
Молодые практически не успели пожить вместе – началась Великая Отечественная война, и Фёдора мобилизовали. В тяжёлом 1942 году в селе Благодатном (зерносовхоз 12), где тогда жили с семьёй Семён и Екатерина Трофименко, у Инны родилась дочь Тамара. Фёдор был в это время на фронте. Он прослужил всю войну водителем[428], а вернувшись после Победы, хотел увезти семью в Тбилиси, где ему предложили работу в частях Закавказского военного округа.

Но Инна, возможно, побоялась остаться с маленькой Тамарой далеко от семьи родителей, и Фёдор уехал в Тбилиси один. Молодая семья распалась. Тамара вырастет с отчимом, добрым и хорошим человеком, Алексеем Сергеевичем Курицыным[374], заменившим ей отца. А её мать Инна родит ещё сына Юрия[122]. И у второй жены Фёдора Черникова в Тбилиси родится мальчик – и тоже Юрий [119]. Вот так непросто складывается жизнь у многих людей, и главное в ней – сделать так, чтобы принести меньше страдания другим.

Тамара, весёлая, боевая, здоровая девочка, росла в крепком родительском доме, не обделённая ни материнской, ни отцовской лаской. Помогала им с матерью и бабушка Екатерина Митрофановна, работавшая одновременно завучем в средней школе. Вскоре они поменяли и место своего жительства. Дед Семён, который всю жизнь проработал врачом, в том числе в госпиталях, после ухода немцев с Кавказа перевёз семью из Благодатного в село Константиновка под Пятигорском на реке Подкумок, но в 1947 году он внезапно скончался там от сердечного приступа. Ему исполнился всего 61 год[429].


Константиновка, ставшая для Тамары местом её детства и ранней юности, имела необычную историю. Поселение было основано в 1836 году самовольно российскими немцами, выходцами из Поволжья, как одна из первых немецких колоний на Северном Кавказе, меннонитско-лютеранское село Бетания (Bethanien)[430]. Однако царская власть не захотела утверждать такое название и переименовала в том же году село в Константиновку в честь второго сына императора Николая I, Великого князя Константина Романова. Жители не сдались и продолжали считать, что они живут в Бетании вплоть до своего выселения с родины в 1942 году.
Как практически все сёла российских немцев, Константиновка-Бетания выглядела ухоженным маленьким раем, была экономически развита. В 1895 году там была построена кирха (лютеранская церковь), в 1889 – открыта школа. К концу XIX века в селе проживали 387 мужчин и 380 женщин, имелись 1 питейное заведение, 1 мелочная лавка, 1 кузня, 2 мельницы[431].


Константиновские немцы не остались в стороне от событий Гражданской войны, в селе даже был сформирован отряд красноармейцев, который почти весь был расстрелян белыми 22–23 января 1919 года. Впоследствии в селе были установлены два одинаковых памятника погибшим в Гражданскую и Великую Отечественную войну односельчанам.
На первом выбиты только немецкие фамилии, на втором – только русские… Так и стоят они вместе на сельской площади.

К 1926 году из 1339 жителей села 1338 были немцами[432]. В 1931 году селяне, послушные воле советской власти, даже успели организовать в Константиновке колхоз с боевым названием «Фриш анс Верк» (нем. «Бодро за дело!»), новоиспечённые колхозники заложили виноградники и в 1934 году начали строительство винодельни. В 1939 году в селе была построена своя небольшая ГЭС.
Но с началом Великой Отечественной войны всех немцев от мала до велика с территории Европейской России принудительно депортировали на восток, на Урал, Алтай, в Казахстан и Сибирь как потенциальных предателей и пособников германских фашистов[433]. Жителей Константиновки эта участь постигла в январе 1942 года. Им пришлось оставить всё: дома, скот и птицу, мебель. Виноградники и сады не успели погибнуть в период гитлеровской оккупации, а сразу после неё в Константиновку приехали новые жители, в том числе семья Семёна Авксентьевича Трофименко. Дом, в котором они поселились, был хорошим, крепким, с большим двором и хозяйственными постройками, где вскоре вновь появились корова, свинья, куры. При доме рос прекрасный сад с кустами сирени и ягодниками. Пирамидальные тополя уносили свои ветви к небу.


Цветущие палисадники делали Константиновку особенно нарядной, продолжил работу местный винсовхоз[434], где Инна Семёновна с сестрой Викторией работали бухгалтерами.



Семья Трофименко-Черниковых даже после кончины её главы Семёна Авксентьевича не бедствовала, Тамара помнит о подарках к каждому празднику – ей дарили кукол, шили каждый раз новое платье. Дома царили уважительные отношения взрослых между собой и с детьми, никогда не было слышно грубого слова, детей звали уменьшительно-ласкательными именами, старшие помогали младшим, всегда были рядом и готовы поддержать. Тамара выросла среди добра и радости, не видела ничего плохого вокруг себя, обладала твёрдым чистым характером. Окончив школу, стала работать на почте в Пятигорске с надеждой поступить в институт и продолжить своё образование. Там её и встретил уроженец станицы Марьинской и выходец из старинной казачьей семьи, потерявший в войну отца молодой инженер и выпускник Северо-Кавказского горно-металлургического института (СКГМИ) Анатолий Дьякóв[94] – к тому времени комсомольский вожак города, уже решивший, что станет в будущем министром. Через месяц после знакомства они поженились. Но неизвестно, что бы в действительности случилось с Анатолием, не будь всегда рядом его Тамары – цельной, яркой натуры, одинаково хорошо проявившей себя и в роли жены вечно пропадавшего на работе и в командировках неугомонного молодого инженера, и в роли работающей матери двух дочерей, и в статусе представительной супруги первого министра топлива и энергетики Российской Федерации, которым Дьякóв в конце концов и стал. Как ей удалось сохранить лад в семье во всех этих коллизиях, постоянно работать самой и поддерживать мужа в его напряжённой жизни и непростых делах, лучше всего может знать только она сама.

СПИСОК СОКРАЩЕНИЙ
ВГУ – Воронежский государственный университет (Воронеж)
ВКП (б) – Всесоюзная Коммунистическая партия (большевиков)
ГАДО – Государственный архив Днепропетровской области (Днепр, Украина)
ГАКК – Государственный архив Краснодарского края (Краснодар)
ГАКО – Государственный архив Кировоградской области (Кропивницкий, Украина)
ГБУТО «ГА в г. Тобольске» – Государственное бюджетное учреждение Тюменской области «Государственный архив в г. Тобольске» (Тобольск)
ГИАОО – Государственный исторический архив Омской области (Омск)
ГКАУ ГАСК – Государственное казённое архивное учреждение «Государственный архив Ставропольского края» (Ставрополь)
ГКУ АО «ГААО» – Государственное казённое учреждение Астраханской области «Государственный архив Астраханской области» (Астрахань)
КУВО «ГАВО» – Казённое учреждение Воронежской области «Государственный архив Воронежской области» (Воронеж)
ОГКУ «ГАБО» – Областное государственное казённое учреждение «Государственный архив Белгородской области» (Белгород)
ОГМИ – Омский государственный медицинский институт (Омск)
ОКУ «Госархив Курской области» – Областное казённое учреждение «Государственный архив Курской области» (Курск)
РГАДА – Российский государственный архив древних актов (Москва)
РГАСПИ – Российский государственный архив социально-политической истории (Москва)
РГБУ «ЦГА РСО-Алания» – Республиканское государственное бюджетное учреждение «Центральный Государственный архив Республики Северная Осетия – Алания» (Владикавказ)
РГВА – Российский государственный военный архив (Москва)
РГВИА – Российский государственный военно-исторический архив (Москва)
РГИА – Российский государственный исторический архив (Санкт-Петербург)
РККА – Рабоче-крестьянская Красная армия
СКГМИ – Северо-Кавказский горно-металлургический институт (Орджоникидзе)
СНК РСФСР – Совет Народных Комиссаров Российской Советской Федеративной Социалистической Республики
СССР – Союз Советских Социалистических республик
ПСЗРИ – Полное собрание законов Российской империи
ПСС – полное собрание сочинений
СибУЛОН – лагерь для репрессированных в западносибирском регионе в сталинский период советской истории, организован в 1929 году. Его центр находился попеременно в Мариинске и в Новосибирске.
УМВД – Управление Министерства внутренних дел
УЦГА АС КБР – Управление Центрального государственного архива Архивной службы Кабардино-Балкарской республики (Нальчик)
ХГМИ – Хабаровский государственный медицинский институт (Хабаровск)
ЦКБ – Центральная клиническая больница (Москва)
ЧОН – Части Особого Назначения
ЮРГПУ (НПИ) – Южно-Российский государственный политехнический университет имени М.И. Платова (Новочеркасск)
ИМЕННЫЕ УКАЗАТЕЛИ

ИМЕНА СОВРЕМЕННЫЕ (НАРОДНЫЕ) И ЦЕРКОВНЫЕ (ТРАДИЦИОННЫЕ)

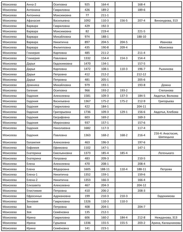
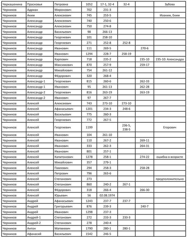
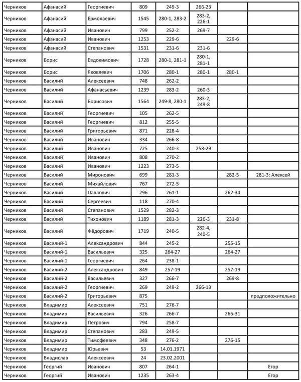
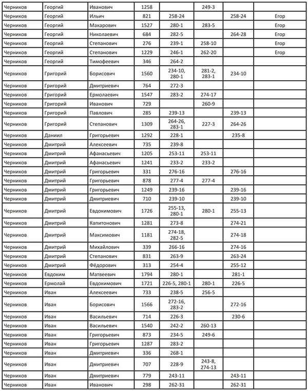
ИМЕННОЙ УКАЗАТЕЛЬ (ПО ФАМИЛИЯМ)















































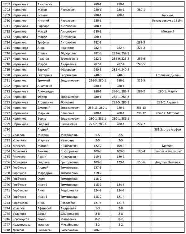
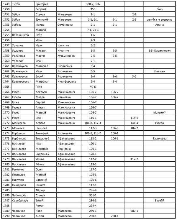
ИМЕННОЙ УКАЗАТЕЛЬ (ПО НОМЕРАМ В РОДОСЛОВНОМ ДРЕВЕ)














































ПЕРЕЧЕНЬ ДОКУМЕНТОВ ПО НОМЕРАМ
Ревизские сказки (Зубовы-Красноусовы):
• 2-я ревизия 1747-8 года (1)
• 3-я ревизия 1762 года (2)
• 4-я ревизия 1782 года (3)
• 5-я ревизия 1795 года (4)
• 6-я ревизия 1812 года (5)
Дозорная книга города Тары 1701 года (6) (Зубовы-Красноусовы)
Метрические книги и исповедные росписи (Зубовы-Красноусовы):
• 1788 год (7)
• 1789 год (8)
• 1790 год (9)
• 1791 год (10)
• 1792 год (11)
• 1793 год (12)
• 1794 год (13)
• 1796 год (14)
• 1797 год (15)
• 1799 год (16)
• 1800 год (17)
• 1801 год (18)
• 1802 год (19)
• 1803 год (20)
• 1804 год (21)
• 1809 год (22)
• 1810 год (23)
• 1814 год (24)
• 1815 год (25)
• 1816 год (26)
• 1817 год (27)
• 1820 год (28)
• 1821 год (29)
• 1822 год (30)
• 1823 год (31)
• 1824 год (32)
• 1825 год (33)
• 1826 год (34)
• 1827 год (35)
• 1829 год (36)
• 1830 год (37)
• 1831 год (38)
• 1832 год (39)
• 1833 год (40)
• 1835 год (41)
• 1837 год (42)
• 1839 год (43)
• 1840 год (44)
• 1841 год (45)
• 1843 год (46)
• 1844 год (47)
• 1846 год (48)
• 1848 год (49)
• 1849 год (50)
• 1850 год (51)
• 1851 год (52)
• 1853 год (53)
• 1854 год (54)
• 1855 год (55)
• 1856 год (56)
• 1858 год (57)
• 1859 год (58)
• 1860 год (59)
• 1861 год (60)
• 1862 год (61)
• 1863 год (62)
• 1864 год (63)
• 1865 год (64)
• 1866 год (65)
• 1867 год (66)
• 1869 год (67)
• 1870 год (68)
• 1871 год (69)
• 1872 год (70)
• 1874 год (71)
• 1875 год (72)
• 1876 год (73)
• 1877 год (74)
• 1881 год (75)
• 1882 год (76)
• 1883 год (77)
• 1884 год (78)
• 1885 год (79)
• 1886 год (80)
• 1887 год (81)
• 1888 год (82)
• 1890 год (83)
• 1891 год (84)
• 1892 год (85)
• 1894 год (86)
• 1897 год (87)
• 1898 год (88)
• 1901 год (89)
• 1902 год (90)
• 1904 год (91)
• 1905 год (92)
• 1907 год (93)
• 1908 год (94)
• 1909 год (95)
• 1910 год (96)
• 1911 год (97)
• 1912 год (98)
• 1914 год (99)
• 1915 год (100)
• 1916 год (101)
• 1918 год(102)
Окладные книги XVII в. – Красноусовы (103)
Рекрутские списки (Зубовы-Красноусовы):
• Рекрутский список за 1829 год (104)
• Рекрутский список за 1864 год (105)
Ревизские сказки (Моисеевы):
• 4-я ревизия 1782 года (106)
• 6-я ревизия 1811-12 года (107)
• 7-я ревизия 1815-23 годов (108)
• 8-я ревизия 1834 года (109)
• 9-я ревизия 1850 года (110)