
Второе – мы должны отсортировать и оценивать заказы/товары/продукцию с точки зрения показателя Проход на единицу времени ограничения и выстраивать соответствующую систему приоритетов для специалистов по продажам, маркетологов и т. п.
Третий шаг – подчините все этому решению. Вообще, знание, где в системе находится ограничение и что ему нужно для максимально эффективного функционирования – сильно облегчает и принятие решений, и разрешение спорных ситуаций. Достаточно лишь получить ответ на вопрос: это увеличивает Проход на единицу времени ограничения или уменьшает? Все, что уменьшает этот показатель – вредно, все, что увеличивает – полезно. И это становится императивом для любого менеджера или стейкхолдера, какое бы место в иерархии он ни занимал. Кроме того, это приводит к изменению в трудовой этике: нам совсем не нужно, чтобы все были всегда заняты. Более того, те, кто заняты в не-ограничениях, не только могут, но и должны время от времени простаивать, так как они являются защитной мощностью компании. Это приводит к выполнению следующего принципа работы: когда у нас есть работа, мы работаем с максимальным качеством и на максимально возможной (без вреда для качества) скорости, если работы нет, мы ничего не делаем и ждем, когда работа поступит. Надо сказать, что это очевидное и логически понятное требование на первых порах приживается достаточно трудно, слишком глубоко в стереотипы как работников, так и менеджеров впечатался знаменитый армейский принцип: «чем бы солдат ни занимался, лишь бы задолбался», сотрудник должен быть занят, вид простаивающего сотрудника вызывает раздражение у менеджера и фрустрацию у сотрудника. Поэтому многие преуспели в великом искусстве имитации кипучей деятельности и создании фиктивно-демонстративного продукта. Просто возьмите за аксиому: постоянная работа в не-ограничении наносит вред организации.
Четвертый шаг – долгожданные действия по увеличению пропускной способности организации. Во многих русскоязычных источниках этот шаг переведен неправильно: его часто переводят как «снять ограничение», хотя в оригинале использован глагол elevate, буквально означающий – «поднять». Сам грешен, долгое время, пока не понял сущность ограничения, я тоже использовал это словосочетание. Повторю еще раз – ограничение из потока устранить невозможно, его можно только переместить, что, согласитесь, не одно и то же. К этому моменту мы уже стабилизировали организацию и сфокусировали ее на максимальном извлечении Прохода из ограничения. Вся организация подчинена работе ограничения, и возможности роста без инвестирования значительных объемов денежных средств, труда и времени отсутствуют. Теперь мы можем добавить мощности в ограничение.
Лично для меня четвертый и пятый шаги связаны друг с другом без какого-либо временного зазора между ними. Я бы даже сказал, что, принимая решение об инвестировании в увеличение пропускной способности ограничения, первое, о чем нужно подумать, – это куда переместится ограничение и хотим ли мы, чтобы оно переместилось в это место. Это очень важный момент, потому что перемещение ограничения означает перестройку ВСЕЙ системы управления и приоритетов компании. Это, честно говоря, весьма приличное потрясение для организации. Поэтому так важно не попасться в ловушку инерции и заранее оценить, хотим ли мы, чтобы ограничение в потоке сдвинулось, и если ответ «да», то куда мы хотели бы, чтобы оно сдвинулось. При этом вся подготовка к переходу системы управления в новый режим должна быть сделана заранее. Такие серьезные последствия четвертого и пятого шагов привели к тому, что в формулировку первого шага начали добавлять глагол «ВЫБЕРИТЕ».
Ключевым в шаге пятом является предостережение об ИНЕРЦИИ. То есть проблема не в наличии ограничения, а в том, что инерция мышления может не дать нам найти новое ограничение или найти такое место в системе, поместив в которое наше ограничение, мы сможем значительно, скачкообразно увеличить возможности нашей организации. Так, например, постановка под сомнение некоторых исходных посылок метода «Барабан-Буфер-Канат» привела к тому, что Эли Шрагенхайм разработал и обосновал метод «Упрощенный Барабан-Буфер-Канат». Если бы им не была преодолена инерция мышления и авторитета, то и не были бы найдены более элегантные решения для управления сроками производства.
Позднее доктор Боаз Ронен (Boaz Ronen) добавил к классическим пяти шагам еще два шага:
1. Определите границы системы.
2. Определите показатели, измеряющие глобальную эффективность (показатели, оценки достижения цели системы – Д.Е.)
Это было важное добавление, потому что, строго говоря, система существует только в нашем представлении. Это некоторая часть реальности, которую мы решили рассмотреть как отдельную сущность, какие бы границы мы ни выбрали – само выделение системы относительно произвольно и определяется целями нашего анализа. Поэтому акцентирование внимания на самом факте выделения системы и определения ее границ мне представляется крайне важным.
И в заключение этого небольшого раздела приведем объединенный полный перечень фокусирующих шагов, объединив классические пять фокусирующих шагов с последующими доработками:
1. Определите ГРАНИЦЫ СИСТЕМЫ.
2. Определите ЦЕЛИ системы и ПОКАЗАТЕЛИ, измеряющие ее глобальную эффективность (достижение цели системы).
3. ОПРЕДЕЛИТЕ ОГРАНИЧЕНИЕ системы.
4. РЕШИТЕ, как МАКСИМАЛЬНО ИСПОЛЬЗОВАТЬ ограничение.
5. ПОДЧИНИТЕ ВСЕ этому решению.
6. УВЕЛИЧЬТЕ ПРОПУСКНУЮ СПОСОБНОСТЬ ограничения.
7. ВНИМАНИЕ!!! Если на предыдущем шаге ограничение было снято – вернитесь к шагу первому и не позвольте ИНЕРЦИИ породить ограничения в системе.
Барабан-Буфер-Канат и его разновидности
Появление пяти фокусирующих шагов естественным и логичным образом привело к появлению другого фундаментального инструмента Теории ограничений, который известен под названием «Барабан-Буфер-Канат» (Drum-Buffer-Rope, DBR) – ББК.
Идея, лежащая в основе этого инструмента, предельно проста: поскольку ограничение – это основной фактор, определяющий пропускную способность нашей системы, то достижение цели определяется его пропускной способностью. Следовательно, если ограничение простаивает, то компания хуже достигает цели, к которой стремится. Поэтому мы должны обеспечить условия, при которых у нашего ограничения не будет простоев (за исключением запланированного времени на профилактическое обслуживание). Добавьте к этому закон Мерфи, который вносит во все наши планы неопределенность. Поэтому нам необходимо обеспечить перед ограничением некоторый запас работы, который защитит нас от воздействия Мерфи на элементы цепочки создания ценности, находящиеся выше по потоку перед ограничением. Таково первое требование реальности.
Второе требование реальности определяется законом Литтла: продолжительность производственного цикла прямо пропорциональна объему незавершенного производства19. Его прямым следствием будет требование сокращения объема незавершенного производства, а запас работы перед ограничением – это не что иное, как незавершенное производство. Чем больше будет этот запас, тем больше будет полный цикл (длительность) производства, тем больше шансов, что компания окажется не в состоянии соответствовать требованиям рынка, на котором она работает.
То есть нам нужен запас работы, достаточный для того, чтобы защитить ограничение от простоев, вследствие воздействия общей неопределенности, с другой стороны, этот запас работы должен не превышать некоторое минимально необходимое значение. Собственно, сам инструмент ББК и является способом разрешения этого противоречия.
Он включает в себя:
• Барабан – то, что задает ритм работы всей системы, очевидно, что это работа ограничения. Ритм, скорость, с которой работает ограничение, задает темп всей системе. Точно так же, как скорость каравана определяется скоростью самого медленного верблюда, так и производительность всей системы определяется производительностью ограничения. Всем остальным звеньям нет необходимости работать на максимуме своей производительности. Потому что если они будут действовать таким образом, то объем незавершенного производства в системе будет только нарастать, что, в силу неотвратимой логики закона Литтла, начнет приводить к ухудшению работы всей системы.
• Буфер – это запас работы перед ограничением, который защищает ограничение от простоев из-за воздействия Мерфи.
• Канат – это величина буфера. Канат определяет максимальный размер буфера. Он зависит от времени, необходимого для пополнения потребленного из буфера объема работы, и уровня неопределенности, который существует в системе. Чем выше эти параметры, тем более длинный «канат» нам нужен. Метафора каната очень хорошо показывает принцип организации работы при использовании ББК: канат должен всегда быть натянутым, как только натяжение ослабло, в систему нужно добавить работу. Представьте себе подпружиненную заслонку, которая открывается каждый раз, как ослабевает натяжение удерживающей ее в закрытом состоянии веревки. Очевидно, что она откроется ровно насколько, насколько позволит ослабившееся натяжение. Так и механизм ББК – ровно столько, сколько ограничение потребило из буфера, должно быть добавлено к незавершенному производству.
С помощью механизма ББК мы удерживаем незавершенное производство в некоем стабильном состоянии и, регулируя пропускную способность ограничения, мы управляем сроками исполнения заказов, в полной мере ИСПОЛЬЗУЯ закон Литтла.
Классический механизм ББК предполагал наличие двух буферов:
• один перед ограничением, который называют «буфер ограничения»20, или просто буфер,
• второй – защищающий дату исполнения заказа, который называется «буфер отгрузки»21.

Но давайте вспомним все, что мы уже знаем про ограничения, их взаимодействие и надежность. Посмотрите еще раз на картинку, где показана схема классического ДБР, ничего не смущает?
В середине 90-х Эли Шрагенхайм логически обосновал метод, который получил название «Упрощенный Барабан-Буфер-Канат» (Simplified Drum-Buffer-Rope, s-DBR) – УББК. Он обратил внимание, что первичное ограничение, в котором существуют организации – это ограничение рынка, все прочие «внутренние» ограничения организации – лишь еще более усложняют ситуацию. Фактически ситуация с наличием двух буферов – это ситуация двух взаимодействующих ограничений. А мы с вами уже знаем, что взаимодействующие ограничения всегда приводят к усложнению управления организации и снижению ее надежности. Поэтому было предложено выстраивать систему управления буферами исходя из исходной посылки, что ограничением является рыночный спрос.

Для использования этой модификации есть несколько дополнительных исходных посылок, например относительно небольшое технологическое время исполнения заказа по отношению к общему сроку исполнения заказа, обязательная необходимость учета использования мощностей и т. п. Детальный разбор этой модификации не входит в рамки задач этой книги. Здесь в соответствующих главах мы разберем лишь только тот его вариант, который связан с управлением наличием в цепях поставок. Тех, кого интересует этот метод и его особенности, я отсылаю к оригинальным источникам: словарю TOCICO22 и книге «Управление цепями поставок с невероятной скоростью», которая, к сожалению, на русский язык не переведена23.
В заключение этого раздела добавлю, что методы ББК и УББК положены в основу всех существующих готовых логистических решений Теории ограничений.
Три вопроса изменения
Еще один инструмент, который достаточно хорошо известен – это три вопроса изменений.
В словаре TOCICO он отнесен к одному из процессов, входящих в состав процесса непрерывного улучшения (POOGI – process of on-going improvement), представляет собой последовательность из трех вопросов:
1. Что нужно изменить?
2. На что нужно изменить?
3. Как вызвать изменения?
Последний вопрос часто еще переводят – «Как осуществить изменения?».
На поиске ответа на эти вопросы сконцентрированы мыслительные процессы (логические деревья) Теории ограничений, они лежат в основе концепции U-Shape, предложенной Одедом Коэном (Oded Kohen) в качестве фреймворка для решения проблем и разработки новых решений. Последовательная отработка этих вопросов более гладкому и легкому прохождению слоев сопротивления.
Ответ на первый вопрос должен показать нам, что в системе является устаревшим, не соответствующим текущим требованиям реальности, мешающим дальнейшему развитию организации. Это позволяет найти корневую проблему организации, которая блокирует ее развитие. После чего можно переходить к ответу на второй вопрос.
Нельзя просто взять и удалить какой-либо элемент из организации. Устраняя что-либо, мы должны предложить ему замену. Именно на поиск новых элементов направлен второй вопрос: какие новые элементы (правила, действия, способы принятия решения и т.д.) мы должны создать в системе, чтобы она смогла выйти на следующий уровень, не подставив стабильность под угрозу.
И третий вопрос должен помочь нам найти ответы на вопросы, что нам может помешать и что нам нужно предпринять, чтобы найденное решение было внедрено и прижилось в организации.
Как часто бывает, позднее изначальные три вопроса были несколько расширены и превратились в пять вопросов:
1. Почему нужны изменения?
2. Что нужно изменить?
3. На что нужно заменить?
4. Как вызвать изменения?
5. Как измерять и поддерживать изменения?
Очевидно, что первый и пятый появившиеся вопросы – это уточнение «оригинальных» первого и третьего вопросов.
Так или иначе, эти вопросы являются направляющим шаблоном при поиске, разработке и внедрении изменений, изменение последовательности или пропуск хотя бы одного из них – пагубно скажется на результатах попытки внедрения изменений.
Инструменты непрерывного улучшения в Теории ограничений
Если пять фокусирующих шагов и Барабан-Буфер-Канат – это основа логистических решений, остальные пять из названных мною семи инструментов ТОС – это инструменты, предназначенные для улучшения системы в долгосрочной перспективе, поиска и устранения корневых проблем организации и разработки новых прорывных решений. Автор Теории ограничений, д-р Голдратт, будучи ученым-физиком, не мог не понимать закон историчности и диалектического развития систем, поэтому он прекрасно осознавал, что решение, которое хорошо работает в одних условиях, в других может оказаться вредным. Поэтому начиная с 90-х годов и до последних лет своей жизни он разрабатывал, тестировал и улучшал механизмы, поддерживающие процесс непрерывного улучшения, который должен быть обязательной частью любого целостного подхода в управлении.
Если пользоваться терминологией Эли Шрагенхайма, то первые два инструмента и разработанные на их основе готовые логистические решения, которые Голдратт называл основными движителями ТОС – это «малая ТОС», то инструменты для процесса непрерывного улучшения – это «большая ТОС», создающая основы для непрерывного нахождения организации на кривой роста, не ставя при этом под угрозу стабильность организации24.
В рамках ТОС это формулируется в виде «зеленой и красной кривых» – набора из двух кривых, которые отражают ментальные установки на уменьшающуюся отдачу (зеленая кривая) как противоположность увеличивающейся отдачи (красная кривая) относительно целей организации. Позднее зеленая кривая стала иллюстрацией цели стабильности, а красная начала использоваться для иллюстрации цели постоянного роста.

С точки зрения Теории ограничений, перед организацией не стоит выбора: зеленая или красная кривая. Считается, что организации нужны как стабильность (зеленая кривая), так и рост (красная кривая).
Организация должна стремиться к тому, чтобы ее результаты постоянно росли, но при этом не ставилась бы под угрозу ее финансовая стабильность. И комплект инструментов «большой ТОС» предназначен для реализации этой задачи.
Мыслительные инструменты (логические деревья) Теории ограничений
Выход за пределы чисто «логистических» проблем, необходимость учета особенностей поведения людей для начала и в процессе осуществления изменений привели к качественному скачку в развитии инструментов Теории ограничений. Появилась необходимость в создании и представлении способов, которые бы позволяли выявить причины, приводящие к нежелательным явлениям25; показать причинно-следственные связи, которые приводят к текущим не всегда удовлетворительным результатам; а также дать инструмент разработки и обоснования решений и планов изменения, с помощью которых можно было бы убедить людей в работоспособности и реализуемости решения. Это особенно важно, потому что часто действия, включенные в решения Теории ограничений, не вписываются в общепринятую в компании и даже отрасли парадигму.
Эли Шрагенхайм рассказывал в вебинаре, посвященном истории развития Теории ограничений, что, понимая необходимость перехода от решения чисто производственных проблем к решению проблем на уровне организации, д-р Голдратт в 1990 году собрал группу людей для разработки комплекта мыслительных инструментов, основываясь на уже имеющихся и опыте их использования, который бы позволил определять и решать проблемы любого уровня26. В истории ТОС – это был качественный скачок. Я помню, что при первом обращении к Теории ограничений именно логические инструменты Теории ограничений были тем моментом, который привлек меня и удержал мое внимание.
Тема логических инструментов – огромна и заслуживает отдельного подробнейшего описания и изучения. На русском языке издана книга Уильяма Детмера, посвященная этой теме27, до сих пор остающаяся практически главным источником на русском языке, хотя в применении уже произошел ряд изменений, отдельным инструментам посвящены книги Елены Федурко28, но основной объем – это англоязычные источники, в том числе доступные на сайте TOCICO29.
Полный комплект мыслительных процессов, известных также как логические деревья, включает в себя следующие элементы (в соответствии со словарем TOCICO):
1. Дерево текущей реальности (Current Reality Tree – CRT).
2. Диаграмма разрешения конфликта «грозовая туча» (Cloud, Evaporating Cloud – EC).
3. Дерево будущей реальности (Future Reality Tree – FRT), включая процесс отсечения негативных ветвей (Negative Brunch Resevations – NBR’s).
4. Дерево предпосылок (Prerequisite Tree – PRT).
5. Дерево перехода (Transition Tree – TT).
6. Карта промежуточных целей (Intermediate Objectives Map – IOM).
7. Дерево Стратегии и Тактики (Strategy & Tactic Tree – S&T).
Если кто-то читал русское издание книги Детмера, то я попрошу обратить внимание, что переводчик, готовивший книгу к изданию, позволил себе значительную вольность, в этой книге дерево предпосылок названо деревом перехода, а оригинальное дерево перехода называется планом преобразований.
Первые пять инструментов были разработаны первыми, карта промежуточных целей и дерево стратегии и тактики были разработаны позднее, первые пять инструментов напрямую связаны с рассмотренными ранее тремя вопросами изменения.

Одедом Коэном была разработана и обоснована модель U-shape, которая связала в логическую последовательность использование классических логических инструментов ТОС для исследования существующей действительности, поиска и разработки решения и внедрения изменений30.

Эта модель предполагает, что мы начинаем с исследования текущей действительности, выявляем в ней нежелательные явления, а затем определяем корневую проблему, приводящую к их возникновению. Решая конфликт, лежащий в основе корневой проблемы, мы находим решение, которое доводим до уровня плана внедрения, отрабатывая потенциальные негативные последствия (негативные ветви) и действия по преодолению препятствий. Мы двигаемся от дерева текущей реальности к плану преобразований или дереву стратегии и тактики.
• Дерево текущей реальности – это диаграмма, основанная на причинно-следственной логике необходимости и достаточности, которая облегчает поиск ответа на вопрос «что нужно изменить?», показав связь между нежелательными явлениями и корневой проблемой. Нотация дерева текущей реальности выглядит следующим образом:

Часто поиск корневой проблемы с помощью Дерева текущей реальности оказывается очень трудоемким и крайне сложным. Поэтому значительно быстрее получается найти корневую проблему с помощью метода «трех туч» и последующим построением корневого дерева текущей реальности, которое связывает уже найденную корневую проблему с согласованными нежелательными явлениями.
Метод трех туч – это относительно быстрый способ разработки дерева текущей реальности. В этом случае разработчик определяет три кажущиеся независимыми нежелательные явления, для каждого из них строит «тучу», а затем консолидирует эти три тучи в одну консолидированную тучу – тучу корневого конфликта31. А дальше, уже опираясь на причинно-следственную логику, связывает выявленную корневую проблему с признанными нежелательными явлениями.
Таким образом, мы переходим к следующему мыслительному инструменту, который, наверное, встречается чаще всего в публикациях по Теории ограничений – диаграмме конфликта, или «грозовой туче» (чаще просто – «туче»).
• Диаграмма разрешения конфликта, «грозовая туча» – это способ визуализации конфликта и поиска скрытых предпосылок, приводящих к его возникновению. В основе лежит уверенность, что в основе существующих нежелательных явлений лежит небольшое число истинных причин, которые всегда неявны. В их основе лежат скрытые конфликты, для разрешения которых нужно выявить и устранить лежащие в их основе предпосылки, и если мы устраним эти скрытые конфликты, то это приведет к устранению выявленных нежелательных явлений.
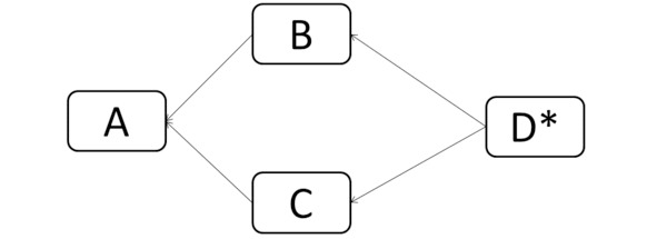
Нотация «тучи»:

Структура тучи включает в себя: общую цель (А), достижение которой является необходимой и обязательной; необходимые условия (B) и (C), а также действия или способы достижения этих необходимых условий (D) и (D»), которые кажутся нам единственными способами выполнения соответствующих необходимых условий и противоречащими друг другу. При этом необходимые условия связаны между собой логическим «И», которое означает, что для достижения цели мы должны выполнить ОБА этих условия.
На стрелках диаграммы мы фиксируем логические обоснования, почему для достижения результата, указанного у конца стрелки, нам необходимы действия или условия, указанные у ее начала. Задача разрешения конфликта в конечном итоге сводится к поиску такого способа действия D*, который бы обеспечил одновременное достижение обязательных условий В и С.

Результатом разрешения конфликта являются действия или элементы, которые необходимо добавить в систему, которые бы устраняли найденный конфликт и нежелательные явления. Такие элементы в Теории ограничений получили название «инъекции». Таким образом, результатом разрешения конфликта является комплект инъекций, внедрение которых должно привести к изменению эффективности организации.
В этом месте я позволю себе небольшое отступление. В моей практике именно в этом месте кроется ловушка: радость от найденного решения часто застилает глаза и мешать увидеть потенциальные негативные последствия этого решения, когда лекарство может оказаться хуже, чем болезнь. Часто это решение бросаются сразу же внедрять, а когда не получается, начинают обвинять всех и вся вокруг себя. Если же мы двигаемся в логике U-shape и мыслительных инструментов, мы должны перейти к детальной проработке решений, используя следующие инструменты.
• Дерево будущей реальности – это диаграмма, основанная на причинно-следственной логике необходимости и достаточности, которая показывает, как внедрение разработанных на предыдущем этапе инъекций позволяет заменить нежелательные явления на желательные. Оно предназначено для детального ответа на вопрос «На что менять?». Нотация дерева будущей реальности: