
Также стоит обратить внимание на единицы и указание их в самой программе и коде. Также из этих двух основополагающих показателей представляются все остальные данные, которые демонстрируются в следующих главах (4.3—4.4).
4.3. Скорости действующих частиц
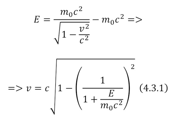
Одним из таких данных, выходящих из энергии продуктов ядерной реакции, является скорость этих продуктов, которое определяется из равенства (4.3.1).

При этом учитывается скорость света равной 299 792 458 м/с, при этом также при делении (отношении энергии к нулевой энергии) имеется ввиду отношение в МэВ. А для использования этой формулы в программе используются лишь переходы в системе единиц.
Общий код для скоростей представлен в последних выводах.
4.4. Импульсы входящих и выходящих частиц
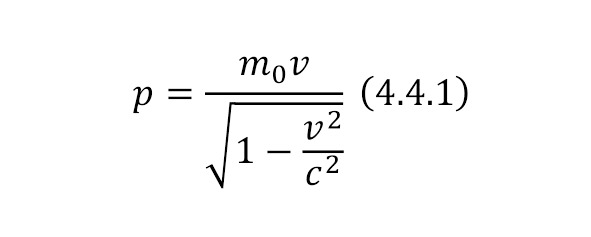
Импульс выходящих частиц определяются через формулу (4.4.1).

Условия к скорости света не изменчивы, как и к другим данным. Код для этих параметров представляется в виде (Кода 4.4.1).
Код 4.4.1. Импульсное определение на кодовом языке С++
pa= (a4*1.66*pow (10, -27) *va) /sqrt (1-pow (va,2) /pow (299792458,2));
pb= (a6*1.66*pow (10, -27) *vb) /sqrt (1-pow (vb,2) /pow (299792458,2));
И результирующим моментом вывода является следующий блок 4.4.2.
Конец ознакомительного фрагмента.
Текст предоставлен ООО «ЛитРес».
Прочитайте эту книгу целиком, купив полную легальную версию на ЛитРес.
Безопасно оплатить книгу можно банковской картой Visa, MasterCard, Maestro, со счета мобильного телефона, с платежного терминала, в салоне МТС или Связной, через PayPal, WebMoney, Яндекс.Деньги, QIWI Кошелек, бонусными картами или другим удобным Вам способом.
Вы ознакомились с фрагментом книги.
Для бесплатного чтения открыта только часть текста.
Приобретайте полный текст книги у нашего партнера:
Всего 10 форматов