
IV. Образование внутреннего рынка на рабочую силу
Чтобы резюмировать те данные, которые были приведены по этому вопросу в предыдущем изложении, мы ограничимся картиной передвижения рабочих по Европейской России. Такую картину дает нам издание департамента земледелия[743], основанное на показаниях хозяев. Картина передвижения рабочих даст общее представление о том, как именно складывается внутренний рынок на рабочую силу; пользуясь материалом названного издания, мы старались только различить передвижение земледельческих и неземледельческих рабочих, хотя на карте, приложенной к названному изданию и иллюстрирующей передвижение рабочих, и не приведено этого различия.
Главнейшие передвижения земледельческих рабочих следующие: 1) Из центральных земледельческих губерний на южные и восточные окраины. 2) Из северных черноземных губерний в южные черноземные губернии, из которых, в свою очередь, уходят рабочие на окраины (ср. гл. III, § IX и § X)[744]. 3) Из центральных земледельческих губерний в промышленные губернии (ср. гл. IV, § IV)[745]. 4) Из центральных и юго-западных земледельческих губерний в район свекловичных плантаций (сюда идут даже отчасти рабочие из Галиции).
Главнейшие передвижения неземледельческих рабочих: 1) В столицы и в большие города главным образом из неземледельческих, но в значительной степени и из земледельческих губерний. 2) В промышленный район на фабрики Владимирской, Ярославской и других губерний из тех же местностей. 3) Передвижение к новым центрам промышленности или к новым отраслям ее, к центрам промышленности нефабричной и пр. Сюда относится движение: а) на свеклосахарные заводы юго-западных губерний; б) в южный горный район; в) на портовые работы (в Одессу, Ростов н/Д., Ригу и пр.); г) на разработку торфа во Владимирской и других губерниях; д) в Уральский горнопромышленный район; е) на рыбные промыслы (в Астрахань, к Черному и Азовскому морям и пр.); ж) на судовые, судоходные работы, на вырубку и сплав леса и т. п.; з) на работы железнодорожные и т. д.
Таковы те главные передвижения рабочих, которые отмечаются корреспондентами-нанимателями, как оказывающие более или менее существенное влияние на условия найма рабочих в разных местностях. Чтобы яснее представить значение этих передвижений, сопоставим с ними данные о заработной плате в различных районах выхода и прихода рабочих. Ограничиваясь 28-ю губерниями Европейской России, мы разделяем их на 6 групп по характеру передвижения рабочих и получаем такие данные[746]*: [см. таблицу на стр. 589. Ред.].
Эта табличка наглядно показывает нам основу того процесса, который создает внутренний рынок на рабочую силу, а следовательно, и внутренний рынок для капитализма. Два главных района, наиболее развитые в капиталистическом отношении, привлекают массы рабочих: район земледельческого капитализма (южные и восточные окраины) и район промышленного капитализма (столичные и промышленные губернии). Заработная плата наиболее низка в районе выхода, в центральных земледельческих губерниях, отличающихся наименьшим развитием капитализма, как в земледелии, так и в промышленности[747]; в районах же прихода заработная плата повышается по всем видам работ, повышается и отношение денежной платы ко всей плате, т. е. усиливается денежное хозяйство на счет натурального. Промежуточные районы, стоящие между районами наибольшего прихода (и высшей платы) и районом выхода (и низшей платы), показывают то взаимозамещение рабочих, на которое было указываемо выше: рабочие уходят в таком количестве, что на местах выхода образуется недостаток рабочих, привлекающий пришельцев из более «дешевых» губерний.

В сущности, представленный на нашей таблице двусторонний процесс отвлечения населения от земледелия к промышленности (индустриализация населения) и развития торгово-промышленного, капиталистического земледелия (индустриализация земледелия) резюмирует все изложенное выше по вопросу об образовании внутреннего рынка для капиталистического общества. Внутренний рынок для капитализма и создается параллельным развитием капитализма в земледелии и в промышленности[748], образованием класса сельских и промышленных предпринимателей, с одной стороны, – сельских и промышленных наемных рабочих, с другой стороны. Главные потоки передвижения рабочих показывают главные формы этого процесса, но далеко не все его формы; в предыдущем изложении было показано, что формы этого процесса различны в крестьянском и в помещичьем хозяйстве, различны в различных районах торгового земледелия, различны на различных стадиях капиталистического развития промышленности и т. д.
До какой степени извращен и запутан этот процесс представителями нашей народнической экономии, это показывает особенно ясно § VI второго отдела «Очерков» г. Н. —она, носящий знаменательное заглавие: «Влияние перераспределения общественных производительных сил на хозяйственное положение земледельческого населения». Вот как представляет себе г. Н. —он это «перераспределение»: «В капиталистическом… обществе каждое увеличение производительной силы труда влечет за собой «освобождение» соответственного числа рабочих, принужденных искать себе какой-нибудь иной заработок; а так как это происходит во всех отраслях производства, и такое «освобождение» совершается по всей поверхности капиталистического общества, то им не остается иного выхода, как обратиться к тому орудию производства, которого они пока еще не лишены, именно – к земле» (стр. 126)… «Наши крестьяне земли не лишены, поэтому на нее-то они и направляют свои силы. Лишаясь работы на фабрике, или будучи принуждены бросить свои подсобные домашние занятия, они не видят другого исхода, как приняться за усиленную эксплуатацию земли. Все земские статистические сборники констатируют факт расширения запашек…» (128).
Как видите, г. Н. —ону известен совсем особый капитализм, которого нигде никогда не было, которого не мог себе мыслить ни один из экономистов-теоретиков. Капитализм г. Н. —она не отвлекает населения от земледелия к промышленности, не разбивает земледельцев на противоположные классы. Совсем напротив. Капитализм «освобождает» рабочих из промышленности, и «им» ничего не остается, как обратиться к земле, ибо «наши крестьяне земли не лишены»!! В основании этой «теории», оригинально «перераспределяющей» в поэтическом беспорядке все процессы капиталистического развития, лежат общенароднические нехитрые приемы, подробно разобранные в предыдущем изложении: смешение крестьянской буржуазии и сельского пролетариата, игнорирование роста торгового земледелия, подстановка сказок об оторванности «народных» «кустарных промыслов» от «капиталистической» «фабрично-заводской промышленности» на место анализа последовательных форм и разнообразных проявлений капитализма в промышленности.
V. Значение окраин. внутренний или внешний рынок?
В первой главе было указано на ошибочность той теории, которая связывает вопрос о внешнем рынке для капитализма с вопросом о реализации продукта (стр. 25[749] и следующие). Необходимость внешнего рынка для капитализма объясняется вовсе не невозможностью реализовать продукт на внутреннем рынке, а тем обстоятельством, что капитализм не в состоянии повторять одни и те же процессы производства в прежних размерах, при неизменных условиях (как это было при докапиталистических режимах), что он неизбежно ведет к безграничному росту производства, перерастающему старые, узкие границы прежних хозяйственных единиц. При свойственной капитализму,' неравномерности развития, одна отрасль производства перегоняет другие и стремится выйти за пределы старого района хозяйственных отношений. Возьмем, напр., текстильную индустрию в начале пореформенной эпохи. Будучи довольно высоко развитой в капиталистическом отношении (мануфактура, начинающая переходить в фабрику), она вполне овладела рынком центральной России. Но крупные фабрики, которые росли так быстро, не могли уже удовлетвориться прежними размерами рынка; они стали искать себе рынка дальше, среди того нового населения, которое колонизовало Новороссию, юго-восточное Заволжье, Северный Кавказ, затем Сибирь и т. д. Стремление крупных фабрик выйти за пределы старых рынков несомненно. Означает ли это, что в районах, служивших этими старыми рынками, большее количество продуктов текстильной промышленности, вообще, не могло быть потреблено? означает ли это, что, напр., промышленные и центральные земледельческие губернии не могут уже, вообще, поглощать большего количества фабрикатов? Нет; мы знаем, что разложение крестьянства, рост торгового земледелия и увеличение индустриального населения продолжали и продолжают расширять внутренний рынок и этого старого района. Но это расширение внутреннего рынка задерживается многими обстоятельствами (главным образом, сохранением устарелых учреждении, задерживающих развитие земледельческого капитализма); и фабриканты не станут, конечно, ждать, чтобы другие отрасли народного хозяйства догнали в своем капиталистическом развитии текстильную индустрию. Фабрикантам нужен рынок немедленно, и если отсталость других сторон народного хозяйства суживает рынок в старом районе, то они будут искать рынка в другом районе или в других странах или в колониях старой страны..
Но что такое колония в политико-экономическом смысле? Было уже указано выше, что, по Марксу, основные признаки этого понятия следующие: 1) наличность незанятых, свободных земель, легко доступных переселенцам; 2) наличность сложившегося мирового разделения труда, мирового рынка, благодаря которому колонии могут специализироваться на массовом производстве сельскохозяйственных продуктов, получая в обмен за них готовые промышленные изделия, «которые, при других обстоятельствах, им пришлось бы изготовлять самим» (см. выше, стр. 189[750], прим., гл. IV, § II). О том, что южные и восточные окраины Европейской России, заселявшиеся в пореформенную эпоху, отличаются именно указанными чертами и представляют из себя, в экономическом смысле, колонии центральной Европейской России, – было уже говорено в своем месте[751]. Еще более приложимо это понятие колонии к другим окраинам, напр., к Кавказу. Экономическое «завоевание» его Россией совершилось гораздо позднее, чем политическое, а вполне это экономическое завоевание не закончено и поныне. В пореформенную эпоху происходила, с одной стороны, сильная колонизация Кавказа[752], широкая распашка земли колонистами (особенно в Северном Кавказе), производившими на продажу пшеницу, табак и пр. и привлекавшими массы сельских наемных рабочих из России. С другой стороны, шло вытеснение туземных вековых «кустарных» промыслов, падающих под конкуренцией привозных московских фабрикатов. Падало старинное производство оружия под конкуренцией привозных тульских и бельгийских изделий, падала кустарная выделка железа под конкуренцией привозного русского продукта, а равно и кустарная обработка меди, золота и серебра, глины, сала и соды, кож и т. д.[753]; все эти продукты производились дешевле на русских фабриках, посылавших на Кавказ свои изделия. Падала обработка рогов в бокалы вследствие упадка феодального строя в Грузии и ее исторических пиров, падал шапочный промысел вследствие замены азиатского костюма европейским, падало производство бурдюков и кувшинов для местного вина, которое впервые стало поступать в продажу (развивая бочарное производство) и завоевывало в свою очередь русский рынок. Русский капитализм втягивал таким образом Кавказ в мировое товарное обращение, нивелировал его местные особенности – остаток старинной патриархальной замкнутости, – создавал себе рынок для своих фабрик. Страна, слабо заселенная в начале пореформенного периода или заселенная горцами, стоявшими в стороне от мирового хозяйства и даже в стороне от истории, превращалась в страну нефтепромышленников, торговцев вином, фабрикантов пшеницы и табака, и господин Купон безжалостно переряживал гордого горца из его поэтичного национального костюма в костюм европейского лакея (Гл. Успенский){108}. Рядом с процессом усиленной колонизации Кавказа и усиленного роста его земледельческого населения шел также (прикрываемый этим ростом) процесс отвлечения населения от земледелия к промышленности. Городское население Кавказа возросло с 350 тыс. в 1863 г. до ок. 900 тыс. в 1897 г. (все население Кавказа возросло с 1851 г. по 1897 г. на 95 %). Нам нет надобности добавлять, что то же самое происходило и происходит и в Средней Азии, и в Сибири, и т. д.
Таким образом возникает естественно вопрос, где же граница между внутренним и внешним рынком? Взять политическую границу государства было бы слишком механическим решением, да и решение ли это? Если Средняя Азия – внутренний рынок, а Персия – внешний, то куда отнести Хиву и Бухару? Если Сибирь – внутренний рынок, а Китай – внешний, то куда отнести Маньчжурию? Подобные вопросы не имеют важного значения. Важно то, что капитализм не может существовать и развиваться без постоянного расширения сферы своего господства, без колонизации новых стран и втягивания некапиталистических старых стран в водоворот мирового хозяйства. И это свойство капитализма с громадной силой проявлялось и продолжает проявляться в пореформенной России.
Следовательно, процесс образования рынка для капитализма представляет две стороны, именно: развитие капитализма вглубь, т. е. дальнейший рост капиталистического земледелия и капиталистической промышленности в данной, определенной и замкнутой территории, – и развитие капитализма вширь, т. е. распространение сферы господства капитализма на новые территории. По плану настоящей работы мы ограничились почти исключительно первой стороной процесса, и поэтому считаем особенно необходимым подчеркнуть здесь, что другая сторона его имеет чрезвычайно важное значение. Сколько-нибудь полное изучение процесса колонизации окраин и расширения русской территории, с точки зрения развития капитализма, потребовало бы особой работы. Нам достаточно отметить здесь, что Россия находится в особенно выгодных условиях сравнительно с другими капиталистическими странами вследствие обилия свободных и доступных колонизации земель на ее окраинах[754]. Не говоря уже об Азиатской России, мы имеем и в Европейской России такие окраины, которые – вследствие громадных расстояний и дурных путей сообщения – крайне еще слабо связаны в хозяйственном отношении с центральной Россией. Возьмем, напр., «дальний север» – губернию Архангельскую; необъятные пространства земли и природных богатств эксплуатируются еще в самой ничтожной степени. Один из главных местных продуктов, лес, шел до последнего времени, главным образом, в Англию. В этом отношении, след., данный район Европейской России служил внешним рынком для Англии, не будучи внутренним рынком для России. Русские предприниматели, конечно, завидовали английским, и теперь, с проведением железной дороги до Архангельска, они ликуют, предвидя «подъем духа и предпринимательскую деятельность в разных отраслях промышленности края»[755].
VI. «Миссия» капитализма
Нам остается еще в заключение подвести итоги по тому вопросу, который получил в литературе название вопроса о «миссии» капитализма, т. е. об его исторической роли в хозяйственном развитии России. Признание прогрессивности этой роли вполне совместимо (как мы старались подробно показать на каждой ступени нашего фактического изложения) с полным признанием отрицательных и мрачных сторон капитализма, с полным признанием неизбежно свойственных капитализму глубоких и всесторонних общественных противоречий, вскрывающих исторически преходящий характер этого экономического режима. Именно народники, которые тщатся из всех сил представить дело так, будто признавать историческую прогрессивность капитализма значит быть апологетом его, именно народники грешат недостаточной оценкой (а подчас и замалчиванием) наиболее глубоких противоречий русского капитализма, затушевывая разложение крестьянства, капиталистический характер эволюции нашего земледелия, образование класса сельских и промысловых наемных работников с наделом, затушевывая полное преобладание низших и худших форм капитализма в пресловутой «кустарной» промышленности.
Прогрессивную историческую роль капитализма можно резюмировать двумя краткими положениями: повышение производительных сил общественного труда и обобществление его. Но оба эти факта проявляются в весьма разнообразных процессах в различных областях народного хозяйства.
Развитие производительных сил общественного труда наблюдается с полной рельефностью лишь в эпоху крупной машинной индустрии. До этой высшей стадии капитализма сохранялась еще ручное производство и первобытная техника, которая прогрессировала чисто стихийным путем и с чрезвычайной медленностью. Пореформенная эпоха резко отличается в этом отношении от предыдущих эпох русской истории. Россия сохи и цепа, водяной мельницы и ручного ткацкого станка стала быстро превращаться в Россию плуга и молотилки, паровой мельницы и парового ткацкого станка. Нет ни одной отрасли народного хозяйства, подчиненной капиталистическому производству, в которой бы не наблюдалось столь же полного преобразования техники. Процесс этого преобразования по самой природе капитализма не может идти иначе, как среди ряда неравномерностей и непропорциональностей: периоды процветания сменяются периодами кризисов, развитие одной отрасли промышленности ведет к упадку другой, прогресс земледелия захватывает в одном районе – одну, в другом – другую сторону сельского хозяйства, рост торговли и промышленности обгоняет рост земледелия и т. д. Целый ряд ошибок народнических писателей проистекает из их попыток доказать, что это непропорциональное, скачкообразное, азартное развитие не есть развитие[756].
Другая особенность развития капитализмом общественных производительных сил состоит в том, что рост средств производства (производительного потребления) далеко обгоняет рост личного потребления: мы указывали не раз, как проявляется это в земледелии и в промышленности. Эта особенность вытекает из общих законов реализации продукта в капиталистическом обществе и находится в полном соответствии с антагонистической природой этого общества[757].
Обобществление труда капитализмом проявляется в следующих процессах. Во-первых, самый рост товарного производства разрушает свойственную натуральному хозяйству раздробленность мелких хозяйственных единиц и стягивает мелкие местные рынки в громадный национальный (а затем мировой) рынок. Производство на себя превращается в производство на все общество, и чем выше развит капитализм, тем сильнее становится противоречие между этим коллективным характером производства и индивидуальным характером присвоения. Во-вторых, капитализм создает на место прежней раздробленности производства невиданную раньше концентрацию его как в земледелии, так и в промышленности. Это – наиболее яркое и наиболее рельефное, но отнюдь не единственное проявление рассматриваемой особенности капитализма. В-третьих, капитализм вытесняет те формы личной зависимости, которые составляли неотъемлемую принадлежность предшествующих систем хозяйства. В России прогрессивность капитализма в этом отношении сказывается особенно резко, так как личная зависимость производителя существовала у нас (отчасти продолжает существовать и поднесь) не только в земледелии, но и в обрабатывающей промышленности («фабрики» с крепостным трудом), и в горнозаводской промышленности, и в рыбной промышленности[758], и пр. По сравнению с трудом зависимого или кабального крестьянина, труд вольнонаемного рабочего представляет из себя во всех областях народного хозяйства явление прогрессивное. В-четвертых, капитализм необходимо создает подвижность населения, которая не требовалась прежними системами общественного хозяйства и была невозможна при них в сколько-нибудь широких размерах. В-пятых, капитализм уменьшает постоянно долю населения, занятого земледелием (в котором всегда господствуют наиболее отсталые формы общественно-хозяйственных отношений), увеличивает число крупных индустриальных центров. В-шестых, капиталистическое общество увеличивает потребность населения в союзе, в объединении и придает этим объединениям особый характер, сравнительно с объединениями прежних времен. Разрушая узкие, местные, сословные союзы средневекового общества, создавая ожесточенную конкуренцию, капитализм в то же время раскалывает все общество на крупные группы лиц, занимающих различное положение в производстве, и дает громадный толчок объединению внутри каждой такой группы[759]. В-седьмых, все указанные изменения старого хозяйственного строя капитализмом неизбежно ведут также и к изменению духовного облика населения. Скачкообразный характер экономического развития, быстрое преобразование способов производства и громадная концентрация его, отпадение всяческих форм личной зависимости и патриархальности в отношениях, подвижность населения, влияние крупных индустриальных центров и т. д. – все это не может не вести к глубокому изменению самого характера производителей, и мы имели уже случай отметить соответствующие наблюдения русских исследователей.
Обращаясь к народнической экономии, с представителями которой нам приходилось постоянно полемизировать, мы можем резюмировать причины нашего разногласия с ними следующим образом. Во-первых, самое понимание того процесса, как именно идет в России развитие капитализма, а равно и представление о том строе хозяйственных отношений, который предшествовал в России капитализму, мы не можем не признать у народников безусловно неправильным, причем особенно важным представляется, с нашей точки зрения, игнорирование ими капиталистических противоречий в строе крестьянского хозяйства (как земледельческого, так и промыслового). Далее, что касается до вопроса о медленности или быстроте развития капитализма в России, то все зависит от того, с чем сравнивать эго развитие. Если сравнивать докапиталистическую эпоху в России с капиталистической (а именно такое сравнение и необходимо для правильного решения вопроса), то развитие общественного хозяйства при капитализме придется признать чрезвычайно быстрым. Если же сравнивать данную быстроту развития с той, которая была бы возможна при современном уровне техники и культуры вообще, то данное развитие капитализма в России действительно придется признать медленным. И оно не может не быть медленным, ибо ни в одной капиталистической стране не уцелели в таком обилии учреждения старины, несовместимые с капитализмом, задерживающие его развитие, безмерно ухудшающие положение производителей, которые «страдают и от капитализма и от недостаточного развития капитализма»{109}. Наконец, едва ли не самая глубокая причина расхождения с народниками лежит в различии основных воззрений на общественно-экономические процессы. Изучая эти последние, народник делает обыкновенно те или другие морализирующие выводы; он не смотрит на различные группы участвующих в производстве лиц, как на творцов тех или иных форм жизни; он не задается целью представить всю совокупность общественно-экономических отношений, как результат взаимоотношения между этими группами, имеющими различные интересы и различные исторические роли… Если пишущему эти строки удалось дать некоторый материал для выяснения этих вопросов, то он может считать свой труд не напрасным.
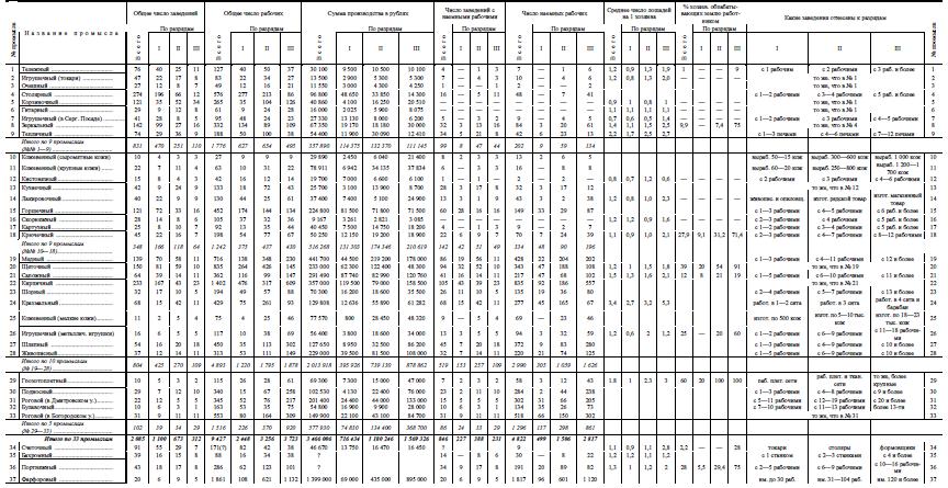
Приложение I (к V главе, стр. 265[760])
Сводная таблица статистических данных о мелких крестьянских промыслах Московской губернии
1) Тире в клетках ставится вместо ноля. Пустая клетка означает: «нет сведений».
2) Промыслы размещены в порядке возрастания числа рабочих (и семейных и наемных вместе), приходящегося в среднем по всему промыслу на одно заведение.
3) К промыслам № 31 и № 33 дана стоимость обрабатываемого сырья, составляющая 50-57% стоимости изделий, т. е. суммы производства.
4) Среднее число лошадей на 1 хозяина, по данным о 19 промыслах, составляет 1,4, по разрядам: I) 1,1; II) 1,5; III) 2,0.
5) Процент хозяев, обрабатывающих землю работником, поданным о 16 промыслах, составляет 12%, а по разрядам: I) 4,5%; II) 16,7%; III) 27,3%.

Приложение II (к главе VII, стр. З61[761])
Свод статистических данных о фабрично-заводской промышленности Европейской России

Примечания
1) Здесь сведены данные о фабрично-заводской промышленности Европейской России за пореформенную эпоху, которые мы могли найти в официальных изданиях, каковы: «Статистический временник Российской империи». СПБ. 1866. I. – «Сборник сведений и материалов по ведомству мин-ва фин.». 1866 г. № 4, апрель, и 1867 г. № 6, июнь. – «Ежегодник министерства фин.». Вып. I, VIII, Х и XII. – «Свод данных о фабрично-заводской промышленности России», изд. департамента торг. и мануф. за 1885–1891 годы. Все эти данные основаны на одном и том же источнике, именно на ведомостях, доставляемых фабрикантами и заводчиками в м-во финансов. О значении этих данных и достоинстве их подробно сказано в тексте книги.