

Маркус Абогеон
Как читать мир
Предисловие
Данная книга создана чтоб читатель мог разобраться в физическом устройстве. так как в современном мире информации много про мир наш именно физического то люди начали изучать материал кусками и целенаправленно для определённой работы, например, физики ядерщики физику ядра.
Чтоб людям, которым не нужна специальная профессиональная образование, но которые хотят знать простые законы и правила необходимые просто чтоб иметь представление об этом мире чтоб можно было прочитать его.
ну или, когда вас ваш внук спросит почему всё так, а не иначе чтоб вы могли дать ему короткий прямой правильный ответ.
Мы будем идти от простого к сложному, то есть мы начнём с того что будем простые повсеместные законы разбирать и углублялся до тех пор, пока не дойдем до истины и в конце объединим всё то что мы нашли в одну простую мою схему.
Зная физику люди изобрели почти что всё что вас окружает благодаря физике, мы можем летать плыть ездить и много другого так что вклад физики невозможно переоценить.
Работа не претендует на то чтобы его звали научной или авторской то что я буду писать уже давно есть в интернете свободном доступе я лишь тот человек, который облегчит вам работу и даст то что надо, но на все сто процентов уверить в то что вы станете читать после этой книги мир я не могу. Каждый понимает по-своему я даю лишь интерес, к физике, который есть у меня и можете после прочитанной книги пойти и учится дальше более глубоко. Так как мы будем разбираться в том, как читать мир то нам понадобится не только физика хотя я всё называю физикой нам также понадобится математика геометрия философия и другие науки.
Введение
Физика – это наука о не живой природе. она нам простым языком даёт объяснение процессов, происходящих в этом мире.
самое главное тут это процессы чуть ниже разберёмся что это такое.
смотря на мир обычный человек не думает на что он или, она смотрит, но там дальше вашего понимания происходят миллиарды процессов. одно переходит в другое то что было того уже нет и наоборот.
но у всего есть свой фундамент у каждого процесса называемые законами. Законы природы это самое гениальное до чего додумался человеческий разум пару строчками объяснить колоссальное количество информации проводимая природой на которое тратится колоссальная энергия. Законы, которые не удаются человечеству доказать называют теориями, а теория без доказательства гипотезой.
Каждый объект в этом мире взаимосвязана такой вселенской единицей как энергия, которая передаётся от одного объекта к другому как возмущение материи.
Всё что нас окружает состоит из материи одного вида материи называемая веществом.
материя бывает не только в обычном виде, в который мы обычно и видим свами в повседневном мире, но и ряд других гораздо более таинственные виды, например, тёмная материя.
Всё что есть в физике работает благодаря одному фундаменту разбираясь в котором вы можете читать этот мир и главное запомните физика – это язык природы, а математика физики.
Глава 1. Точка и движение
Есть такая легенда сидел как-то мужчина под деревом и упала на его голову яблоко зная эту легенду можно объяснить половину классической физики. Так попытаемся это сделать.
В падении яблоко есть много факторов которых мы будем разбирать по порядку.
яблоко что у нас такое? Давайте представим следующее. На наш прекрасный и красочный мир наденем белую клетчатую бумагу уберём всё ненужные детали выровняем и останется только лист клетчатой бумаги дерево с яблоком.
Уберём и дерево с веткой останется только яблоко уберём и яблоко, и место неё поставим точку.
из всего выше сказанного выходит то что есть точка и чистый клетчатый лист бумаги
точка объект, а лист наш свами мир.
Точка стоит в этом мире, в котором пока что кроме точки ничего нет так как кроме точки ничего нет и нет сил которые могли повлиять на эту точку и энергии выходит она абсолютно покоится.
В настоящем мире не может быть никого абсолютного покоя бывает только естественный покой.
Под абсолютным покоем я подразумевают тот объект, а в данном случае точка которая покоится так что на него не действуют не какие силы.
Абсолютным покоем называется вид без движения объекта(материи) как в классическом мире, так и в квантовом.
То есть нет ничего кроме точки точку можно назвать объектом только в том случае если есть движение. Если нет движения в классическом мира, но есть материя, то есть движение в квантовом то такой покой естественный.
Мы для простоты решения задач в школе формальную логику отключаем.
Такие понятия как квантовый мир абсолютный и естественный покой мы опускаем и берём за основу не существующиеся в реальном мире абсолютный покой для простоты решения задач.
Также в логике не бывает такого чтобы у одной формальности не было другой противоположный ему. Например, у покоя это движение.
Это вовсе не противоположенные понятия в реальном мире вовсе не бывает покоя в физике есть только формальное значение момента в языке.
Но их можно считать токовыми только потому что одно взаимно исключает другое.
Покой, которого нет на самом деле порождается движением.
И из-за того, что люди не приспособлены замечать покой это не означает его отсутствие есть покой бытия, но в данном случае нет объектов, за которыми можно наблюдать и считать это процессом.
Покой такое понятие, которое есть и нет одновременно она относительна сущности бытия.
Всё находится в покое и движении одновременно.
Объяснить можно так: машина едет с определённой скоростью по трассе. Относительно трассы и наблюдателя машина движется, но относительно водителя она находится в покое.
Уменьшаясь до уровня атома где также происходит движение электрона относительно ядра внутри в ядре также происходит движение и так до пустоты, которая покоится.
Разберём на примере фотон без массовая частица которое находится постоянном движении, но стоит только его остановить так она сразу умрет. То есть она относительно пустоты движется стоит ей остановится так она сразу станет пустотой ещё один факт связи пустоты и движения как взаимно исключающих факторов. Мы про смерть фотона в другой главе разберём.
Покой и движение связанны и взаимно отрицательные понятия.
Точка которая находится на листе бумаги олицетворяет собой объект, а лист собой олицетворяет мир. Мир существует только тогда, когда есть этот объект.
Без процесса нет ничего, то есть абсолютная пустота. Процессом является наша точка так как точка олицетворение объекта, а любой объект состоит из материи и энергии.
Наш мир создается вокруг объекта без объекта и необходимости в мире нет, то есть пространстве. Единственная структура, которая объединяет всё во вселенной это поля нет полей нет и материи с энергией. в нашем случае точку связать с листом с нашим миром можно в том случае если она влияет на поля данного мир. Зная то что, точка влияет на поля данного мира, мы можем сказать, что она именно в этом мире, а не другом мы просто такие понятия опускаем задача простая должна быть и без лишней воды. Но мы же хотим читать мир чтоб читать надо подробно знать детали этого мира.
Пустота не может быть миром в понимании вселенной. понятия мира можно уместить в данную точку если нет поля, то нет и мира за пределами этой точки.
Можно разобрать на примере: взять абсолютный вакуум, то есть такой вакуум в которой нет ничего не материи не энергии не полей нет даже фотонов. В этот вакуум (пустота) помешаем нашего космонавта. космонавт ничего не видит вокруг него только бесконечная пустота. В его понимании мир существует только вокруг него, но на самом деле миром является только он сам. И аура поля создаваемое им разные виды излучения и другие. Дальше ауры мира уже не существует есть пустота.
В случае листа и точки миром является чистый лист как мы уже говорили, но уточняя данную запись утвердим следующее то что лист не может быть миром из-за того, что пустота не может быть миром. Значит всегда, когда мы берём лист бумаги мы подразумеваем поле, на которое оно распространяется. По логике из-за этого на схемах и рисунках искривление пространства и времени отображается как сетка с впадиной. Чтоб облегчить себе работу мы эти выводы опускаем.
В мире не может быть точки на листе да. Точка всегда должна иметь какие-то характеристики. В любом случае в задаче должна быть движение так как процесс это и есть движения без движения нет мира и жизни. Теперь, когда вы будете наблюдать стоячие объекты знайте, что там есть движение вы просто не видите этого если объект взять и остановить, то этот объект исчезнет. Прекратится его существование так как без движения есть пустота потому что без движения нет материи.
Движение – это любое изменение, которое происходи во всём в материи в любых объектах. также движению равносильно энергия. Энергия и есть определённый вид движения.
мы разбираем то как яблока падает на голову человека это действие происходит, а реальном классическом мире всё простые характеристики разбирает наука механика.
Механика – это наука раздел физики, изучающий движение изменение тел или их частей относительно времени или других тел также взаимодействие материальных тел между собой.
Собственно, нам надо узнать, что такое движение в механике.
Движение в механике – это изменение тел относительно других тел с течением времени.
Есть точка чтоб хоть что-то получилось мы должны добавить на бумагу расстояние и движения. Всегда, когда есть движения есть и расстояние.
Расстояние – это векторное физическая величина показывающий изменения положения тела от точки А до точки Б. У любого вида движения есть свое направление.
Направление – это векторная величина показывающее движением тела в ту или иную сторону.
В нашем случае объект подает вниз, а объект у нас яблоко.
Вектор – это величина, олицетворяющий сторону движения тела. Обозначается стрелкой, которая остриём повернута в сторону направления движения, а хвостиком против движения.
Так у нас в задаче яблоко весит на ветке и падает вниз направление к центру Земли. Вектор соответственно будет направленно туда же.
Расстояние в случае падения яблока на голову будет от точки отрыва ножки яблока от ветки и точки приземления мы для облегчения дальше головы не разбираем вот первый контакт с головой и будет точкой Б, а точка отрыва от ветки точкой А.
Движения яблоко совершает по прямой линии для упрощения возьмём прямую. Так мы вышли до видов движения.
Виды движения делятся по видам траектории они следующие: это движение по прямой траектории прямолинейное и по криволинейной траектории криволинейное движения. По виду траектории повторного типа – это поступательное движение и вращательное движение.
Траектория движения – это линия вдоль которого движется объект.
В случае с яблоком у нас это прямолинейное движение. Таким образом у нас выходит то что есть объект которая движется по прямой, расстояние и точки А и Б. Точка А и Б образуют отрезок.
Отрезок – это расстояние от точки А до точки Б. А и Б его концы.
Мы с вами узнали много нового то что точка есть объект и то что движение – это самое главное понятие.
Точкой движением и расстоянием мы можем следить за миром осознавать этот мир. Это поверхностный фундамент.
Глава 2. Геометрические характеристики
После того как мы осознали, что точка и линия движения – это первый уровень осознания мира восприятия мира как материальное то что без движения перестанет существовать.
Расстояние и точка это самое главное геометрическое понятие.
Возьмём трубу и развернем его получится квадрат этот квадрат состоит из четырёх точек и четырёх отрезков то пространство, ограниченное отрезками, называется поверхностью квадрата. Отрезки образующий квадрат вместе называют периметром.
периметр – это общая длина фигур. Характеристика периметры нужен как-то что даёт понять длину границ объекта. Периметры имеет существенное применение в жизни.
например, рассчитать длину ограды. То, что образуют отрезки поверхность – это непрерывное бесконечное количество точек.
Мера измерения поверхности называется площадью. Площадь – это численное характеристика двумерной геометрической фигуры.
Площадь также можно сказать часть плоскости замкнутая или ограниченная прямыми.
у каждого объекта есть поверхность, которая образует площадь.
Есть много задач практических с этими характеристиками. Для решения каждой из них придумывают специальные буквенные выражения, называемые формулами. Формулы служат неким упрощённым видом характеристики предназначенная для простоты решения задач.
У периметра самое что есть простоя формула она следующая.


В формуле, а, б, с, означают стороны отрезки периметра.
Количества формул у площади будет по больше. для определённых поверхностей есть определённая подобранная формула.
Квадрат находится по формуле где одна сторона в квадрате.


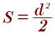
Зная диагональ квадрата можно найти по формуле площадь она следующая:


Также можно найти площадь квадрата зная диагональ из вершины в середину одной из противоположных сторон:


В случае, когда есть квадрат вписанный или описаны вокруг окружности формулы принимают следующие виды:




Формула прямоугольника тоже построена таким образом одна сторона умножается на другую:


По аналогии с квадратом зная сторону и диагональ можно найти сторону.


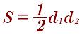
Формула площади по диагоналям прямоугольника:


Зная радиус и сторону прямоугольника можно найти площадь прямоугольника описанного окружности.


Площадь прямоугольника через диаметры вписанного прямоугольника:


Параллелограмм более сложная фигура чем прямоугольник и вообще, чем труднее фигура, тем дольше и труднее находить площадь:


Площадь параллелограмма по углу a.


Площадь параллелограмма по диагоналям и угу между этими диагоналями:


где –



Площадь по высоте и стороне параллелограмма опущенную на эту сторону:


Формула параллелограмма второй острыми углами смотрит на верх и вниз описанную около окружности принимает следующий вид:


Площадь параллелограмма с вписанной окружностью находится по углам. Такая формула примиряется только по отношению ромба которой верхняя половина зеркально нижнему:


Ромб фигура которое не имеет специфическую форму похож на квадрат и параллелограмм формулы похожие на формулы других фигур.


Площадь ромба по сторонам и углу между ними.


Как и другие фигуры углы ромба тоже можно соединить, зная диагональ можно найти площадь.


Площадь ромба по углу и противолежащей диагонали


Зная диагональ и угол из точки которой выходит этот диагональ можно найти площадь:


Формула треугольника устроена немножко труднее чем у двух сторонних фигур в зависимости от задачи следует брать подходящую формулу для расчёта площади треугольника.
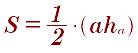
Площадь треугольника по основанию и высоте.


Площадь по двум сторонам и углу между ними.


Площадь треугольника по формуле Герона.


Площадь описанного треугольника находят следующим образом


где – Р это периметр треугольника.
Площадь треугольника, вписанного в окружность можно найти, зная радиус и 3 стороны треугольника:


Площадь произвольного треугольника по стороне и двум прилежавшим углам


Треугольник с равными боковыми сторонами называется равнобедренной.
Площадь равнобедренного треугольника находят по боковым сторонам и по основании.


Площадь прямоугольного треугольника по боковым сторонам и углу между ними.


Площадь равнобедренного треугольника по боковой стороне и основанию и углу между ними.


Площадь равнобедренного треугольника по углу между боковыми сторонами и основанию:


Площадь равнобедренного треугольника по высоте, опушённой на основание:


Прямоугольный треугольник фигура, у которой 2 угла острых одна прямая идёт под 90° та сторона которая лежит напротив прямого угла называется гипотенузой, а другие два катетами.
Площадь прямоугольного треугольника:


Площадь прямоугольного треугольника через гипотенузы и угол: