

Владимир Шлома
Моделирование канала коротковолновой радиосвязи
Информация о научной работе
Реферат: В работе предложена методика расчета отношения сигнал/шум для заданных трассы КВ радиосвязи, времени года и времени суток, с использованием оперативного прогноза станций ИЗМИРАН для определения напряженности поля сигнала в заданной точке приема.
Поскольку напряженность электрического поля помехи в точке приема в соответствии с МСЭ-R P.372-9 определяется для условной антенны симметричный вибратор, находящейся в свободном пространстве, а на практике имеем дело в основном со штатными для приемных центров антеннами ВГД, выведены формулы для пересчета мощности помехи, рассчитываемой в соответствии с МСЭ-R P.372-9 для условной антенны, в мощность помехи, принимаемой реальной антенной ВГД.
Рассмотрены различные способы моделирования помехи с огибающими, распределенными по нормальному, логнормальному и полунормальному законам распределения, проанализирована возможность и адекватность их применения, даны рекомендации по их применению.
Разработана программа KVkanal для Matlab, приведенная в приложении А, в которой вычисляется отношение сигнал/шум для каждой из действующих помех и для суммарной помехи, а также мощность помехи, которую требуется создавать при моделировании КВ радиоканала. Инструкция по работе с программой KVkanal приведена в приложении Б.
Депонировано №122/В217 от 05.10.2017 г. в Федеральном государственном бюджетном учреждении науки Всероссийский институт научной и технической информации Российской академии наук (ВИНИТИ РАН), г. Москва.
Ключевые слова: радиосвязь, коротковолновая радиосвязь, канал связи, напряженность поля, диаграмма направленности, симметричный вибратор, закон распределения, мощность помех, мощность сигнала.
Abstract: In work the design procedure of the relation a signal/noise for set lines КВ of a radio communication, a season and time of days, with use of the operative forecast of stations IZMIRAN for definition of intensity of a field of a signal in the set point of reception is offered.
As intensity of electric field of a hindrance in a reception point, according to
МСЭ-R P.372-9, is defined for the conditional aerial the symmetric vibrator which are in free space, and in practice we deal basically with regular aerials VGD for the reception centres, formulas for recalculation of capacity of the hindrance counted according to МСЭ-R P.372-9 for the conditional aerial, in capacity of the hindrance accepted by real aerial VGD are deduced.
Various ways of modelling of a hindrance with bending around, distributed on normal are considered, логнормальному and to seminormal laws of distribution, possibility and adequacy of their application is analysed, recommendations about their application are given.
Program KVkanal for Matlab, resulted in appendix A in which the relation a signal/noise for each of operating hindrances and for a total hindrance is calculated, and also capacity of a hindrance which is required to be created at modelling КВ of a radio channel is developed. The instruction on work with program KVkanal is resulted in the appendix Б.
Key Words: radio communication, short-wave radio communication, communication channel, intensity of a field, the orientation diagramme, the symmetric vibrator, the distribution law, capacity of hindrances, capacity of a signal.
Введение
Для прогнозирования качества работы канала КВ радиосвязи или для оценки качества работы вновь разработанных средств радиосвязи без проведения натурных испытаний требуется моделировать такой канал радиосвязи с помощью ПЭВМ. В настоящее время такое моделирование можно осуществлять с использованием данных сети ионосферных станций ИЗМИРАН.
Пример оперативного прогноза станций ИЗМИРАН приведен на рис. 1.

Рисунок 1. Пример оперативного прогноза.
Для прогнозирования качества КВ радиосвязи нужно оценить прогнозируемое отношение с/ш на входе приемника, для чего нужно знать напряженности электрического поля сигнала и помехи в точке приема.
Напряженность электрического поля сигнала определяется по таблицам 1 и 2 из рисунка 1 для выбранной рабочей частоты, которая должна выбираться как можно ближе к максимально применимой частоте (МПЧ) для обеспечения минимального затухания сигнала. При применении направленных антенн понадобиться также угол прихода сигнала для определения коэффициента усиления антенны. Будем считать, что в точке приема используется направленная на корреспондента стандартная для приемных центров России антенна Надененко ВГДШ c длиной плеча

Напряженность электрического поля шума в точке приема определяется в соответствии с рекомендациями МСЭ-R P.372-9 [3]. Основными видами шума в КВ диапазоне являются промышленные помехи, атмосферные помехи за счет удаленных грозовых разрядов и галактический шум. Тепловые шумы в этом диапазоне вносят незначительный вклад и их можно не учитывать.
По предлагаемой ниже методике рассчитывается отношение сигнал/шум на входе приемника в заданной точке приема для заданного времени года и времени суток. На основе полученного отношения сигнал/шум производится моделирование канала КВ радиосвязи для заданной трассы и заданного времени работы.
Расчет отношения сигнал/шум на входе приемника

Отношение с/ш обычно обозначается , и вычисляется по формуле:

где Рс – мощность сигнала на входе приемника;
Рп – мощность шума (помехи) на входе приемника.
Зная напряженность поля сигнала в точке приема Ес и параметры приемной антенны, по формулам, приведенным в [2], можно определить напряжение сигнала Uс на входе приемника:

(1)
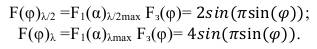
где F(φ) – функция направленности антенны в вертикальной плоскости;
Ra – волновое сопротивление антенны;
Rf – волновое сопротивление фидера;

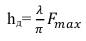
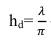
– действующая длина антенны,
где Fmax – максимальное значение функции направленности.
Соответственно мощность сигнала будет определяться по формуле:

Напряжение помехи рассчитывается по формулам, приведенным в [3] для симметричного полуволнового вибратора в свободном пространстве, то есть, без учета влияния земли. Поскольку в качестве приемной антенны у нас используется симметричный вибратор с характеристиками от полуволнового до волнового и высотой подвеса h=λ/2, диаграмма направленности которого отличается от диаграммы направленности полуволнового вибратора в свободном пространстве, нужно определить коэффициент для пересчета напряжения шума. Для этого сравним диаграммы направленности полуволнового и волнового симметричных вибраторов.
Функция направленности симметричного вибратора, находящегося в свободном пространстве в плоскости, проходящей через ось вибратора записывается в виде [2]:

(2)
где k=2π/λ – волновое число;
– длина плеча вибратора в частях длины волны λ;
α – угол в радианах, отсчитываемый от оси вибратора.
Поскольку для полуволнового симметричного вибратора =λ/4, то для него функция направленности запишется:

(3)
Максимальное значение F(α)λ/2max=1 при α=π/2.
Функцию направленности в плоскости, перпендикулярной оси вибратора можно записать:

(4)
Для волнового симметричного вибратора =λ/2 и функция направленности будет иметь вид:

(5)
Максимальное значение F(α)λmax=2 при α=π/2.
Функцию направленности в плоскости, перпендикулярной оси вибратора можно записать:

(6)
Влияние земли на диаграмму направленности антенны учитывают с помощью формулы [2]:

(7)
где ko – коэффициент отражения от земли, примем ko=1;
h=λ/2 – высота подвеса антенны;
β – сдвиг фаз между антенной и ее зеркальным отражением, для горизонтальных антенн β=180о;
φ1 – угол, отсчитываемый от вертикали.
Тогда

(8)
После перехода к дополнительному углу φ=90о-φ1, отсчитываемому от поверхности земли, будем иметь:

(9)
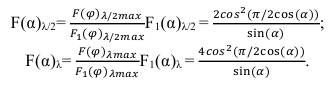
Тогда функции направленности полуволнового и волнового вибраторов в вертикальной плоскости можно записать:

(10)
(11)
Максимальные значения этих функций будут F(φ)λ/2max=2 и F(φ)λmax=4, при двух значениях углов φ=30о и φ=150о.


Максимальные значения функций направленности в плоскости вибратора и в плоскости перпендикулярной оси вибратора должны быть равны. Если максимальное значение функции направленности в плоскости перпендикулярной оси вибратора увеличилось в
раз, то и в плоскости проходящей через ось вибратора и расположенной под углом к горизонту, соответствующему максимальному значению функции направленности в плоскости перпендикулярной оси вибратора, максимальное значение
увеличилось в
раз. Поэтому, функции направленности в плоскости проходящей через ось вибратора и расположенной под углом
φ
=30
о
к горизонту, то есть плоскости, проходящей через середину одного из двух лепестков диаграммы направленности, нужно пересчитать по формулам:

(12)
(13)
В дальнейшем приведенные выше функции направленности (12) и (13) будем считать функциями диаграммы направленности в горизонтальной плоскости.
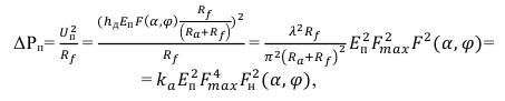
Мощность помехи, приходящей с некоторого направления под углами α и φ будет определяться по формуле:

(14)
где Uп – напряжение помехи на входе приемника;

– действующая длина антенны;
Ra – волновое сопротивление антенны;
Rf – волновое сопротивление фидера;
Eп – напряженность поля помехи в точке приема;

– коэффициент пропорциональности;

– функция направленности антенны;

– нормированная функция направленности антенны;
Fmax – максимальное значение функции направленности антенны.
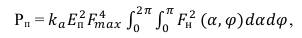
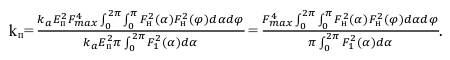
Будем считать, что помеха принимается антенной со всех направлений верхней полусферы с одинаковой интенсивностью, фазы случайны и равновероятны. Тогда мощность принимаемых помех будет суммой элементарных мощностей ΔРп, то есть интегралом по полусфере:

(15)
где

(16)
где

– нормированная функция направленности в горизонтальной плоскости;

– нормированная функция направленности в вертикальной плоскости.
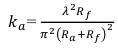
Мощность помех, принимаемых из верхней полусферы эквивалентной антенной (симметричным полуволновым вибратором в свободном пространстве), для которого Fн(φ)=1 и Fmax=1, будет вычисляться по формуле:

(17)
Чтобы перейти от мощности помех в эквивалентной антенне к мощности помех в реальной антенне, введем коэффициент пересчета, определяемый как:

(18)
Тогда мощность помехи в реальной антенне будет вычисляться по формуле:

(19)
Подставив в формулу (18) значения Рп и Рпэ из (15) и (17), получим выражение для вычисления коэффициента пересчета:

(20)
Вычислим значения коэффициентов пересчета для двух реальных антенн с высотой подвеса над землей h=λ/2, полуволнового симметричного вибратора и волнового симметричного вибратора.


Расчет напряжения промышленных и галактических помех и отношения сигнал/шум на входе приемника
Медианные значения коэффициентов промышленного и галактического шума приведены на рис. 10 в рекомендациях МСЭ-R P.372-9 [3]. Для получения этих значений также можно воспользоваться следующей формулой [3]:

(21)
где f – рабочая частота в МГц;
c и d – коэффициенты, приведенные в таблице 1.
Таблица 1. Значения параметров

В таблице для примера приведены коэффициенты только для тех категорий окружающей среды, в которых размещаются приемные центры. В таблице также приведены децили коэффициента шума относительно медианного значения и соответствующие среднеквадратические отклонения, рассчитанные по формуле (22) для верхней децили.
Верхняя дециль Du соответствует случайной величине, не превышаемой в течение 90% времени.
Нижняя дециль Dl соответствует случайной величине, не превышаемой в течение 10% времени.
Среднеквадратическое отклонение σ соответствует случайной величине, не превышаемой в течение 84% времени.
Медианные значения коэффициентов промышленного и галактического шума Fппm и Fпgm рассчитываем по формуле (21), причем для галактического шума только для частот f≥10МГц.
Среднеквадратическое отклонение коэффициента промышленного шума от медианного значения σ определяется по графику интегральной функции распределения или по формуле:

(22)
или можно взять из таблицы 1 уже рассчитанное, а для галактической помехи, в соответствии с таблицей 1, σ=1,56 (дБ).
Медианное значение напряженности электрического поля помехи в точке приема для эквивалентной антенны, которой является симметричный горизонтальный диполь длиной λ/2, находящийся в свободном пространстве, то есть, без учета влияния земли, будет определяться по формуле:

(23)
где f – рабочая частота в МГц;
b – полоса пропускания приемника в Гц.
Переходя от (дБ) к (мкВ/м) получаем:

(24)
Подставляя в формулу (23) вместо Fa(дБ) значения Fппm и Fпgm, а затем переводя в (мкВ/м) по формуле (24) вычисляем медианные значения напряженности электрического поля промышленных и галактических помех Eппm и Eпgm в точке приема для эквивалентной антенны.
Аналогично по формуле (23) определяем среднеквадратическое отклонение напряженности поля промышленных помех σЕп и галактического шума σЕg в (дБ/мкВ/м) от медианных значений подставляя вместо Fa(дБ) соответствующие значения σ, а затем переводя в (мкВ/м) по формуле (24). Определяем коэффициенты пропорциональности k для промышленной и галактической помехи как отношение среднеквадратических отклонений от медианных значений к медианным значениям:

(25)
Определяем действующее значение напряженности поля промышленной и галактической помех Eпп и Eпg в точке приема по формуле:

(26)
Напряжение помех на входе приемника при эквивалентной антенне определяется по формуле [2]:

(27)
где Ra=300 Ом – волновое сопротивление применяемой антенны;
Rf=200 Ом – волновое сопротивление применяемого фидера;
Ea=Eп×hd – э.д.с, наводимая в эквивалентной антенне,
где Eп – напряженность поля атмосферной помехи в точке приема (формула 26);

– действующая длина эквивалентной антенны,
где λ –длина волны излучения.
Несложно показать, что для реальной антенны напряжение помехи будет определяться по формуле:

(28)
(29)
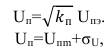
где Uпm – медианное значение напряжения помех;
σU – среднеквадратическое отклонение напряжения помех от медианного значения.
Вычисляем напряжение промышленных помех и галактического шума на входе приемника Uпп и Uпg подставляя в формулы (27) и (28) соответствующие значения.
Поскольку между величинами Uп и Eп имеется линейная зависимость (формулы (27) и (28)), то из формулы (25) имеем:

(30)
Тогда медианное значение напряжения помехи Uпm можно вычислить по формуле:

(31)
Соответственно, среднеквадратическое отклонение напряжения помехи от медианного значения будет определяться:

(32)
Подставляя в формулы (31) и (32) соответствующие значения, находим медианные значения Uппm и Uпgm, и среднеквадратические отклонения от медианных значений σUп и σUg амплитуды огибающей промышленных помех и галактического шума.
Напряжения огибающих промышленных помех и галактического шума распределены по нормальному закону с медианными значениями Uппm и Uпgm, и среднеквадратическими отклонениями огибающей от медианных значений σUп и σUg.
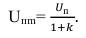
Находим отношение с/ш на входе приемника, подключенного к антенне симметричный полуволновой вибратор:

(33)

где – функция направленности антенны в вертикальной
плоскости (10),
где φ – угол прихода сигнала, отсчитываемый от поверхности земли (рад).
Находим отношение с/ш на входе приемника, подключенного к антенне симметричный волновой вибратор:

(34)

где – функция направленности антенны в вертикальной плоскости (11),
Расчет напряжения атмосферных помех и отношения сигнал/шум на входе приемника
В рекомендациях МСЭ-R P.372-9 [3] на рис. 15а – 38а изображены карты мира, на которых приведены ожидаемые медианные значения коэффициента фоновых атмосферных радиошумов Fam(дБ) выше kT0b, на частоте 1 МГц для каждого времени года при 4-часовых временных блоках, время местное, где:

k – постоянная Больцмана = 1,38×10
–23
Дж/K;
T0 – эталонная температура (K), принятая равной 290 K;
b – ширина полосы приемной системы на уровне мощности шума (Гц).
На рис. 2 приведен пример такой карты [3].
Рисунок 2. Пример карты
Изменение Fam с частотой для каждого блока сезон-время можно видеть на рис. 15b – 38b [3], а изменение других параметров шума в зависимости от частоты – на рис. 15с – 38с [3]. В качестве эталонной антенны для этих атмосферных помех примем горизонтальный симметричный полуволновой

Рисунок 3. Пример рисунков b и с.
Расчет атмосферного шума следует начинать с определения по рис.1 даты и времени сеанса связи и координат точки приема. Далее в рекомендациях МСЭ‑R P.372-9 [3] находим карту мира и графики «b» и «с», соответствующие требуемому сезону и времени суток в точке приема. По координатам точки приема определяем значение Fam(дБ) на частоте 1 МГц. По графику «b» определяем медианное значение Fam(дБ) для выбранной рабочей частоты, а по графику «с» – значение стандартного отклонения σFam(дБ) для выбранной рабочей частоты.
Определяем значение коэффициента шума Fa(дБ) для выбранной рабочей частоты:

(35)
Определяем по формуле (23) медианное значение напряженности электрического поля Епаm(дБ/мкВ/м) атмосферной помехи в точке приема для
симметричного горизонтального диполя длиной λ/2 и переводим в (мкВ/м) по формуле (24).
По графикам «с» находим медианное отклонение напряжения Vdm(дБ) и его стандартное отклонение σVd(дБ) при b=200 Гц.
Находим отклонение напряжения от медианного значения Vd для b=200 Гц

(36)
По графику, приведенному в рекомендациях МСЭ-R P.372-9 рис.40 находим отклонение напряжения от среднего значения для заданной полосы пропускания Vdb(дБ).