

где Y j,t+i – потенциальный ВВП j-й страны в момент времени t+i; i – шаг времени.
Далее введем в модель параметр ожидаемого темпа роста ВВП, обозначив его применительно к данной стране как φj. Если этот параметр вводится как постоянный для обозримого будущего, то формула (1.1) преобразуется к виду:

Показатель долгового потенциала может найти разные применения в вопросах анализа долга и долговых проблем. Рассматривая вопрос с позиции эмитентов долга, уместно видеть использование данного показателя как ориентира при выстраивании осмотрительной и осторожной долговой политики, при которой размеры долга не превышали бы возможности экономики создавать доходы, достаточные для его обслуживания. Изучая проблемы инвестиционных решений, показатель долгового потенциала также крайне востребован, поскольку с его помощью (и с помощью составляющих его компонентов) можно отследить, например, насколько адекватной является рыночная оценка долговых обязательств того или иного правительства, и нет ли противоречий между этой оценкой и оценками, делаемыми кредитными рейтинговыми агентствами.
В частности, в ранее цитируемой работе Л. Бутильоне с соавт. (2014) показано, что неверные оценки потенциального выпуска или ошибки в оценке ставки дисконтирования или темпов роста ВВП различных стран вели к ошибкам в оценке долгового потенциала и неверным политическим решениям или проблемам со стороны инвесторов, покупающих долговые обязательства, относящиеся к данным странам. В качестве примеров авторами рассмотрены кейсы Греции[22], Ирландии[23] и Италии[24].
Отдельную группу показателей, используемых в анализе долга на макроуровне, составляют показатели, характеризующие устойчивость долга, а также тяготу долговых обязательств для заемщиков (эмитентов долговых обязательств). К первым и названных следует отнести такой показатель, входящий в число показателей мирового развития Всемирного банка (WDI)[25], как «Необслуживаемые кредиты к общей сумме кредитов банков (%)».
Ко второй категории следует отнести такие показатели, как «Кредитное плечо» (или левередж, leverage), которое на агрегированном уровне выражается как отношение суммы долговых обязательств определенной категории заемщиков (институциональных единиц) к их доходу. Левередж хорошо помогает отслеживать рост тяготы долга, появление признаков избыточного кредитования и предсказывать возникновение финансовых уязвимостей.
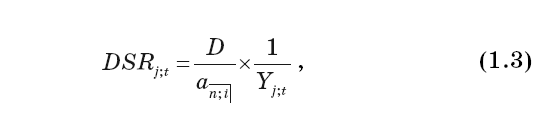
Другим важным в обозначенном смысле индикатором является коэффициент обслуживания долга (debt service ratio, DSR). Данный индикатор отражает долю расходов, покрывающих выплату процентов и амортизацию долга, в доходах (страны, региона, сектора). Эти расходы заемщиков определяются ранее принятыми финансовыми решениями и могут повлиять на устойчивость заемщиков в случае колебаний доходов, а также изменений иных обстоятельств, складывающихся на рынке залогов, денежном рынке и пр.
Приведем формулу расчета показателя DSR, принятую Банком международных расчетов[26]. Она строится на стандартной формуле расчета расходов заемщика по кредиту с амортизацией долга на текущий (ближайший) период (год)[27]. Агрегированный показатель DSR для сектора j в момент времени t рассчитывается следующим образом:

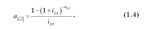
где Dj,t– общий объем долга сектора j в момент времени t, Yj,t– совокупный доход, доступный для платежей по обслуживанию долга[28], an;i – коэффициент приведения финансовой ренты постнумерандо, вычисляемый по формуле:

где ij,t– средняя процентная ставка по существующей сумме долга[29], nj,t – средний оставшийся срок погашения по всей сумме долга[30].
Принимая во внимание то, что агрегированный DSR рассчитывается с учетом существенных допущений, которые вовсе не обязательно соответствуют условиям конкретной страны и конкретного институционального сектора[31] и могут не отражать значимые институциональные и поведенческие факторы, предпочтительным случаем использование данного показателя является анализ динамики DSR, в том числе сравнение траекторий движения показателя в межстрановых выборках.
В работе представителей Банка России С.В. Шереметы и А.Н. Могилат (2018) индикатор «Коэффициент обслуживания долга (КОД)» предлагается использовать для измерения долговой нагрузки на страновом уровне [32]. Авторы определяют КОД «как отношение потока платежей по накопленному долгу (включая выплату процентов и погашение основной части долга) к величине текущих доходов» и вводят следующие расшифровки в легенде формулы (условные обозначения приведены в соответствие с пояснениями к формулам (1.3) и (1.4)): Dt — величина совокупной задолженности по кредиту нефинансовому сектору со стороны банков; it– средневзвешенная ставка процента по выданным кредитам; nt — средневзвешенный срок до погашения заимствований (без учета операций до 1 месяца, операций овердрафт и кредитов овернайт); Yt– текущий доход (в масштабе национальной экономики – ВВП); Dt/Yt– отношение долга частного нефинансового сектора перед банками к ВВП.
Эти же авторы называют и анализируют основные факторы, определяющие уровень и динамику КОД:
«В краткосрочной перспективе КОД более чувствителен к изменению срочности кредитов и ценных бумаг, а также процентных ставок, чем к динамике долга частного нефинансового сектора. Это связано с некоторой инерционностью отношения долга к ВВП, а также с высокой волатильностью ценовых показателей, например, ставки процента. Вместе с тем влияние ставок процента и срочности на динамику КОД обратное: при росте ставок процента долговая нагрузка увеличивается, а при росте срочности заимствований – уменьшается. Поэтому вклад изменения ставок процента в динамику КОД частично компенсируется вкладом изменения срочности заимствований. Кроме того, на длинном периоде наблюдается обратная зависимость между динамикой ставки процента и срочности»[33].
Такая зависимость КОД от ставки процента и срочности долга определяет возможность проследить, насколько этот показатель чувствителен к определенному курсу денежно-кредитной политики. Известно, что страны, придерживающиеся режима инфляционного таргетирования, достигают снижения уровня и волатильности инфляции. Это, в свою очередь, дает возможность снизить и стабилизировать ставку процента. В финансовой системе при этом повышается доверие, растут сроки долговых контрактов, изменяется их структура (за счет роста доли, приходящейся на облигации). Таким образом, коэффициент обслуживания долга должен стремиться к относительно более низким значениям (а также демонстрировать более низкий уровень вариации) в тех экономиках, в которых денежные регуляторы придерживаются политики инфляционного таргетирования.
В цитируемой методологической работе Банка международных расчетов показано, что агрегированный DSR дает более полную оценку долгового бремени, чем отношение долга к доходу или показатели процентных выплат по отношению к доходу, поскольку учитывает как процентные платежи, так и выплаты основного долга. Это хорошо иллюстрируется межстрановыми сопоставлениями (см. рис. 1.2), в частности, представленными в исследовании (Дреманн М., Илес А., Юселиус М., Сантос М. (2015))[34].

Рисунок 1.2. Динамика показателей тяготы долга частного нефинансового сектора, Германия, Япония, Франция, Южная Корея, темпы роста, 2000–2020 гг., Debt service ratio, разность год к году
Источник: рассчитано и построено на основе данных Банка международных расчетов. URL: https://www.bis.org/statistics/ dsr.htm?m=6%7C380%7C671 (дата обращения 12.02.2021).
Как показывают выше названные авторы, индикатор «Отношение долга к доходу» Франции и Кореи рос с начала 2000-х гг. В то же время, так как процентные ставки в этот период снижались, тенденцию к снижению имел показатель «Отношение процентных выплат к доходу». Это говорит о том, что домашние хозяйства и бизнес могли принимать на себя большие суммы долговых обязательств при той же сумме дохода.
Анализ динамики индикатора DSR (рис. 1.2) позволяет сделать следующее замечание. В случае Кореи агрегированный показатель DSR частного нефинансового сектора после кризисных событий 2008 г. некоторое время устойчиво колебался вокруг среднего, но в период последних пяти лет увеличивается. В свою очередь, для Франции, увеличение отношения долга к доходу после 2008 г. перевесило падение процентных ставок, что привело к общему росту DSR, а следовательно, финансовой нагрузки, связанной с обслуживанием долга, однако это давление ослабевало в последние 4–5 лет.
Завершая обсуждение индикатора DSR, добавим, что он может быть использован для раннего предупреждения системных банковских кризисов[35]. О повышении вероятности наступления такого кризиса свидетельствует предшествующий ему быстрый рост DSR. Такую картину, в частности, можно было наблюдать в Испании, Великобритании и США в преддверии событий 2007–2008 гг. В первую очередь, речь идет о существенном скачке агрегированных DSR домашних хозяйств в этих странах, а в Испании и Великобритании рост затронул и DSR нефинансовых корпораций.
Отношение долга к доходу и коэффициент DSR используются при оценке устойчивости долга в смысле готовности должника обслуживать свои долги. Той же цели служит показатель чистой стоимости долга. Этот же показатель может выражаться как чистое финансовое богатство применительно к определенному сектору [36]. Расчет показателя осуществляется по простой формуле «стоимость активов сектора минус стоимость его обязательств». Показатель важен для выяснения характеристик долга, поскольку погашение долга может осуществляться не только за счет доходов сектора и его субъектов. Если речь идет о нефинансовых корпорациях, их долги в значительной доле обеспечены их же активами, так что долг может быть погашен путем передачи активов кредиторам. Если речь идет о государственном секторе, имея ликвидные активы, данный сектор обеспечивает себя дополнительной страховкой на случай возникновения сложностей с обслуживанием долга за счет текущих поступлений и барьеров, препятствующих рефинансированию через новые займы[37].
Наконец, в завершение параграфа укажем на то, что при оценке устойчивости долга часто требуется подключать анализ не только показателей, содержащих размер долга сам по себе, но и сопряженных индикаторов. Это могут быть темпы роста экономики, цены на активы – в особенности те, которые служат предметом залога в долговых контрактах, спреды процентных ставок, указывающие на размер рисков, ликвидность рынков и пр. В отношении многих экономик именно комплексное использование ряда показателей может являться условием раннего обнаружения и предупреждения системных рисков, связанных с долгом.
1.2. Теоретические основы анализа долга и его эффектов
Необходимость изучения долга как экономического феномена обусловлена разными соображениями, относящимися к сферам экономической политики, инвестиционной практики, корпоративного управления и к соответствующим областям экономической теории. Так, одной из очевидных причин, актуализирующих изучение долга, являются возможные последствия его накопления. Обратимся к страновому уровню анализа. Наиболее часто здесь доминирует понимание того, что чрезмерное накопление задолженности и плохая структура долга (высокая доля потенциально уязвимых с точки зрения обслуживания и возврата долгов, относящихся к определенной категории заемщиков и/или форм долга) могут стать причиной очередного финансового и экономического кризиса. Весомые аргументы в пользу этой закономерности приведены в работах К. Рейнхарт и К. Рогоффа (2009)[38], П. Гуринхаса и М. Обстфельда (2012)[39] и Л. Катао и Г. Милези-Ферретти (2013)[40], а также многих других авторов.
Другая мотивация изучения долга состоит в том, что долг как экономическое явление существует столько, сколько существует человеческая цивилизация, и в современный нам отрезок истории его роль в развитии общества, прежде всего ее материальной стороны, была чрезвычайно высока и (если рассматривать вопрос под известным углом зрения) позитивна. Можно обнаружить, что это замечание распространяют как на некоторые эпизоды экономической истории стран или мира в целом[41], так и на всю новейшую историю цивилизации. Отдельное направление здесь – видение связи между долгом и долгосрочным экономическим ростом. Это нетривиальная теоретическая задача, поскольку долг зачастую влечет противоречивые последствия для экономики. С одной стороны, расширение кредита способствует росту (часто считается, что это происходит, преимущественно, в краткосрочном периоде, однако такая закономерность не может быть признана доказанной), с другой стороны, перенакопление долга может привести к повышению риска дефолта, вероятности наступления рецессии, а также и ограничениям для роста, вызывающим снижение долгосрочных его темпов.
Было бы неверно говорить, что проблема долга обсуждается только с крайних позиций – его потенциального вреда для экономики или безусловной пользы. Важнейший вопрос, все еще требующий своего решения, состоит в том, каковы условия полезного (с точки зрения роста экономики и максимизации благосостояния ее субъектов) накопления долга. В этой связи укажем на проведенное О. Бланшаром (2019)[42] исследование публичного долга, в котором автор сконцентрировался на изучении динамики долга и проблеме его безопасного для экономики уровня в контексте совместной эволюции процентных ставок, темпов экономического роста и среднего предельного продукта капитала.
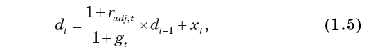
Покажем одно из базовых аналитических выражений, используемых автором, помогающих представлять динамику коэффициента «Долг к ВВП» в рекуррентной форме:

где dt– коэффициент «Долг к ВВП»; radj, t – процентная ставка, скорректированная с учетом налогового корректора и усредненная с учетом длительности держания долга частным сектором; gt — темп роста ВВП[43]; xt – отношение «Первичный дефицит к ВВП».
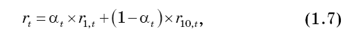
В свою очередь, процентная ставка корректируется с учетом налогов, уплачиваемых некоторыми категориями инвесторов по доходам от получаемых процентов, согласно формуле:

где τt — неявная ставка налога; βt – доля держателей долга, которые, подлежат налогообложению; rt– усредненная с учетом длительности держания долга частным сектором процентная ставка, вычисляемая по формуле:

где r1t и r10 t — процентная ставка (ставка доходности вторичного рынка) по 1-летним и 10-летним государственным облигациям, соответственно; параметр at вычисляется по формуле:
at = (10 – средний срок погашения в годах) / 9. (1.8)
Общий вывод, полученный О. Бланшаром в результате проведенного моделирования, таков, что чистый эффект благосостояния от положительной динамики долга и трансферта долга в цепочке поколений будет положительным, если безопасная процентная ставка достаточно низка (номинальные ставки по государственным облигациям ниже номинальных темпов экономического роста), а средний маржинальный продукт не слишком высок (средний предельный продукт капитала не превышает средний темп роста экономики) [44].
В настоящем исследовании авторы затрагивают проблему избыточного долга и исследуют ее в большей мере с опорой на эмпирический материал. В разных частях книги эта проблема частично описывается также в теоретическом ключе, опираясь на логику и достижения работ предшественников.
Уровень заемных средств институциональных секторов экономики не только могут сами по себе быть фактором, сдерживающим экономический рост или повышающим волатильность роста, но и опосредованно негативно влиять на макроэкономику. Это происходит вследствие того, что избыточная закредитованность повышает уязвимость реальной экономики перед финансовыми потрясениями. Такое происходит, когда в ответ на изменения финансовых условий наблюдается такая негативная реакция уровня расходов и производственного потенциала, которая содержит в себе влияние избыточной кредитной нагрузки секторов. Изучением подобных эффектов в последнее время были заняты ряд известных ученых и коллективов (например, Б. Бернанке, М. Гётлер (1989)[45]; Э. Mendoza (2010)[46]; Дж. Эггертсон и П. Кругман (2012)[47]; П. Мартин и Т. Филиппон (2017)[48]), выводы которых чрезвычайно ценны с точки зрения проведения эффективной фискальной и макропруденциальной политики.
Наконец, еще один важный как с теоретической, так и с практической точки зрения вопрос состоит в том, имеет ли значение структура долга (в противовес абсолютным значениям) и ее динамика. Дж. Эггертсон и П. Кругман (2012) на этот счет высказываются в том ключе, что уровень долга сам по себе не имеет значения. Он становится значим только в том случае, если игроки с высоким и, напротив, низким уровнем долга сталкиваются с отличными ограничениями, иными словами долг имеет значение при рассмотрении того, как он распределен, и как и на кого это накладывает ограничения. Это замечание ведет к тому заключению, что дополнительные заимствования и рост долга одного сектора экономики могут помочь решить проблемы, возникшие из-за чрезмерного заимствования других участников в прошлом. В частности, «государственные расходы, финансируемые за счет дефицита, могут, по крайней мере в принципе, позволить экономике избежать безработицы и дефляции, в то время как агенты частного сектора с крупной задолженностью получают возможность восстановить свои балансы»[49].
1.3. Состояние и тенденции долга нефинансового сектора
В недавнем исследовании М. Кэнера, К. Фэна и Т.Дж. Греннеса (2019) авторы показывают, что, если в некоторой стране государственный долг превышает 100 % от валового внутреннего продукта (далее – ВВП), а частный долг превышает 137 %, с высокой вероятностью темпы экономического роста в данной стране замедлятся[50]. Хотя эти результаты не являются вполне новыми, и также их нельзя считать применимыми универсально, например, по причине того, что они не затрагивают условий, в которых происходит рост долговой нагрузки экономик, а также прогнозных характеристик выпуска, процентной ставки и пр., они все же свидетельствуют об остроте проблемы долга в контексте перспектив экономического роста.
Конец ознакомительного фрагмента.
Текст предоставлен ООО «ЛитРес».
Прочитайте эту книгу целиком, купив полную легальную версию на ЛитРес.
Безопасно оплатить книгу можно банковской картой Visa, MasterCard, Maestro, со счета мобильного телефона, с платежного терминала, в салоне МТС или Связной, через PayPal, WebMoney, Яндекс.Деньги, QIWI Кошелек, бонусными картами или другим удобным Вам способом.
Примечания
1
См., например, Giannone D., Lenza M., Reichlin Market Freedom and the Global Recession // IMF Economic Review. 2011. 59 L. (1). Р. 111–135; Lane P., Milesi-Ferretti G.M. Global Imbalances and External Adjustment after the Crisis // IMF Working Paper. 2014. № 14/151.
2
Bank for International Settlements. URL: https://stats.bis. org/statx/toc/CRE.html
3
The World Bank Group. URL: https://www.worldbank.org/en/ publication/gfdr/gfdr-2016/data/global-financial-development-database (June 2017 Version (Updated)).
4
International Monetary Fund. URL: https://www.imf.org/ external/pubs/ft/weo/2020/01/weodata/download.aspx
5
Organisation for Economic Cooperation and Development. URL: https://data.oecd.org/gga/general-government-financial-wealth.htm#indicator-chart
6
Банк России. URL: https://www.cbr.ru/; https://www.cbr.ru/ statistics/
7
Министерство финансов Российской Федерации. URL: https://minfin.gov.ru/ru/statistics/; https://minfin.gov.ru/ru/ perfomance/public_debt/policy/
8
Board of Governors of the Federal Reserve System. URL: https://www.federalreserve.gov/releases/z1/; Federal Reserve Bank of St. Louis. URL: https://fred.stlouisfed.org/series/
9
Например, Бюро экономического анализа, https://www.bea.gov/
10
Таким образом, к данной категории долга следует отнести те объемы задолженности, которые определяются в национальной финансовой статистике, как государственные гарантии.
11
См.: Шеремета С.В., Могилат А.Н. Анализ долговой нагрузки и кредита нефинансовому сектору: оценки для России и межстрановые сопоставления // Вопросы экономики. 2018. № 5. С. 28. Авторы сообщают, что указанная методика расчета показателя долга частного нефинансового сектора используется МВФ, Всемирным банком (International Financial Statistics) и ФРС США. Этот же показатель берется при расчете указанными ведомствами индикатора «Долг частного нефинансового сектора к ВВП».
12
Так, опыт показывает, что кредитные потоки, получаемые резидентами от иностранных кредиторов и инвесторов, довольно изменчивы в конъюнктурном или ином плане. В частности, приток таких ресурсов может внезапным приостанавливаться в периоды глобального экономического стресса. Кроме того, корпоративные заемщики, представляющие как финансовый, так и нефинансовый сектора, активно использующие зарубежные кредиты и выпуски ценных бумаг, ориентированные на их покупку нерезидентами, оказываются уязвимы в ситуации сильного оттока капитала. Точно так же корпорации, которые занимают в иностранной валюте, могут столкнуться с проблемами пролонгации своего долга, когда местная валюта обесценивается или глобальные условия финансирования в долларах ужесточаются.
13
См., например: Криничанский К.В. Денежные потоки: методические вопросы измерения // Финансовые рынки и банки. 2020. № 3. С. 61–65.
14
Подробнее об этом – в гл. 2.
15
В терминологии Всемирного Банка – “Liquid liabilities to GDP (%)”.
16
Здесь и далее, если не оговорено иное, выборка стран включает следующие 47 объектов – стран и групп стран: Аргентина, Австралия, Австрия, Бельгия, Бразилия, Великобритания, Венгрия, Германия, Гонконг (провинция Китая), Греция, Дания, Израиль, Индия, Индонезия, Ирландия, Испания, Италия, Канада, Китай, Колумбия, Корея, Люксембург, Малайзия, Мексика, Нидерланды, Новая Зеландия, Норвегия, Польша, Португалия, Россия, Саудовская Аравия, Сингапур, Финляндия, Франция, Чехия, Чили, Швеция, Швейцария, Таиланд, Турция, США, Южная Африка, Япония, страны еврозоны, страны G20, страны с развитой экономикой, страны с развивающейся рыночной экономикой.
17
См. определения внутреннего и внешнего долга в: Бюджетный кодекс Российской Федерации от 31.07.1998 г. № 145-ФЗ, ст. 6.
18
Например, в методологии, используемой Банком международных расчетов, при расчете индикатора DSR – debt service ratio (подробнее об индикаторе см. п. 1.1.4) показатель среднего оставшегося срока погашения по агрегированному долгу принимается равным 18-ти годам для сектора домашних хозяйств и 13-ти годам для нефинансового корпоративного сектора.
19
См.: Криничанский К.В. Рынок ценных бумаг: Учебное пособие. 2-е изд., перераб. и доп. М.: Дело и Сервис, 2010. С. 486. потребительского кредитования, состоянии и динамики рынка жилой недвижимости, динамики доходов домохозяйств и пр.
20
Buttiglione L., Lane P., Reichlin L., Reinhart V. Deleveraging, what deleveraging? Geneva Report on the World Economy No. 16, 2014. CEPR Press. URL: https://cepr.org/sites/default/files/news/Geneva16_0.pdf (дата обращения 05.09.2020).