным разгоном мы должны были бы делать ставку размером в 10.25% от первоначального банка (9.5% от текущего). Но это слишком 'агрессивно', это слишком большая сумма ставки. При такой сумме ставки, если ее делать все время или часто, риск просадки банка неразумно растет, по сравнению с риском предыдущей суммой ставки. Сумма оптимальной ставки, при которой мы имеем наибольшую вероятность получить лучший банк (сумма по Келли) равна все также 5% от банка. Более того, многие и сумму ставки по Келли считают неразумно большой и рискованной. Что уж говорить про почти вдвое большую сумму.
Но тут как говорят. Один из аргументов (Pirozavr) за разгон это то, что в одном и том же успешном потоке разгона игрок рискует лишь первоначальной ставкой. Таким образом, несмотря на то, что при разгоне мы можем делать ставки размером значительно больше оптимального, разумного, рискуем то мы только суммой первоначальной ставки, то есть значительно меньшей суммой. Распространив эту аргументацию на все одновременные разгоны, мы получим, что, оказывается, мы рискуем не всей суммой ставок разгонов, а только той ее частью, которая взята из первоначального банка. Ну а той частью банка, которую мы до сих пор выиграли (и которая у нас уже есть), мы вовсе не рискуем. Ведь до начала игры у нас этой суммы не было, а мы не можем рисковать тем, чего у нас не было (но, правда, появилось). Вот такая может быть интересная, логическая аргументация. Эта аргументация может быть продолжена, например, так. Если мы не рискуем уже выигранной суммой, то мы рискуем одинаково, делаем ли мы ставку в длинном разгоне, который разогнали с $10 до $100 и в коротком потоке, который успели разогнать только до $20. Ведь и в том и другом случае мы рискуем (по словам последователей разгона) только первоначальной ставкой, которая одна и та же для обоих разгонов. Это слишком очевидно противоречит теории, но здравому смыслу это может понравиться. Также возникает тезис, что, несмотря на небольшой риск (ничего не теряем от того, что было до начала ставок), игрок, тем не менее, будет испытывать ‘эмоциональное напряжение при ставке больших сумм’ (Pirozavr). Кроме того, сами разгонщики наверняка будут ставить в длинный разгон более ‘надежные’ ставки, чем в короткий разгон, тем самым опровергая свою логическую установку на равенство обоих рисков. Это особенно очевидно, когда разгон продвигается с помощью ставок на небольшие коэффициенты. К тому же, желание установить, так называемые, страховочные отчисления в модифицированном разгоне, в значительной степени опровергает даже и саму уверенность разгонщиков в том, что они говорят относительно того, чем рискует игрок в потоке разгона. Таким образом, утверждение, что в разгоне ‘игрок рискует лишь первоначальной ставкой’, является ложным со стороны теории и сомнительным со стороны здравого смысла.
Еще одним аргументов за разгоны считается тот факт, что конторы не любят большого количества длинных экспрессов как таковых, и даже ограничивают количество событий в них. Но, в таком случае, зачем они предлагают бонусы на экспрессы, например бонус в 5% на экспресс с коэффициентом более 10 и еще большие бонусы за экспрессы с большими коэффициентами (не буду рекламировать конкретную букмекерскую контору, где были такие условия). Явно что-то не то с этим аргументом. Более того, играя разгоном, мы теряем возможность получить эти бонусы, что является нематематическим минусом этой стратегии.