
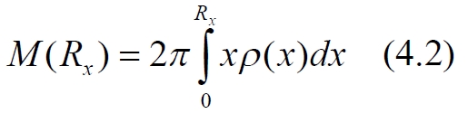
4. Функция массы диска М(r)
Помимо кривой вращения функция плотности позволяет построить также и график распределения массы объекта. Проведём сравнительный анализ поведения массы диска, сравним аналитическое и численное интегрирование функции массы: как зависит полная и частичная масса диска от функции его плотности. Исследуемый диск имеет в общем случае переменную радиальную плотность, зависящую от удалённости от центра. В случае переменной плотности дифференциал массы, масса элементарного участка диска определяется в следующем виде

Найдём частичную массу диска, его внутренней дисковой части некоторого радиуса Rx, то есть, радиальное распределение массы. Эта масса, очевидно, нарастающая, чем больше радиус Rx, тем больше масса. Используя дифференциал (4.1), массу можно найти интегрированием, указав радиус диска R0 в качестве верхнего предела интеграла по радиус-вектору

Замечаем, что подынтегральная функция не зависит от угла, что не удивительно, поскольку мы изначально установили угловую симметрию. Поэтому сразу же вычисляем интеграл по этой переменной

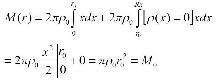
Рассмотрим три принципиальных случая, определяемых законом изменения плотности. Первый случай, который можно назвать кеплеровским, – вся масса диска находится в его центре, плотность диска – "пиковая" ρ(0)= ρ0. Численное интегрирование даёт такой вид функции массы

Рис.4.1. При нахождении всей массы в центре диска массы M(r) всех частичных, вложенных дисков равны этой массе
В этом случае масса каждого частного диска одна и та же и равна массе, находящейся в его центре. Для наглядности и удобства вычислений интеграл в общем виде (4.2) для этого случая желательно изменить, а точнее, разделить на два интеграла. Масса такого диска сосредоточена в его центре и, очевидно, имеет некоторый минимальный объём, радиус r0. В остальных точках плотность равна нулю, поэтому

Масса не зависит от радиуса частичного диска и всегда равна M0. Результаты численного и аналитического интегрирования, как видим, совпали.
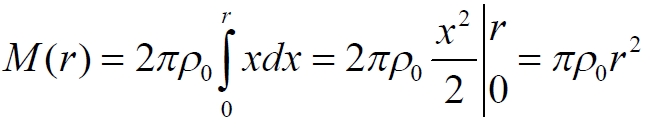
Второй принципиальный случай – плотность диска неизменна по всему его объёму, радиусу

Итог аналитического интегрирования означает, что при такой однородной плотности каждый промежуточный диск имеет массу, пропорциональную квадрату его радиуса. Численное интегрирование также показало на диаграмме параболу, то есть, графический результат совпал с аналитическим

Рис.4.2. В однородном диске массы всех частичных, вложенных дисков растут пропорционально квадратам их радиусов
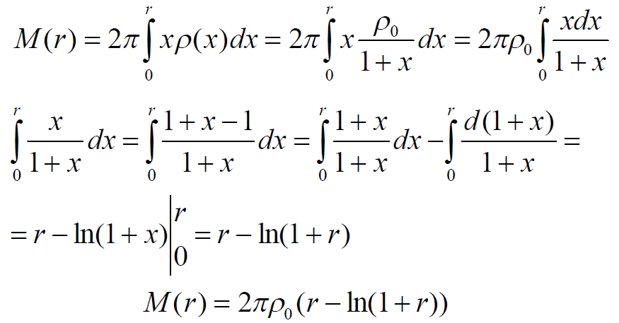
Третий случай относится к функции плотности, приводящей к распределению массы, похожей на гиперболическое распределение масс в дисковых галактиках. Рассмотрим вариант гиперболического уменьшения плотности, установив, что в нулевой точке, в центре галактики плотность равна ρ0

Отметим, что логарифмическая добавка к радиусу заметно меньше самого радиуса, поэтому график выглядит практически как прямая линия. Например, при r = 1000 добавка составляет чуть меньше 7. Фактически масса промежуточных, частных дисков такой галактики растёт пропорционально их радиусу, а его логарифм не вносит практически никаких корректив

Рис.4.3. В диске с гиперболически уменьшающейся от центра к периферии плотностью, массы всех частичных, вложенных дисков растут прямо пропорционально их радиусам
Эти три принципиальных, наглядных варианта рассматривают простейшие аналитические (не табличные) функции плотности. Рассмотрим теперь массу диска с табличной формой функции плотности, подобранной ранее под кривую вращения галактики Млечный Путь.

Рис.4.4. Распределение массы диска с функцией плотности ρ(r), подобранной под наблюдаемую кривую вращения vmw(r) галактики Млечный путь
График показывает величину массы частичного диска, заключенной в круге соответствующего радиуса. Полная масса диска на рисунке равна 10. Отметим её некоторые особенности. Вблизи центра диска, области, имеющей предельную плотность, сосредоточена всего лишь десятая часть его полной массы. Действительно, плотность в пике этой части равна 50, то есть, почти в 100 раз превышает плотность на половине радиуса диска, равную 0,5. Масса половины диска по радиусу составляет всего 65% от общей массы. Напротив, половина массы диска сосредоточена в пределах радиуса 40%.
Всё это может показаться странным: часть диска с малой плотностью весит больше, чем его часть с существенно большей плотностью. Однако странность легко объяснима. Более плотная часть диска занимает существенно меньший объём. Менее плотная масса составляет, по сути, основную часть диска, его массы.
Выводы
В наших вычислениях мы не рассматривали диск как полный аналог какой-либо галактики. Тем не менее, то, что его кривую вращения удалось достаточно точно приблизить по форме к кривой вращения галактики Млечный Путь, свидетельствует о возможности формирования любой кривой вращения галактики, любой галактики исключительно за счёт специфического распределения её внутренней массы. То, что возможно для абстрактного, но физически возможного объекта, несомненно, должно быть возможно и для физического объекта реального.
Для достижения поставленной цели – формирования заданной формы кривой вращения – мы не использовали никаких внешних, скрытых сил или субстанций. Все без исключения "странности", возникшие в процессе вычислений, не являются противоречиями, все они нашли логическое объяснение.