
Начиная с 1910 года, имя лауреата и официальное описание его достижений стали сообщать тотчас после окончания голосования. Поскольку голосование обычно проводится вечером, часто случалось, что посылаемая в лабораторию, а не на частный адрес, официальная телеграмма лауреату доходила до него лишь на следующий день. Случалось даже так, что ученый узнавал о своем лауреатстве из утренних газет за завтраком. Хотя обычно, досужие газетчики находили его задолго до того и брали интервью.
Разумеется, одним из исключительно важных условий для справедливого присуждения Нобелевских премий является поддержание полноценных международных контактов. Именно это, прежде всего, дает возможность вовремя узнавать о достижениях в научных исследованиях в мире и получать информацию о новых важных открытиях, сделанных в обширной области физиологии или медицины. Такие контакты наилучшим образом поддерживаются путем чтения периодики, сайтов в Интернете и монографий, что полностью отвечает нобелевским правилам, предписывающим обязательную публикацию представляемой к премированию работы.
Следует иметь ввиду, что на международные контакты сильно влияет политическая нестабильность, и распределение премий, таким образом, также зависит от этой нестабильности. Например, во время двух последних мировых войн подобные контакты были весьма затруднены, а иногда и полностью прерывались. Некоторые из этих сложностей широко известны – например, запрет на посылку приглашений для ученых, работающих в границах «третьего рейха» (1938–1945), и послевоенное отсутствие имен и адресов профессоров медицины и исследователей в некоторых других странах, таких как СССР.
Не секрет, что во время обеих войн большое число ученых, приглашенных выдвигать кандидатов, были так или иначе заняты в военных действиях, либо на фронте, либо активно принимали участие в военных разработках. Следовательно, их возможности следить за научной литературой, которая, по-прежнему, продолжала выходить, были весьма ограничены. Естественно также, что интерес этих ученых к присуждению Нобелевских премий сильно снизился на фоне страшного военного конфликта. Возможно, свое влияние оказало также и то, что в течение ряда военных лет, как уже упоминалось, премии вообще не присуждались. Но, хотя свободный международный обмен научной информацией во время двух мировых войн был сильно нарушен, эти трудности никогда не были столь серьезны, чтобы полностью подавить работу Нобелевского комитета по отбору лауреатов.
Когда разразилась Первая мировая война, число номинаторов и количество кандидатов резко уменьшилось. Однако, несмотря на это, выбрать достойного ежегодного лауреата не представляло особого труда. Гораздо хуже была крайняя неразбериха, царившая в Европе осенью 14-го года, когда следовало вручать награды, и приостановление процедуры в данном случае было в порядке вещей. В 1914 году премия была присуждена Роберту Барани – подданному Австро-Венгрии, который в то время находился в плену в Сибири. Однако, благодаря заступничеству Шведского Красного Креста, он был освобожден, и награда ему была вручена по дипломатическим каналам.
После совместного предложения, внесенного шведскому правительству различными организациями, занимающимися наградами, было решено ввиду сложной международной ситуации в последующие военные годы премии не присуждать. Ис 1915 по 1918 годы они действительно не присуждались. Согласно правилам, премиальные деньги в этом случае поступали в Специальный фонд жюри. Однако, поскольку не было недостатка в достойных кандидатах, Каролинский институт посчитал, что коль скоро в военное время премии не присуждались, то можно проводить более строгий отбор претендентов. При этом в физиологии или медицине рассматривать только новые специфические открытия. Однако то, что награды несколько лет не присуждались, привело к тому, что набралось значительное число соответствующих этим требованиям работ, и, поскольку они должны были быть приняты во внимание в непосредственно послевоенные годы, стало трудно соблюдать нобелевское пожелание рассматривать лишь недвано сделанные открытия. В связи с этим выбор лауреата за 1919 год был отложен до 1920 года. К этому времени большинство профессоров Каролинского института пришло к выводу, что наилучший способ выполнить волю Нобеля, отраженную в его завещании, – это присуждать премию ежегодно, даже если политическая ситуация оказывается неблагоприятной. Поэтому в 1920-ом году были вручены обе премии, и с тех пор какое-то время награжение проводилось почти регулярно.
Между тем, в конце 30-х годов на европейском горизонте сгущались тучи новой войны. И неудивительно, что это опять-таки помешало присуждению Нобелевских премий. В сентябре и в октябре 1938 года (сразу после Мюнхенского кризиса) Нобелевский комитет и профессора Каролинского института, как обычно, готовились к традиционной процедуре отбора кандидатов. Однако по причинам, которые будут объяснены ниже, было решено отложить финальный выбор до следующего года, поскольку появилась, хоть и слабая, но все-таки надежда на улучшение международной обстановки. Таким образом, в 1939 году Институту пришлось распределять две премии. Премии 1938 года был удостоен профессор Корней Хеймане из Бельгии. Но по правилам премия за 1939 год должна была также присуждаться в то же время. Такое наслоение событий породило определенные трудности.
В сентябре 1938 года профессор Герхард Домагк из Германии был выдвинут на соискание премии коллегами из Франции и США и имел хорошие шансы получить премию за его революционную работу по сульфонамидам (пронтозил). Ввиду сложной международной ситуации возник вопрос о том, не может ли данная награда поставить шведское правительство в неловкое положение в связи с напряженными отношениями с Германией. От имени Нобелевского комитета Каролинского института его Председатель, который тогда являлся также ректором Института, имел беседу с премьер-министром П. А. Ханссоном. От него не удалось получить никакого официального ответа, он лишь высказал свое личное мнение о том, что если Германия не желает, чтобы ее подданные получали Нобелевские премии, наиболее естественным будет не давать им этих наград. В этой ситуации члены Комитета чувствовали себя вправе принять собственное решение и большинство проголосовало против предполагаемого присуждения премии Домагку, исходя из того, что, по их мнению, практический опыт применения сульфонамидов был недостаточным, особенно в Швеции.
На следующий год Домагк был выдвинут снова. На этот раз – коллегами из Англии, и теперь в Комитете возникло определенное мнение, что пронтозил является открытием, достойным премии. Этот вопрос обсуждался в Каролинском институте через полтора месяца после того, как разразилась Вторая мировая война. Некоторые из членов Комитета пребывали в сомнении, в то время, как другие отстаивали ту точку зрения, что следует, как и обычно, строго придерживаться правил. Нобель сформулировал свою волю следующими словами: «Выражение моей воли таково: Премия должна присуждаться вне зависимости от национальности кандидата, ее должен получить достойнейший, невзирая на то, является ли он скандинавом, или нет».
При подобных обстоятельствах не было никакого сомнения, что премию следует присудить Домагку, и действительно, в этот момент не было ни одного столь же достойного кандидата. Для международного престижа премии, а также единения присуждающих ее ученых было исключительно важно, чтобы завещание исполнялось буквально, даже во время политической нестабильности, включая войну. Что касается немецких ученых, то имелись серьезные основания полагать, что они будут приветствовать вручение награды, невзирая на официальное запрещение гитлеровского правительства.
Подавляющее большинство профессоров Каролинского института также высказалось в пользу присуждения премии Домагку. Ситуация стала известна немецкой дипломатической миссии в Стокгольме, результатом чего явилась телеграмма в Министерство иностранных дел Швеции из Берлина, в которой говорилось, что присуждение Нобелевской премии немецкому подданному является «абсолютно нежелательным». Текст этой телеграммы был передан по телефону секретарю Нобелевского комитета, который поинтересовался, может ли Министерство иностранных дел Швеции прокомментировать немецкое заявление. Поскольку комментариев не последовало, Каролинский институт счел себя вправе действовать согласно существующему положению. Каролинский институт подавляющим большинством голосов присудил премию за 1939 год Герхарду Домагку за его открытие антибактериального действия пронтозила. Однако надо сказать, что под давлением нацистского аппарата Домагк помимо своей воли вынужден был письменно отказаться от премии.
Практика отказа лауреатов от получения наград вызвала необходимость изменения некоторых правил. Новое принятое правило гласило, что в том случае, если лауреат отказывается получить премию или не может получить деньги до 1-го октября следующего года, премия должна быть возвращена Нобелевскому фонду.
Во время Второй мировой войны Нобелевских празднований в Стокгольме не проводилось. В течение 1940–1942 годов премии вообще не вручались. Премии по физиологии или медицине за 1938 и 1939 годы были, как уже упоминалось, присуждены, хотя их презентация откладывалась до более позднего срока. Премия 1938 года была вручена профессору К. Хеймансу на академической церемонии в Генте (Бельгия) 16 января 1940 года шведским министром в присутствии королевы-матери Елизаветы, членов бельгийского правительства и других официальных лиц.
27 октября 1944 года, когда война в Европе была еще в разгаре, Каролинский институт вынес свое решение о премиях по физиологии или медицине за 1943 и 1944 годы. Трое из лауреатов – Э. Дойзи, Дж. Эрлангер и Г. Гассер были гражданами Соединенных Штатов, в то время, как четвертый, X. Дам был датчанином, который временно работал в Америке. Из-за того, что шла война, эти лауреаты не имели никакой возможности приехать в Швецию, даже если бы там и состоялась обычная праздничная церемония. Поэтому пришлось обратиться в Американо-Скандинавский фонд с просьбой о проведении церемонии вручения премий в Нью-Йорке. Церемонию возглавил находящийся в Вашингтоне шведский министр. Эта церемония полностью соответствовала международному характеру премий и тому интересу, который они вызывали в различных странах.
По вполне понятным причинам все резоны, касающиеся присуждения премий, являются конфиденциальными и согласно положениям протесты против решений, вынесенных присуждающими премии организациями, не принимаются. Как правило, никто из членов Нобелевского комитета, так же, как и профессора Каролинского института, не вступают в дискуссию на тему премии ни с кандидатами, ни с их спонсорами, поскольку это может привести к нескончаемым осложнениям.
Как известно, противоречия в науке часто являются необходимыми и могут служить важным целям, однако полемика на тему приоритетов и субъективных оценок личных заслуг редко идет на пользу науке и тем, кто ею занимается. Подобные дискуссии легко могут заставить страдать тех, кто имел счастье получить Нобелевскую премию, а также способствовать распространению нездоровых желаний в более широких кругах. Те, кто занимается практическими деталями распределения премий, безусловно, полностью осведомлены о трудностях, присущих их деятельности, и о неизбежности ошибок. Напряженные отношения не должны возникать в результате чувства непогрешимости или превосходства, и уверенности в том, что обсуждение таких личных качеств, как квалификация кандидата, не только нанесет вред всем участвующим в этом обсуждении. Оно может также войти в противоречие с одной из основных целей дара Нобеля – способствовать лучшему взаимопониманию и возникновению отношений доброй воли между народами.
Для того, чтобы видеть в ближайшем будущем свою страну осуществляющей вклад в копилку международного сообщества посредством участия в программах фундаментальной науки, надо правильно осознавать свое прошлое, традиции, равно как и дела, совершенные нынешними поколениями. Книга эта как раз и посвящена достижению именно этой цели. Она содержит краткое изложение собранной базовой информации о 172 Нобелевских лауреатах в области физиологии или медицины. Как нам кажется, исходя из сведений о победителях на протяжении 100-летней истории Нобелевских премий можно оценить старые и почерпнуть новые сведения о развитии науки, тенденциях и направлениях ее движения.
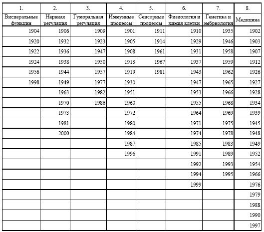
Число публикаций (не считая справок из Интернета), использованных при подготовке книги, значительно перевалило за тысячу и сбору их было посвящено несколько лет. Как и в большинстве подобных изданий, рассмотрение материала осуществлялось в хронологическом порядке. Вместе с тем, учитывая широкий диапазон тематической направленности физиологии и медицины, допустимо дополнительно к хронологии использовать еще по крайней мере два подхода. Первый из них с некоторой детализацией охватывает сугубо физиологические разделы, рассматривая при этом и близкие к ним проблемы биологии, такие, например, как генетика. Наряду с этим, отдельно идут медицинские науки. Все это представляется в виде крупных блоков или целых направлений. Таких разделов нами было определено по крайней мере восемь и именно по этим направлениям в течение столетия присуждались Нобелевские премии. Эти разделы имеют непосредственное отношение прежде всего к механизмам висцеральных функций, нервной и гуморальной регуляции, физиологии клетки и физиологической химии, сенсорным процессам, генетике и эмбриологии, иммунным процессам, а также различным аспектам медицины. Так или иначе, прямо или косвенно, но все они направлены на прояснение феномена жизни посредством биологических, физических и химических исследований. Это своеобразная попытка осуществления всестороннего исследования названного феномена, области знания, которая стремительно развивалась в последней половине XX столетия. И в этом смысле книга посвящена именно этой новой области исследований XXI века – науке о жизни.
Позже оказалось, что вполне допустим и другой, более детализирующий материал подход. И этим мы тоже воспользовались. Второй подход значительно подробнее рассматривает итоги столетия, не разделяя работы на сугубо физиологические или типичные медицинские. В нем положено в основу главным образом существо, новизна и значимость исследования для будущего. Здесь, наряду с датами, уже фигурируют фамилии лауреатов и общая направленность их работ. Разумеется, между тем и другим подходами нет существенных различий и тем более противоречий, оба они в какой-то мере дополняют друг друга, позволяя тем самым выявить не только возможные тенденции в развитии физиологии или медицины, но в известной мере приблизиться к пониманию направленности их дальнейшего роста. И даже больше того, относительно детальное рассмотрение итогов столетия (второй вариант) почти укладывается в конструкцию первого. Рассматривая этот второй подход, мы намерено дополнили его еще и цифрами (рубриками) первого.
Вариант первого подхода

1. Вариант второго подхода


2

3

4

5

6.7

8


Проводя рассмотрение каждой премии, мы стремились придерживаться единого плана изложения. Повествование, как правило, включает фамилию(и) лауреата, государственную принадлежность каждого из них, годы жизни, направление, к которому относится работа. В направлении специально выделялся год присуждения премии. Далее следует дефиниция Нобелевского комитета, описание сути открытия и затем последовательно предыстория, история открытия, значение для человечества. Повествование завершается краткими биографиями лауреатов, их основными работами и литературой о лауреатах.
В процессе работы над книгой мы стремились включить как можно больше сведений о работе победителей, рассмотрев предысторию каждого открытия, суть самого открытия, его значение для грядущих поколений, не говоря уже о биографических справках. Тем не менее количество информации по каждому лауреату оказалось неодинаковым. Все же можно сказать, что книга эта содержит несравненно больше фактов, чем любая другая подобная публикация в России. Для расширения представлений о победителях нами приведены официальные фотографии лауреатов. Материалы для книги были собраны в фондах Библиотеки Российской академии наук, Санкт-Петербургского государственного университета и в сайтах Нобелевского фонда в Интернете.
При работе над книгой возникло много трудностей. Большинство из них связано с тем, что области исследования лауреатов чрезвычайно разнородны, специфичны и глубоки. Мы предприняли все от нас зависящее, чтобы проникнуть в самую суть каждой из проблем. Как хорошо известно, прогресс науки в последние десятилетия сосредоточился главным образом в исследовании комбинаций рекомбинантной ДНК, клеточном слиянии, ранних стадиях развития эмбриона, трансформациях клеточных субстанций. Таким образом, в настоящее время открыт путь к изучению феномена жизни на клеточном уровне. Принимая во внимание цель, определяющую направление современных исследований, это как раз и есть та попытка, которая объясняет феномен жизни человеческих существ.
Опережая знакомство читателя с содержанием книги, нам кажется здесь будет уместным напомнить, что в своем нобелевском докладе Павлов четко сформулировал главную задачу представлявшейся им науки – «проникать все глубже и глубже в нашем познании организма как чрезвычайно сложного механизма». То есть его исследования решали проблему завтрашнего дня, заглядывали за горизонт, носили фундаментальный характер. Именно к такому выводу приводит и анализ рассмотренных работ, отмеченных Нобелевской премией за прошедшее столетие.
Мы благодарны всем, кто оказал нам разного рода поддержку и сотрудничество в этой работе.
Завещание Альфреда Нобеля
Завещание Альфреда Нобеля
«Все мое оставшееся реализуемое состояние распределяется следующим образом:
Весь капитал должен быть внесен моими душеприказчиками на надежное хранение под поручительство и должен образовать фонд; назначение его – ежегодное награждение денежными призами тех лиц, которые в течение предшествующего года сумели принести наибольшую пользу человечеству. Сказанное относительно назначения предусматривает, что призовой фонд должен делиться на пять равных частей, присуждаемых следующим образом: одна часть – лицу, которое совершит наиболее важное открытие или изобретение в области физики; одна часть – лицу, которое добьется наиболее важного усовершенствования или совершит открытие в области химии; одна часть – лицу, которое совершит наиболее важное открытие в области физиологии или медицины; одна часть – лицу, которое в области литературы создаст выдающееся произведение идеалистической направленности; и наконец, одна часть – лицу, которое внесет наибольший вклад в дело укрепления содружества наций, в ликвидацию или снижение напряженности противостояния вооруженных сил, а также в организацию или содействие проведению конгрессов миролюбивых сил.
Награды в области физики и химии должны присуждаться Шведской академией наук; награды в области физиологии или медицины должны присуждаться Каролинским институтом в Стокгольме; награды в области литературы присуждаются Академией в Стокгольме; наконец, премия мира присуждается комитетом из пяти членов, выбираемых норвежским стортингом. Это мое волеизъявление, и присуждение наград не должно увязываться с принадлежностью лауреата к той или иной нации, равно как сумма вознаграждения не должна определяться тем, является он скандинавом или нет».
Париж
27 ноября 1895 г.
Глава 2
Нобелевские премии

Диплом Нобелевской премии И. П. Павлова.
Перевод текста диплома: “Каролинский медико-хирургический институт, который согласно духовного завещания составленного 15/27 ноября 1895 года Альфредом Нобелем имеет право присуждать Нобелевскую премию за важнейшие открытия, которыми обогатилась в последнее время физиология и медицина, постановил сего числа присудить премию сего 1904 года И. П. Павлову в знак признания его работ по физиологии пищеварения, каковыми работами он в существенных чертах пересоздал и расширил сведения в этой области. Стокгольм 7/20 октября 1904 года. Профессорский совет Каролинского медико-хирургического института”.

Диплом Нобелевского лауреата 1999 года Г. Блобеля (США)
2.1 Премии по физиологии или медицине
Иммунные процессы

ЭМИЛЬ АДОЛЬФ ФОН БЕРИНГ, Германия
(EMIL ADOLF VON BEHRING)
1854–1917
1901
1905
1908
1913
1919
1930
1951
1960
1972
1980
1984
1987
1996
ФОРМУЛИРОВКА НОБЕЛЕВСКОГО КОМИТЕТА: «за работы по серотерапии, и прежде всего за ее использование в борьбе против дифтерии, которыми он открыл новое направление в области медицинских знаний и тем самым дал в руки врача победоносное оружие против болезни и смерти».
СУТЬ ОТКРЫТИЯ: за открытие возможности создания у человека и животных пассивного иммунитета путем введения в их кровь готовых антител, полученных иммунизацией другого организма, и успешное приложение этого метода к лечению дифтерии.
ПРЕДЫСТОРИЯ
О том, что человек не болеет некоторыми болезнями дважды, было известно с древних времен. Так, Фукидид, описывая чуму в Афинах, отметил, что те немногие, кто выжил, могли ухаживать за больными без риска повторного заражения. О том же сообщали сочинения арабского врача X века Разеса (Rhazes) (Рази Абу Бакр Мухаммед бен Закария) и «Канон врачебной науки», написанный Авиценной (Ибн-Сина Абу Али, 980-1037) в XI веке. В Средние века любой обладатель оспин без страха встречал очередную эпидемию этой смертельно опасной болезни, а все остальные заболевали почти поголовно («Любовь и оспа минуют лишь немногих» – поговорка тех лет). Механизмы такой индивидуальной невосприимчивости не были известны даже в общих чертах. Само слово иммунитет (лат. immunitas) употреблялось только в его юридическом значении «свобода от податей или судебной ответственности».
В 1798 году английский врач Эдуард Дженнер (Edward Jenner, 1749–1823) прославился тем, что, заражая людей возбудителем легко переносимой коровьей оспы, избавлял их от риска заболеть смертельно опасной натуральной, то есть «человеческой», оспой. Таким образом, Дженнер первым (1798) показал возможность того, что позднее было названо созданием активного иммунитета. Сейчас мы знаем, что микроб, вводимый в организм человека, активирует его иммунную систему и та вырабатывает защитные бшкн-антитела, связывающие микроорганизмы и способствующие их уничтожению. Разумеется, свое открытие Дженнер сделал на основании одной только наблюдательности: каких-либо данных или хотя бы догадок не только о механизмах иммунитета, но и о микроорганизмах как возбудителях заразных заболеваний тогда не существовало. Просто доярки часто болели коровьей оспой и практически никогда – натуральной. Удача Дженнера состояла в том, что он нашел один из нечасто встречающихся случаев перекрестного иммунитета, когда одно заболевание вызывает невосприимчивость к другому. Именно поэтому открытие Дженнера не могло быть использовано для предупреждения многих других заразных болезней.
Большой опыт был накоплен практической медициной в применении предложенных Джозефом Листером (Joseph Lister, 1827–1912) методов асептики и антисептики.
Следующий шаг к пониманию процессов иммунитета был сделан французом Луи Пастером (Louis Pasteur, 1822–1895), показавшим в 1880-е годы, что именно микроорганизмы являются причиной инфекционных заболеваний. Работая с возбудителем куриной холеры, он доказал принципиальную возможность создания активного искусственного иммунитета к возбудителям различных инфекционных заболеваний. Пастер заражал кур ослабленными микробами или микробами, взятыми из старых культур. Эти ослабленные патогенные микробы вызывали несмертельное заболевание, которое заканчивалось приобретением устойчивости к повторному заражению. Вскоре этот метод был применен для создания иммунитета и у человека.