

Vino Galante
Как влюбить в себя любого… Тонкая игра
Посвящается хорошим девушкам
Введение
Всё, что тебя окружает – информация.
И ты – тоже информация.
Производная Кастанеды по Галанте
В общем, не зря такой эпиграф написан к целой книге.
В какой век мы живем? Ты можешь ответить: – “На дворе XXI-й век!!”. Да, мы живем в 21-м веке, но цифры здесь абсолютно ничего не значат. Какая польза от абсолютных цифр? Никакая. По христианскому календарю – 21-й век, по исламскому – 15-й. Ты сама можешь придумать новое летоисчисление от собственного дня рождения.
Тогда вообще будет 1-й век от рождества Маши Ивановой, например!!
Если ты ответишь: – “Углеводородный”, то ты уже думаешь головой. Это радует. Как-никак, а для России нефть очень важная штука. Ну и для Америки, конечно, раз ради нее они уничтожают государства, миллионы людей превращают в инвалидов. В какой-то степени ты права, текущий век углеводородный.
Но на самом деле мы живем в информационном веке. Посмотри, на чем делаются состояния. Состояния делаются на информации!! Карлос Элу Слим – самый богатый человек планеты сделал свои 70 000 000 000 долларов на телефонных разговорах. Билл Гейтс – на продаже программ. Ни разговоры, ни программы ты потрогать не можешь, они – вид информации. К примеру, Дональд Трамп, величайший строитель всех времен и народов, имеет состояние всего 3 000 000 000 долларов. Просто нищий по сравнению с Карлосом Слимом. Ради чего ты 5 лет учишься в универе? Ради того, чтобы тупо получить новые знания, т.е. информацию.
В наше время самое важное – информация. Государства содержат целые разведслужбы для того, чтобы обладать качественной информацией. Информация, это безопасность. По телевизору нам тоннами пичкают рекламу. Информация – это управление людьми. Сидя за компом в инете, ты потребляешь информацию. Информация, это твой рост. Глянцевые журналы передают тебе информацию. Информация – это удовольствие.
Информация – это всё.
Теперь ты поняла, что книги от Вино Галанте очень важны1?
Задание. Посмотри, на чем сделали свои состояния 10 богатейших людей Земли.
Глава 1. Перед боем
Закон Вино Галанте или закон неотвратимости успеха
Люблю оптимистов
Вселенная
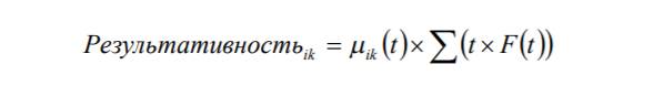
Как ты думаешь, почему многие, потенциально талантливые парни2, занимаясь соблазнением, бросают улучшать себя на половине пути, не достигнув каких-то значимых успехов? И, напротив, бывает, смотришь на человека, ничего в нем нет, а успех у девушек есть. Весь ответ запрятан в следующей формуле:

Рисунок 1 – Формула «Закон неотвратимости успеха»
Иллюстрация создана автором книги
Графическое изображение закона выглядит так, как показано на следующем рисунке. Все успешные люди чувствуют своим нутром закон неотвратимости успеха3, а неуспешные о нем даже не догадываются.
Только в этом и состоит разница, отделяющая успешных от лузеров.

Рисунок 2 – Графическое отображение закона неотвратимости успеха
Иллюстрация создана автором книги
Дело в том, что закон неотвратимости успеха – такая же часть природы, как и законы Ньютона, Эйнштейна, Бернулли или любых других ученых. Дмитрий Иванович Менделеев, конечно, автор своей периодической системы Менделеева, но как таковая, она существовала и до него. Он ее открыл, но не создал. Смекаешь? Все авторы абсолютно всех фундаментальных законов природы на самом деле не являются авторами4. Ученые – всего-навсего просто первооткрыватели. Законы функционирования этого мира существовали задолго до появления людей, и уж тем более, задолго до появления письменности и “Ньютонов”. И я – такой же автор закона неотвратимости успеха, как и Ньютон – автор второго закона Ньютона5, например. Я всего-навсего положил на формулу то, что существовало до нас, и будет существовать после нас.
Именно из этого закона следует, что нет поражений, а есть обратная связь. Из этого закона следует, что награда найдет своего героя и прочие суперские ништяки. Мне сейчас от тебя надо, чтобы ты поняла фундаментальность и незыблемость наличия закона Неотвратимости успеха. Что посеешь, то и пожнешь – чем не принцип управления жизнью. Верно? Но сейчас – не об этом.
Теперь давай-ка подробнее разберем закон Галанте. А что означает разобраться в формуле? Правильно – понять ее физический смысл. Во-первых, закон неотвратимости успеха – это универсальный закон, действующий абсолютно на всех людей абсолютно во всех областях нашей жизни. Так уж сложилась моя жизнь, что я достиг некоторого успеха именно в соблазнении, поэтому я рассказываю об этом законе в сфере соблазнения. Но на самом деле данный закон действует абсолютно во всех областях этой жизни, будь то финансы, здоровье или что-то еще.
Физический смысл переменных.
t – время. Переменная t обозначает время6 .
F – мгновенное значение прикладываемых усилий.
∑ – сумма. На самом деле у суммы есть нижний и верхний пределы, но здесь это не суть. Главное – чтобы ты уяснила физический смысл формулы, а нее математическую интерпретацию.
µ – функция результативности.
i – индивидуальность, т.е. какая-то конкретная личность, человек.
k – область применения, т.е. или соблазнение, или карьера, или просто отдых, хобби или хоть что еще, без разницы.
Мгновенное значение прикладываемых усилий F – штука очень важная. Когда ты работаешь в полях, очень важно работать, максимально вкладываясь в то, что ты делаешь конкретно в данный момент времени. На начальном этапе, поля, это всегда дикий драйв. Более подробно этот момент освещается во второй главе первой части книги Как влюбить в себя любого… Откровения бывшего Казановы. Кроме того, крайне важно правильно отдыхать (и об этом повествуется). В полях очень важно именно мгновенное значение, т.е. гораздо лучше отработать 5 минут на пике формы, чем целый час, но прикладывая в два раза меньше усилий. Это, кстати, один из механизмов выхода в третью зону графика.
Функция результативности имеет индексы i и k, т.к. для каждого человека i она индивидуальная, и для каждой сферы жизни k она тоже отличается, но общий характер функции результативности для всех одинаков и носит параболический характер с выходом на горизонтальный участок.
Закон неотвратимости успеха звучит так. Результативность человека i в области деятельности k есть сумма приложенных им усилий по достижению успеха F, в течении времени t с учетом его индивидуальных особенностей µ. Закон неотвратимости успеха действует на человека. Если ты считаешь себя человеком, то он действует на тебя. Хотя он действует на тебя, в любом случае, даже если ты не считаешь себя человеком.
А теперь я объясню, почему незнание этого закона приводит к поражению. Дело в том, что если человек знает этот закон, то он уже понимает, что поражение как таковое отсутствует, есть просто ситуация, когда ты тупо не доходишь до финиша. Смекаешь? Особенно часто это бывает в области графика I. Т.е. человек пашет-пашет, а результата не видит. Парень знакомится-знакомится с девушками, а телефон взять никак не может. Он что-то делает, читает книги, барахтается в теме, но результата нет, хоть ты пополам тресни!! Если человек “адекватный”, он логически заключает, что у него нет таланта или думает что-то в виде подобной адекватной “правильной” логической хрени. А на самом деле, надо просто тупо продолжать работать по теме держа нос по ветру!!! Всё!!! Надо выходить из области номер один!!! А это всегда требует времени!! С тебя семь потов сойдет, пока ты выйдешь из этой поганой области номер один.
Помню, как-то в прошлом году одна девушка сказала мне: – “Все думают, что ты такой крутой, а я знаю, каким ты был на самом деле”. Конечно, когда-то в общении с девушками я был полнейшим идиотом и это абсолютно нормально. Я больше скажу, когда-то я не только с девушками не умел общаться, но и читать-писать не умел. Никакого фокуса здесь нет, просто у меня хватило терпения пройти область номер один.
Зато область номер два… Это сказка, милая моя… Ты вкладываешь ресурс и сразу получаешь отдачу. Это как езда на велосипеде, когда ты только-только научилась ездить. До этого только коленки царапала, синяки набивала, падала постоянно, но ездить не умела. В чем тогда смысл этой области номер один? А в том, что область номер один – это область проверки на вшивость характера. Не знаю, почему так устроена природа, но с физикой не поспоришь – либо ты просто опускаешь руки (не доходишь до финиша просто из-за того, что перестаешь идти, хотя можешь), либо ты работаешь, не видя результат. Тут просто надо держаться на железобетонной вере в победу.
Теперь про область номер два с точки зрения математики. Видишь, на графике эта область – практически прямая возрастающая линия? Линейный участок – это круто. Как только появляется результат, в тебе столько энергии берется!!! Ты готов пахать по теме круглые сутки, тебя реально распирает от собственной крутизны!! Потому что ты видишь, постарался – получилось. Значит, могу. Но самый кайф начинается, когда ты выходишь из области номер два и попадаешь в область застоя номер три. Начинаются чудеса. Привожу пример. Ты просыпаешься утром, хорошая погода и в твоей голове появляется мысль: – “Что-то сегодня новую девушку хочется” Подумал, забыл. Через некоторое время как-то само собой ты знакомишься с новой девушкой, и вы благополучно в этот же день трахаетесь. Все происходит очень легко, все как-то само собой, без особых напрягов. Все что требуется – просто не протупить, не слажать, когда ситуация сама складывается в твою пользу.
Область номер три, это область лени и застоя. Ты можешь остервенело пахать, вкладываться в тему, но особого прогресса в своем умении соблазнять уже не получишь. Ты на вершине, ты в области халявы. Бананы с пальмы сами падают тебе в руки. Есть парни, которым нравится находиться на этой вершине7. Есть те, которые никогда, а такие – почти все, не дойдут и до середины области номер два. Все зависит от того, сколько ты готова вложиться в тему8.
Еще кое-что о законе неотвратимости успеха. Если ты очень наблюдательная девушка, то можешь заметить подпись к оси абсцисс. Это время. В данном случае я специально обозвал эту ось временем – чтобы тебе было проще понять закон. Но знай, это не просто время, измеряемое в часах, минутах или днях. На самом деле это время твоих стараний. В расчет принимается именно время стараний. Просто так, пока идут года, ты умнее не станешь и общаться с парнями просто так, ты не научишься. Скажу больше – часы играют против нас. Ты стареешь, я старею, мы все умрем. А вот если ты будешь учиться, практиковаться, вот тогда и будет движение по графику. И твоя задача – как можно быстрее смещаться по оси времени вправо. Т.е. тебе надо изучать НЛП, калибровки, читать мои книги, создавать запасной аэродром, отрабатывать фишки, учиться кокетству, прокачать тело и женственность, а потом забить на тему9. Чем быстрее ты смещаешься, тем быстрее ты получишь то, чего хочешь. Вначале адская область номер один, потом драйвовая область номер два, и, наконец, священная область халявного собирания плодов номер три!!! Область, когда все происходит по щелчку твоих пальцев…
Теперь проверка на качество твоего ума. Как ты думаешь, какой вывод следует из последнего абзаца? Гибкость определяет успешность. Это же всем известная установка!!! Но как логично она вытекает из закона неотвратимости успеха. Если ты действуешь по одной и той же программе, ты не двигаешься по оси времени (хотя и прикладываешь усилия), следовательно, качество твоего результата остается постоянным. Если же ты меняешь стратегии своего поведения, пробуешь что-то новое, твой опыт растет. Увеличение опыта означает смещение по оси времени вправо. Элементарно.
Запасной аэродром
Это как изобретение колеса в истории человечества.
Человечество
Задание. Медленно повтори про себя Запасной аэродром три раза. Теперь ты знаешь путь к успеху.
Запасной аэродром, это, ептеть, такая важная штука!!! Это ОБЯЗАТЕЛЬНЫЙ элемент быстрой прокачки10. Без него ты просто слепая девочка, которая мечтает о красивой жизни, но умрет грязной оборванкой в нищете11. Ее зловонный труп начнут глодать крысы, а завершат дело черви. Почему я так грубо, но предельно откровенен сейчас с тобой? Да просто, чтобы ты поняла, наконец, эту элементарную истину!! Даже если у тебя ничего нет, кроме запасного аэродрома, то это уже гораздо лучше сотен первоклассных книг по соблазнению12.
Понимаешь, с одной стороны соблазнение – это очень изящная игра, состоящая всего из двух утонченных вещей: умения филигранно калибровать соблазняемый объект и, второе, умения филигранно на него воздействовать. Воздействовать так, чтобы человек твои желания воспринимал как свои собственные мысли. Именно так. Именно это и есть в высшей степени соблазнение. Тонко воздействуя на человека, можно формировать в его мозгу правильные, т.е. нужные тебе, выводы и мысли. Еще можно управлять чувствами человека, а это намного важнее мыслей, кстати. То, что я тебе только что рассказал, и есть само соблазнение. Но для того, чтобы научиться всему этому, тебе надо тренироваться. И запасной аэродром – это твой тренажерный зал. Но… Есть и положительные побочные эффекты13. Вот они:
1. Ментальная чистка твоих “шлаков”.
2. Ты не западаешь на конкретного парня.
3. Ты не западаешь на конкретного парня, при работе по влюблению его в себя. Т.е. у тебя сохраняется чувство внутренней легкости, свободы, а также гибкость поведения при общении с этим конкретным парнем.
4. Повышенная привлекательность для парней.
5. Значительно повышенная скорость набора опыта14.
6. Возможность обучения навыкам калибровки.
7. Отсутствие стресса при расставании с любым парнем.
8. Возможность делать выводы на трезвую голову, даже если тебя бросили.
9. Улучшение коммуникативных навыков.
10. Удобство жизни, новый уровень жизни.
11. Ты начинаешь разбираться в парнях. Начинаешь понимать, кто есть кто на рынке женихов и невест. Начинаешь адекватно воспринимать себя. Ты сможешь выбрать и не ошибиться.
12. Еще куча полезностей, всех и не упомнишь.
Сейчас мы подробно разберем все эти 11 пунктов. Двенадцатый не будем. Океюшки? Ну, или не очень подробно, я же от настроения работаю. Да-да, так же, как и соблазнял: только в удовольствие. Прикол этой жизни в том, что человек сам выбирает страдать ему, или наслаждаться. И лично мне очень смешно смотреть на людей, которые выбирают страдания. Как можно быть таким тупым, чтобы выбирать страдания? Во времена моих депрессий15 я тупо иду в спортзал с простой целью – выбросить эндорфины в кровь. А дополнительно, нахаляву, получаю улучшение организма, здоровья, аппетита и т.д. Обычный же человек потребляет стимулятор, например, алкоголь. Смотри, этот же человек, также, как и я, знает и про вред алкоголя, и про пользу спортзала, но делает свой тупой выбор. Нафига?! Выбирай жизнь в кайф, и уж если фортуна повернется к тебе спиной, то непременно красиво нагнется. А дальше дело за малым.
Теперь к теме. Запасной аэродром – это совокупность парней, на которых ты отрабатываешь навыки соблазнения. Это самое главное. Но общее определение следующее: запасной аэродром – это совокупность парней, с которыми ты общаешься. Ни в коем случае не думай, что запасной аэродром, это совокупность твоих потрахателей. Нет!! Это для парня запасной аэродром – совокупность телок для траха. Но ты и я, мы, девушки и парни, это разные формы жизни. Поэтому для девушки запасной аэродром совсем не то же самое, что для парня. С запасным аэродромом ты НЕ трахаешься.
Экскурс в историю
Интересно, откуда же пошло это название? Хех, наверное, от пилотов-асов второй мировой. Не получилось сесть на основном, садишься на запасной. Не получилось залезть на основную, залазишь на запасную. У меня, как у соблазнителя, запасной аэродром был всегда. Это очень удобно. К тому же, для соблазнителя наличие запасного аэродрома, это вопрос чести. Какой ты рыцарь без доспехов и коня? Поначалу у меня не было никакого запасного аэродрома. Я был нормальным парнем, на девушках ничего не отрабатывал. Если у меня была девушка, то только одна. И это всегда16 означало, что я “уже занят” для других. О том, чтобы сразу, параллельно, общаться с двумя девушками и речи идти не могло. Такая ситуация меня полностью устраивала. Хотя я и не понимал ничего. Это так глупо, думать, что девушки воспринимают этот мир примерно так же, как и мы, парни. Что девушке можно что-то объяснить17 и логически доказать. Ваш мир совершенно другой и вы гораздо больше чувствуете, нежели думаете. Очень глупо пытаться воздействовать на ваш мозг, надо “бить в сердце”. К сожалению, часто необходимо причинять вам боль. С хорошими парнями вам не интересно и скучно.
Потом, когда в своем понимании межполового общения я обнаружил огромные белые пятна, я бросил свои основные резервы на изучение этого вопроса. Все началось с изучения нейролингвистического программирования: мне понадобилось много девушек. Так, жизнь сама вывела меня к созданию запасного аэродрома: либо я создаю его, либо остаюсь безграмотным слепым котенком, неандертальцем.
Мой первый запасной аэродром был одноуровневым, состоящий всего из двух, а позднее, уже из трех девушек. Если ты параллельно общаешься с двумя девушками, то у тебя уже есть запасной аэродром. При этом он может состоять как из одной девушки, так и из двух. Всё зависит от вида отношений с обеими девушками. Если обе девушки тебе по барабану, и ты пользуешься ими только для секса, между собой они в равных условиях, то аэродром “двухтелочный”. Если же у тебя есть основная девушка, т.н. праймари, а второй девушкой ты пользуешься изредка, то запасной аэродром состоит всего из одной девушки. Но, в данном случае, у тебя есть, хотя и минимально возможный “однотелочный”, но всё-таки уже запасной аэродром.
Длилась такая картина до тотального, планомерного увлечения соблазнением с научным подходом. Тупо секс меня особо не интересовал даже в подростковом возрасте. Трахом способны заниматься даже примитивные насекомые. Мне нужны были знания. Поэтому аэродром начал расти. Когда число особей выросло до 10, у меня пошли косяки. Много девушек, а значит надо много запоминать, где с кем был, что делал, куда ходил, что говорил и т.д. Но самая большая проблема – успеть обслужить этот аэродром. Мне же еще и на работу надо ходить. И на работе работать, а при малом количестве сна ты как будто тупеешь. Работа для меня важнее девушек, пришлось аэродром сократить. Но так получилось, что я не сократил, а по факту отправил в ЧАО самых “плохих работников”, т.е. девушек качеством похуже.
Таким образом, одноуровневый запасной аэродром как-то сам собой превратился в двухуровневый. Первый уровень – это элита. На элитном уровне может быть одна, ну, максимум, две девушки. Как думаешь, почему? А потому, что на первый план выходит не качество девушек элитного уровня как таковое, а качество отношений с девушками элитного уровня. Смекаешь суть? Высокое качество обязательно подразумевает много времени вместе. Но сутки, к сожалению, не резиновые. Звонить один раз в неделю праймари не получится. Уже не ты будешь ее трахать, а она – тебе мозг. Ну да ладно, отвлеклись. Кроме внешних данных, для того, чтобы находиться на элитном уровне, девушке обязательно требуется мозг. Если девушка красивая, но тупая, добро пожаловать на второй уровень18. На втором уровне запасного аэродрома девушек может быть уже больше. Обычно 5…6, но может и больше: всё зависит от желания и возможностей соблазнителя. Третий уровень, это уже периферия. Его даже уровнем-то как таковым, сложно назвать. На этом уровне девушек может быть сколь угодно много. Им можно практически не уделять внимания. Встречаться раз в два…три месяца и забывать на два…три месяца. Если срок увеличивать, девушка сливается и, чтобы ее снова вернуть в состав аэродрома, приходится вкладываться. А зачем? Проще встречаться чаще. Если про кого-то с третьего уровня забыл, что ж, на всё воля Божья, переживать об этом не следует. Еще раз хочу сделать акцент на том, что градация по уровням, прежде всего, идет по качеству отношений, а не по качеству девушек. У высокоуровнего соблазнителя на третий уровень переходят девушки, которые для обычного парня вообще не доступны, а для обычного соблазнителя автоматически попали бы на первый, т.е. элитный уровень. И градацию качества девушек здесь проводит сам соблазнитель.
Сейчас я расскажу тебе один случай, очень характерный. Возможно, ты еще не догадываешься, но понятие красивая девушка для разных парней – совершенно разные вещи. Вкусы парней относительно девушек настолько разнятся, что приходиться только удивляться. У всех вкусы совершенно разные. Мне, например, нравятся стройные девушки с правильными чертами лица, грациозные. Раньше нравились девушки от 170. В одно время я просто не общался с девушками ниже 17219 см. Сейчас мне на рост плевать. Хоть 160 см, лишь бы сама девушка была хорошей. Сейчас для меня гораздо важнее суть девушки, ее внутреннее наполнение, можно ли ей доверять, как она будет воспитывать детей, насколько она слаба на передок, какое у нее ко мне отношение и т.д. Но определяющим фактором, конечно, является доверие. Я должен доверять девушке больше, чем самому себе.
Ну, да ладно. В общем, как-то в местном ночном клубе Fashion Club была тусовка пикаперов, посвященная какой-то пикаперской годовщине. Мне было прикольно там появиться. Мне всегда прикольно наблюдать за людьми, а за теми, кого знаешь, тем паче. К тому же я постоянно люблю учиться, и в тот раз я подумал, что возможно увижу в чьем-то исполнении новую фишку или какой-то метод скоростного съема девушки. Я взял свою тогдашнюю подругу, сел в машину и поехал. Приехал, зашел, купил пару соков20, продефилировал с бокалом и подругой на второй этаж и стал наблюдать. Это было смешно. Блин, смотрю, как наши ходят гурьбой. Мда-а, а работать-то кто будет? Или вы сюда просто коктейли бухать пришли? Ладно, стою, смотрю, потягиваю через трубочку сок. Анастасии понадобилось уйти в дамскую комнату, так что я остался один. Стою, наблюдаю за людьми, настроение классное. И тут ко мне подходит бывший пикапер, а ныне очень адекватный человек Ярослав. Ярослав всегда нравился мне – очень открытый честный взгляд, полное отсутствие понтов. Даже пикапером-то его не назовешь. И тут между нами состоялся диалог21:
– Красивая у тебя девушка
– Это не моя девушка
– А кто тогда?
– Это мой девушка-друг.
– Руслан, тебе высокие, я смотрю, нравятся?
– Да, есть такая тема. Не знаю с какого такого бодуна, но мне нравятся высокие и стройные девушки.
– А мне на рост плевать.
– Плевать?
– Ну не то, чтобы плевать. Просто мне высокие вообще не нравятся. Мне надо, чтобы девушка была ростом, ну 165 максимум. Терпеть не могу высоких.
– Первый раз слышу, чтобы парню нравились низкие девушки.
– Они не низкие, а миниатюрные.
– Ну конечно, конечно.
– А грудь?
– Мне на грудь как раз плевать, хоть вообще пусть не будет. Вымя терпеть не могу. Главное, чтобы в руку хорошо ложилась, но и то… Знаешь, хорошая грудь – это как хороший тюнинг, если есть, то хорошо, а если нет, то пофигу.
– А мне наоборот. Обожаю, когда у девушки есть такая приличная грудь и чем больше, тем лучше.
– Нам с тобой конкуренция точно не грозит.
– Не грозит.
Потом мы еще поболтали о всякой ерунде. Через некоторое время мне стало скучно, я не видел реальной работы парней, все тупо бухали, никто не снимал девушек. Поэтому мы с Настей уехали ко мне.
Смотри, есть два парня одинаковой комплекции, живущие в одном городе, разница в возрасте около 5 лет, планы на жизнь тоже примерно совпадают. Однако нам нравятся диаметрально противоположные девушки!! Низкорослая грудастая девушка на тот момент меня вообще не могла заинтересовать принципиально. Я бы просто не заметил такую, а если бы и заметил, то стебанул бы про себя. Ярослава же наоборот, интересовали только девушки невысокого роста с большой грудью. Высокие девушки ему казались ходячими фригидными оглоблями. Просто диаметрально противоположные вкусы!! Кстати, тогда мне нравились блондинки, ему на цвет волос было плевать. Сейчас мне тоже плевать на цвет волос, хотя рыжеволосые девушки не нравятся до сих пор.