
Table 1.2 The probability of each number appearing on each die in the three different scenarios, one fair and two unfair.

When rolling the fair pair and plotting the histogram of the possible sums, the distribution is symmetric about the mean and has a skew of zero. However, the distributions when rolling the unfair dice are skewed, as shown in Figures 1.3(a) and (b).
The skew of a distribution is classified according to where the majority of the distribution mass is concentrated. Remember that the positive side is to the right of the mean and the negative side is to the left. The histogram in Figure 1.3(a) has a longer tail on the positive side and has the most mass concentrated on the negative side of the mean: This is an example of positive skew (skew = 0.45). The histogram in Figure 1.3(b) has a longer tail on the negative side and has the majority of the mass concentrated on the positive side of the mean: This is an example of negative skew (skew = –0.45).
When a distribution has skew, the interpretation of standard deviation changes. In the example with fair dice, the expected value of the experiment is


Figure 1.3 (a) A histogram for 100,000 simulated dice rolls with unfair dice, biased such that smaller numbers (2 and 3) are more likely to appear on each die. (b) A histogram for 100,000 simulated dice rolls with unfair dice, biased such that larger numbers (4 and 5) are more likely to appear on each die.
Mathematicians and scientists have encountered some probability distributions repeatedly in theory and applications. These distributions have, in turn, received a great deal of study. Assuming the underlying distribution of an experiment resembles a well known form can often greatly simplify statistical analysis. The normal distribution (also known as the Gaussian distribution or the bell curve) is arguably one of the most well‐known probability distributions and foundational in quantitative finance. It describes countless different real‐world systems because of a result known as the central limit theorem. This theorem says, roughly, that if a random variable is made by adding together many independently random pieces, then, regardless of what those pieces are, the result will be normally distributed. For example, the distribution in the two‐dice example is fairly non‐normal, being relatively triangular and lacking tails. If one considered the sum of more and more dice, each of which is an independent random variable, the distribution would gradually take on a bell shape. This is shown in Figure 1.4.
The normal distribution is a symmetric, bell‐shaped distribution, meaning that equidistant events on either side of the center are equally likely and the skew is zero. The distribution is centered around the mean, and outcomes further away from the mean are less likely. The normal distribution has the intriguing property that 68% of occurrences fall within



These probabilities can be used to roughly contextualize distributions with similar geometry. For example, in the fair dice pair model, the expected value of the fair dice experiment was 7.0, and the standard deviation was 2.4. With the assumption of normality, one would infer there is roughly a 68% chance that future outcomes will fall between five and nine. The true probability is 66.67% for this random variable, indicating that the normality assumption is not exactly correct but can be used for the purposes of approximation. As more dice are added to the example, this approximation becomes increasingly accurate.

Figure 1.4 A histogram for 100,000 simulated rolls with a group of fair, six‐sided dice numbering (a) 2, (b) 4, or (c) 6.
Understanding distribution statistics and the properties of the normal distribution is incredibly useful in quantitative finance. The expected return of a stock is usually estimated by the mean return, and the historic risk is estimated with the standard deviation of returns (historical volatility). Stock log returns are also widely assumed to be normally distributed. Although, this is only approximately true because the overwhelming majority of stocks and ETFs have skewed returns distributions.5 Regardless, this normality estimation provides a quantitative framework for expectations around future price moments. This approximation also simplifies mathematical models of price dynamics and options pricing, the most notable of which is the Black‐Scholes model.

Figure 1.5 A detailed plot of the normal distribution and the corresponding probabilities at each standard deviation mark.
The Black‐Scholes Model
The Black‐Scholes options pricing formalism revolutionized options markets when it was published in 1973. It provided the first popular quantitative framework for estimating the fair price of an option according to the contract parameters and the characteristics of the underlying. The Black‐Scholes equation models the price evolution of a European‐style option (an option that can only be exercised at expiration) within the context of the broader financial market. The corresponding Black‐Scholes formula uses this equation to estimate the theoretical price of that option according to its parameters.
It's important to note that the purpose of this Black‐Scholes section is not to elucidate the underlying mathematics of the model, which can be quite complicated. The output of the model is merely a theoretical value for the fair price of an option. In practice, an option's price typically deviates from this value because of market speculation and supply and demand, which this model does not take into account. Rather, it is essential to have at least a superficial grasp of the Black‐Scholes model to understand (1) the foundational assumptions of financial markets and (2) where implied volatility (a gauge for the market's perception of risk) comes from.
The Black‐Scholes model is based on a set of assumptions related to the dynamics of financial assets and the market as a whole. The assumptions are as follows:
● The market is frictionless (i.e., there are no transaction fees).
● Cash can be borrowed and lent in any amount, even fractional, at the risk‐free rate (the theoretical rate of return of an investment with no risk, a macroeconomic variable assumed to be constant).
● There is no arbitrage opportunity (i.e., profits in excess of the risk‐free rate cannot be made without risk).
● Stocks can be bought and sold in any amount, even fractional amounts.
● Stocks do not pay dividends.6
● Stock log returns follow Brownian motion with constant drift and volatility (the theoretical mean and standard deviation of annual log returns).
A Brownian motion, or a Wiener process, is a type of stochastic process or a system that experiences random fluctuations as it evolves with time. Traditionally used to describe the positional fluctuations of a particle suspended in fluid at thermal equilibrium,7 a standard Wiener process (denoted W(t)) is mathematically defined by the conditions in the grey box. The mathematical definition can be overlooked if preferred, as the intuition behind the mathematics is more crucial for understanding the theoretical foundation of options pricing and follows after.
●

●

● The increments of




● Disjoint increments of

Simplified, a Wiener process is a process that follows a random path. Each step in this path is probabilistic and independent of one another. When disjoint steps of equal duration are plotted in a histogram, that distribution is normal with a constant mean and variance. Brownian motion dynamics are driven by this underlying process. These conditions can be best understood visually, which will also demonstrate why this assumption appears in the development of the Black‐Scholes model as an approximation for price dynamics. Figures 1.6 and 1.7 illustrate the characteristics of Brownian motion, and Figure 1.8 illustrates the dynamics of SPY from 2010–20158 for the purposes of comparison.
The price trends of SPY in Figure 1.8(b) appear fairly similar to the Brownian motion cumulative horizontal displacements shown in Figure 1.6(c). The daily returns for SPY are more prone to outlier moves compared to the horizontal displacements of Brownian motion but share some characteristics. The symmetric geometry of the SPY returns histogram bears resemblance to the fairly normal distribution of horizontal displacements, with the tails of the distribution being more prominent as a result of the history of large price moves.

Figure 1.6 (a) The 2D position of a particle in a fluid, moving with Brownian motion. The particle begins at a coordinate of

Similarities are clear between price dynamics and Brownian motion, but this remains a highly simplified model of price dynamics. In reality, stock log returns are not normal and are typically skewed to the upside or downside, depending on the specific underlying. Additionally, the drift and volatility of a stock are not directly observable, and it cannot be experimentally confirmed whether or not these variables are constant. Stock volatility approximated with historical return data is rarely constant with time (a phenomenon known as heteroscedasticity). Stock returns are also not typically independent of one another across time (a phenomenon known as autocorrelation), which is a requirement for this model.

Figure 1.7 The distribution of the horizontal displacements of the particle over 1,000 steps. As characteristic of a Wiener process, the increments are normally distributed, have a mean of zero and variance


Figure 1.8 The (a) daily returns, (b) price, and (c) daily returns histogram for SPY from 2010–2015.
Although the normality assumption is not entirely accurate, making this simplification allows the development of the rest of this theoretical framework shown in the gray box. The formalism in the gray box is supplemental material for the mathematically inclined. The interpretation of the math, which is more significant, follows after. It should be noted that the Black‐Scholes model technically assumes that stock prices follow geometric Brownian motion, which is more accurate because price movements cannot be negative. Geometric Brownian motion is a slight modification of Brownian motion and requires that the logarithm of the signal follow Brownian motion rather than the signal itself. As it relates to price dynamics, this suggests that the log returns are normally distributed with constant drift (return rate) and volatility.10
For the price of a stock that follows a geometric Brownian motion, the dynamics of the asset price can be represented with the following stochastic differential equation:11
(1.10)

where


The equation states that each stock price increment





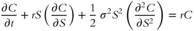
Using this equation as a basis for the derivation, assuming a riskless options portfolio must earn the risk‐free rate, and rearranging terms, the Black‐Scholes equation follows:
(1.11)

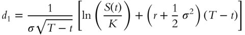
where C is the price of a European call (with a dependence on S and t ), S is the price of the stock (with a dependence on t ), r is the risk‐free rate, and σ is the volatility of the stock. The Black‐Scholes formula can be calculated by solving the Black‐Scholes equation according to boundary conditions given by the payoff at expiration of European options. The formula, which provides the value of a European call option for a non‐dividend‐paying stock, is given by the following equation:
(1.12)

where







(1.13)

(1.14)

where σ is the volatility of the stock. If the equations seem gross, it's because they are.
Again, the purpose of this section is not to describe the underlying mechanics of the Black‐Scholes model in detail. Rather, Equations (1.10) through (1.14) are included to emphasize three important points.
1. There is inherent uncertainty in the price of stock. Stock price movements are also assumed to be independent of one another and log‐normally distributed.12
2. An estimate for the fair price of an option can be calculated according to the price of the stock, the volatility of the stock, the risk‐free rate, the duration of the contract, and the strike price.
3. The volatility of a stock, which plays an important role in estimating the risk of an asset and the valuation of an option, cannot be directly observed. This suggests that the “true risk” of an instrument can never be exactly known. Risk can only be approximated using a metric, such as historical volatility or the standard deviation of the historical returns over some timescale, typically matching the duration of the contract. Other than using a past‐looking metric, such as historical volatility to estimate the risk of an asset, one can also infer the risk of an asset from the price of its options.
As stated previously, the Black‐Scholes model only gives a theoretical estimate for the fair price of an option. Once the contract is traded on the options market, the price of the contract is often driven up or down depending on speculation and perceived risk. The deviation of an option's price from its theoretical value as a result of these external factors is indicative of implied volatility. When initially valuing an option, the historical volatility of the stock has been priced into the model. However, when the price of the option trades higher or lower than its theoretical value, this indicates that the perceived volatility of the underlying deviates from what is estimated by historical returns.
Implied volatility may be the most important metric in options trading. It is effectively a measure of the sentiment of risk for a given underlying according to the supply and demand for options contracts. For an example, suppose a non‐dividend‐paying stock currently trading at $100 per share has a historical 45‐day returns volatility of 20%. Suppose its call option with a 45‐day duration and a strike price of $105 is trading at $2 per share. Plugging these parameters into the Black‐Scholes model, this call option should theoretically be trading at $1 per share. However, demand for this position has increased the contract price significantly. For the model to return a call price of $2 per share, the volatility of this underlying would have to be 28% (assuming all else is constant). Therefore, although the historical volatility of the underlying is only 20%, the perceived risk of that underlying (i.e., the implied volatility) is actually 28%.
To conclude, the primary purpose of this section was not to dive into the math of the Black‐Scholes. These concepts were, instead, introduced to justify the following axioms that are foundational to this book:
● Profits cannot be made without risk.
● Stock log returns have inherent uncertainty and are assumed to follow a normal distribution.
● Stock price movements are independent across time (i.e., future price changes are independent of past price changes, requiring a minimum of the weak EMH).
● Options can theoretically be priced fairly based on the price of the stock, the volatility of the stock, the risk‐free rate, the duration of the contract, and the strike price.
● The volatility of an asset cannot be directly observed, only estimated using metrics like historical volatility or implied volatility.
The Greeks
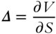
Other than implied volatility, the Greeks are the most relevant metrics derived from the Black‐Scholes model. The Greeks are a set of risk measures, and each describes the sensitivity of an option's price with respect to changes in some variable. The most essential Greeks for options traders are delta



Delta

(1.15)

where V is the price of the option (a call or a put) and S is the price of the underlying stock, noting that ∂ is the partial derivative. The value of delta ranges from –1 to 1, and the sign of delta depends on the type of position:
● Long stock: Δ is 1.
● Long call and short put: Δ is between 0 and 1.
● Long put and short call: Δ is between –1 and 0.
For example, the price of a long call option with a delta of 0.50 (denoted 50Δ because that is the total Δ for a one lot, or 100 shares of underlying) will increase by approximately $0.50 per share when the price of the underlying increases by $1. This makes intuitive sense because a long stock, a long call, and a short put are all bullish strategies, meaning they will profit when the underlying price increases. Similarly, because long puts and short calls are bearish, they will take a loss when the underlying price increases.
Delta has a sign and magnitude, so it is a measure of the degree of directional risk of a position. The sign of delta indicates the direction of the risk, and the magnitude of delta indicates the severity of exposure. The larger the magnitude of delta, the larger the profit and loss potential of the contract. This is because positions with larger deltas are closer to/deeper ITM and more sensitive to changes in the underlying price. A contract with a delta of 1.0 (100Δ ) has maximal directional exposure and is maximally ITM. 100Δ options behave like the stock price, as a $1 increase in the underlying creates a $1 increase in the option's price per share. A contract with a delta of 0.0 has no directional exposure and is maximally OTM. A 50Δ contract is defined as having the ATM strike.14