


(2.21)
Глубина замираний при логарифмически нормальном законе распределения определяется двумя параметрами: вероятностью F(Х), изменения уровня сигнала по отношению к медианному уровню, и величиной стандартного отклонения σ.
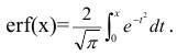
Значение σ находим по рис 6. При нахождении значений σ для весны и осени будем считать, что это средние значения между значениями для зимы и для лета.
Аппроксимация приведенных на рис. 6 графиков дает следующие формулы для вычисления σ:

(2.22)

(2.23)

(2.24)
На рис. 7а показаны четыре функции логарифмически нормального распределения для значений стандартного отклонения σ=1дБ (красная линия), σ=5дБ (синие точки), и σ=10дБ (линии фиолетового и зеленого цвета).
Примечание: Построение графиков выполнено в программе Matcad, слева от графиков показаны расчетные формулы. Для примера показаны два типа расчетных формул (через функцию pnorm и функцию erf), дающих одинаковый результат.

Рис. 7а. Интегральные функции распределений амплитуд сигналов при логнормальном распределении. Ось Х – децибелы по отношению к медианному значению. Ось Y – вероятность не превышения величины Х.
Характеристики логарифмически нормального закона, приведенные на рис.7, не соответствуют полученным интегральным функциям стандартного логнормального распределения рис.7а. Характеристике для σ=10 на рис .7 соответствует характеристика для σ=1 на рис. 7а. Нужно привести расчетные характеристики в соответствие с характеристиками рис.7, так как они близки к экспериментальным, таким образом, чтобы отклонение от медианного значения равное σ соответствовало значению интегральной функции 0.84, как на графиках рис 7.
Проведенные расчеты показали, что для получения расчетных характеристик, близких к экспериментальным, при расчете по формуле (2.23) нужно вместо значений σ, полученных из рис.6, применять значения σ1, в соответствии с таблицей 1.

Данные таблицы 1 могут быть аппроксимированы формулой:

(2.25)
Интегральные функции распределений амплитуд сигналов при логнормальном распределении, рассчитанные с учетом таблицы 1 для значений σ равных 3дБ, 5дБ, 7дБ, 10дБ (соответственно σ1 равных -9,5дБ, -5дБ, -2дБ, 1дБ), показаны на рис 8.

Рис. 8. Интегральные функции распределений амплитуд сигналов при логнормальном распределении
Полученные расчетные характеристики близки к экспериментальным. Потери от медленных замираний Lмз, определяются как отклонение сигнала от медианного значения, для заданной вероятности (заданного % времени безотказной работы). Поскольку отношение амплитуд сигналов и отношение мощностей сигналов, выраженные в децибелах, равны, то эти характеристики можно применять как для определения замираний амплитуды сигнала, так и для замираний мощности сигнала.
2.2.2.2 Потери Lз для телефонного канала.
Для того чтобы найти величину Lз, соответствующую определенной надежности связи при работе в телефонном режиме за продолжительный период (месяц), нужно найти функцию результирующего распределения уровня сигнала, учитывающую как быстрые, так и медленные замирания. Она будет зависеть от величины стандартного отклонения логарифмически нормального распределения σ для данной протяженности радиолинии и данного сезона года, а также от кратности разнесения.
Из рис.6 находим среднее значение величины стандартного отклонения σ (дБ) в зависимости от протяженности трассы. В зависимости от кратности разнесения по одному из рисунков 9 – 11 находим потери, обусловленные влиянием быстрых и медленных замираний в соответствии с заданной надежностью связи и найденным σ (дБ).

Рис. 9. Потери, обусловленные влиянием быстрых и медленных замираний, при одинарном приеме

Рис. 10. Потери, обусловленные влиянием быстрых и медленных замираний, при сдвоенном приеме

Рис. 11. Потери, обусловленные влиянием быстрых и медленных замираний, при счетверенном приеме
Линии на рисунках 9 – 11 можно аппроксимировать формулой

(2.26)
где х – надежность связи в %.
Коэффициенты аппроксимации a, b, c для целых значений σ, в зависимости от вида приема, приведены в таблице 2.
Таблица 2. Коэффициенты для формул аппроксимации

Получить обобщенные формулы аппроксимации в зависимости от σ не представляется возможным, так как не просматривается зависимость коэффициентов аппроксимации от σ. Поэтому для вычисления Lз(дБ) при дробных значениях σ придется делать линейную интерполяцию между значениями Lз(дБ), вычисленными для соседних целых значений σ. Для этой цели можно применять формулу:
Lз(дБ)=Lз(дБ,σцел)+(Lз(дБ,σцел+1)-Lз(дБ,σцел))×σдр, (2.27)
где σцел – целая часть значения σ;
σдр – дробная часть значения σ;
Lз(дБ,σцел) – значение Lз(дБ), вычисленное для целой части значения σ;
Lз(дБ,σцел+1) – значение Lз(дБ), вычисленное для σ на 1 больше его целой части.
2.2.3 Потери Lp, обусловленные влиянием неровностей рельефа местности.
Эти потери рекомендуется определять по графику рис. 12.
Определяем значение Δ для трассы,

(2.28)
где θсум= θпер + θпр, – углы горизонта со стороны передатчика и приемника;
Δ и θ – в градусах;
hа – высота подъема передающей и приемной антенн в метрах.

Рис. 12. Зависимость потерь, обусловленных влиянием неровностей рельефа, от суммарного угла закрытия
Кривые рис. 12 можно аппроксимировать формулой:
Lp(дБ)=a×ebΔ+c×edΔ, (2.29)
где a, b, c, d – коэффициенты, зависящие от дальности связи R, приведены в таблице 3.
Таблица 3. Коэффициенты аппроксимации

Если дальность связи совпадает с табличными значениями, то значение Lp(дБ) вычисляется непосредственно по формуле (2.33) с использованием коэффициентов из таблицы 3. Если дальность связи не совпадает с табличным значением, то для промежуточных значений необходимо вычислить табличные значения Lp(дБ) для нижнего Rн и верхнего Rв табличных значений дальности связи относительно заданной дальности связи R, и провести линейную интерполяцию полученных значений. Значение Lp(дБ) для дальности связи R будет определяться по формуле:

(2.30)
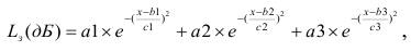
2.2.4 Потери Lh, обусловленные влиянием земной поверхности при малых величинах отношения h/λ, рекомендуется находить по графику рис. 13.

Рис. 13. Зависимость потерь от отношения высоты антенны к длине волны для различных расстояний
Кривые, показанные на рис. 13 могут быть аппроксимированы формулой

(2.31)
где х=h/λ;
a1, b1, c1, a2, b2, c2 – коэффициенты, зависящие от дальности связи R, приведены в таблице 4.
Таблица 4. Коэффициенты аппроксимации

Если дальность связи совпадает с табличными значениями, то значение Lh(дБ) вычисляется непосредственно по формуле (2.34) с использованием коэффициентов из таблицы 4. Если дальность связи не совпадает с табличным значением, то для промежуточных значений необходимо вычислить табличные значения Lh(дБ) для нижнего Rн и верхнего Rв табличных значений дальности связи относительно заданной дальности связи R, и провести линейную интерполяцию полученных значений. Значение Lh(дБ) для дальности связи R будет определяться по формуле:

(2.32)
2.2.5 Потери усиления антенн Lа(дБ).
Существует два различных понимания природы потери усиления антенн при больших коэффициентах усиления антенн. В [1] формула для расчета этих потерь выведена исходя из уменьшения объема переотражения в тропосфере при уменьшении диаграммы направленности антенн. В [2] формула получена исходя из того, что при больших размерах антенны распределение фаз в раскрыве антенны при приходе волн с различных направление будет отличаться от прихода плоской волны [7]. Результат вычислений La по формуле из источника [1] значительно отличается от экспериментальных данных по этому параметру, приведенных в источниках [1] и [7], а результат вычислений по формуле из источника [2] совпадает с этими экспериментальными данными. Поэтому потери усиления антенны будем определять по формуле из источника [2].
Определим потери усиления антенны:
Lа(дБ) = 0,07×exp [0,055× (Gпер + Gпр)], (2.33)
где Gпер и Gпр − коэффициенты усиления антенны (дБ).
2.2.6 Климатические потери Lк.
Это потери, связанные с отличием климатических особенностей района размещения станций от климатических условий центральной части ETC, можно оценить на основе установленной связи между потерями и значением коэффициента преломления у земной поверхности Nз.
По данным многолетних измерений метеорологических элементов, проводившихся на территории СССР, были рассчитаны значения Nз и вычислены величины Lк. На рис. 14 и 15 показаны изолинии изменения величины потерь Lк на территории СССР. Значения Lк даны на картах для трасс длиной 100, 200 и 300 км.

Рис. 14. Изменения потерь, обусловленных климатическими особенностями различных районов (январь, расстояния 100, 200 и 300 км)

Рис. 15. Изменения потерь, обусловленных климатическими особенностями различных районов (июль, расстояния 100, 200 и 300 км)
2.3 Общие потери на трассе.
Общие потери определяются по формуле:
L(дБ)=L0(дБ)+Lдоп(дБ). (2.34)
При необходимости перехода от среднемесячной оценки к среднесуточной или среднегодовой, необходимо подкорректировать общие потери на трассе, определив величину Δδ из рис. 16.

Рис. 16. Зависимость дополнительного запаса высокочастотного уровня сигнала от расстояния при переходе от суточной надежности к месячной или годовой надежности
L(сут) = L(мес)+Δδ (мес). (2.35)
L(год) = L(сут)-Δδ (год)=L(мес)+Δδ (мес)-Δδ (год). (2.36)
Кривую для годовой надежности (рис.16) можно аппроксимировать формулой:

(2.37)
А для месячной

(2.38)
2.4 Мощность шума на входе приемника.
2.4.1 Для телеграфных видов работы определяем мощность шума на входе приемника с учетом скорости передачи.
Рш.пр = Fэ×К×Т0×Δf(Гц) = 4×10-21×Fэ×Δf. (2.39)
Для различных типов модуляции ширина спектра сигнала Δf определяется:
– при непосредственной модуляции несущей для амплитудной и фазовой манипуляции Δf=1/Тс=V,
где Тс – длительность импульса;
– V(бод) – скорость передачи информации.
– для частотной манипуляции Δf=V при m≤1,
где m=fд/F – индекс частотной модуляции,
где fд – девиация частоты, F – частота манипуляции.
При m>1, Δf=2 fд=fр, где fр – разнос частот.
Для амплитудной, фазовой и узкополосной частотной манипуляции при непосредственной модуляции несущей формулы будут иметь вид:
Рш.пр =4×10-21×Fэ×V. (2.40)
Рш.пр(дБ)=10lg(Рш.пр). (2.41)
Fэ(дБ)=10lg(Fэ). (2.42)
2.4.2 В телефонном режиме надежность и качество связи на радиолинии оцениваются по отношению мощности сигнала к мощности шума на выходе оконечной станции (точнее, в такой точке телефонного канала, в которой уровень сигнала равен 0 дБ/мВт, т.е. Рс=1 мВт).
Для рассматриваемых многоканальных радиолиний с частотной модуляцией и частотным уплотнением мощность шума в телефонном канале определяется в точке с нулевым относительным уровнем сигнала Рс.т=0 дБ/Вт, т.е. в условной точке с уровнем сигнала 1 мВт.
Воспользоваться формулой для определения мощности шума в телефонном канале Рш.т. из источника [1] не удалось, так как не указаны единицы измерения входных параметров, а попытка подбора единиц измерений к успеху не привела. Кроме того, появилось подозрение о наличии в формуле опечатки, так как размерность вычисляемого значения Рш.т. не соответствует ватам.
Для вывода достоверной формулы вычисления мощности шума в телефонном канале воспользуемся данными из источника [4].
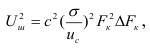
Так как ширина полосы телефонного канала много меньше средней частоты канала в линейном спектре ΔFк˂˂Fк, то спектральную плотность шумов в полосе одного канала можно считать постоянной. Тогда квадрат эффективного напряжения шумов в канале можно представить в виде:

(2.43)
где ΔFk=3100 Гц – ширина полосы пропускания телефонного канала;
Fк – средняя частота телефонного канала в линейном спектре аппаратуры уплотнения;
σ2=Рш/Δf – спектральная плотность шума на входе приемника в полосе 1 Гц;
uc – эффективное напряжение сигнала на входе приемника;
с – коэффициент пропорциональности между отклонением частоты и напряжением на выходе канала:
Uк=с×Δfк, (2.44)
где Uк – эффективное напряжение сигнала на выходе канала;
Δfк – эффективная величина отклонения частоты на один канал, равна удвоенной девиации частоты.
Тогда можно записать:

(2.45)
где Рш=FэkTΔf – мощность шума на входе приемника;
Рвх – мощность сигнала на входе приемника;
Δf – ширина полосы приемника;
Fэ – эффективный коэффициент шума приемника;
k=1,38×10-23 дж/град – постоянная Больцмана;
Т=290о k (20о C) – абсолютная температура среды.
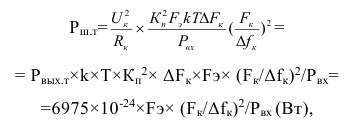
Подставляя (2.45) в (2.43) и значение «с» из (2.44) в (2.43) получим:

(2.46)
Перейдем к псофометрической мощности шума на выходе канала:
Рш.т=Кп2×Uш2/Rк, (2.47)
где Кп – псофометрический коэффициент (Кп=0,75 при ΔFk=3100 Гц);
Rк – сопротивление нагрузки канала;
Подставляя (2.48) в (2.49) получим:

(2.48)
где Uк2/Rк=Рвых.т=10-3 Вт – мощность сигнала на выходе телефонного канала (в условной точке, в которой рассчитывается псофометрическая мощность шума);
Рвх—мощность сигнала на входе приемника (Вт).
Эта формула справедлива и для малого числа каналов n (практически для n≥2). Из нее следует, что тепловые шумы при постоянных параметрах аппаратуры целиком определяются мощностью принимаемого сигнала. Так же как уровень принимаемого сигнала, мощность тепловых шумов на выходе линии является случайной функцией времени.
Для подвижный войсковых тропосферных станций телефонный канал считается нормальным если отношение сигнал/шум на выходе телефонного канала (в точке, где Рвых.т=10-3 Вт) будет не менее 35 дБ.
2.5 Требуемое превышение мощности сигнала над мощностью шума
Этот параметр определяется для обеспечения требуемой вероятности ошибки Рош с учетом релеевских замираний.
В течение времени сеанса связи потери на трассе могут изменяться только за счет быстрых замираний. Поэтому величину необходимого превышения сигнала над шумами «В» следует определять как требуемое отношение сигнал/шум для получения вероятности Рош не меньше заданной, найденное с учетом кратности разнесения каналов приема.
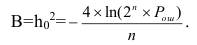
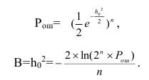
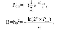
В=h02треб.
Вероятность битовой ошибки зависит от вида модуляции и вида приема (когерентный, некогерентный). h02треб будем определять для некогерентного приема:
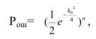
а) Для случая амплитудной манипуляции вероятность битовой ошибки определяется по формуле:

(2.49)
где h02 –отношение сигнал/шум на входе детектора,
n – кратность разнесения.
Требуемое превышение сигнала над шумом В, необходимое для обеспечения заданной достоверности приема, будет равно h02, найденному из (2.48):

(2.50)
б) Для случая частотной манипуляции вероятность битовой ошибки определяется по формуле:

(2.51)
(2.52)
в) Для случая относительной фазовой манипуляции вероятность битовой ошибки определяется по формуле:

(2.53)
(2.54)
В(дБ)=10×lgВ. (2.55)
2.6 Максимально допустимое значение полных потерь.
Параметр определяется по формуле:
Lп.пред(дБ)=Рпер(дБ)-Рш.пр(дБ)-В(дБ). (2.56)
2.7 Мощность сигнала на входе приемника.
Определяется по формуле:
Рвх(дБ)=Рпер(дБ)-L0(дБ)– Lдоп(дБ). (2.57)
2.8 Энергетический запас выбранной трассы.
Для наихудшего зимнего месяца энергетический запас выбранной трассы можно считать по следующей формуле:
δ(дБ)=Lп.пред(дБ)-L(дБ). (2.58)
При пересчете к суточной или годовой надежности следует воспользоваться формулами, аналогичными (2.37) и (2.38).
δ (сут) = δ (мес)-Δδ (мес). (2.59)
δ (год) = δ (сут)+Δδ (год)= δ (мес)-Δδ (мес)+Δδ (год). (2.60)
2.9 Приближенная оценка максимальной дальности связи.
Вычисляются постоянные потери, величина которых не зависит от дальности связи:
Lпост=Lдоп-Lмед.(дБ). (2.61)
Вычисляется коэффициент пропорциональности между реальными потерями в свободном пространстве и потерями в линии, зависящими от дальности связи:
K=L0/(L-Lпост), (2.62)
если энергетический запас трассы δ(дБ)<3дБ, величину К уменьшить в 2 раза для повышения точности вычислений.

(2.63)
где λ – длина волны в см.
Расчет проводится методом последовательного приближения. В разработанной программе рассчитанное значение Rпред на следующем цикле автоматически вводится в программу как заданная дальность связи и расчет повторяется до тех пор пока энергетический запас трассы не будет в пределах 1< δ(дБ)<0,5. Полученное при этом условии Rпред и считается предельной дальностью связи.
3.
Расчет по методике, изложенной в рекомендациях МСЭ-R P.617.
По данной методике определяются потери для худших условий при заданной дальности связи и распространении за счет рассеяния на неоднородностях тропосферы [2].
По эмпирическим формулам определяются среднегодовые медианные потери, не превышаемые в течение более чем q% времени, больших 50%.
3.1 Из рис. 17 находим климатическую зону, в которой работает линия связи. Вся территория России входит в 5-ю зону.

Рис. 17. Классификация климатических зон
3.2 Для выбранной климатической зоны из таблицы 5 находим метеорологический параметр и параметры структуры атмосферы, М и γ, а также номер уравнения, которое нужно использовать при расчетах.
Для пятой зоны М=29,73 дБ, γ=0,27 км-1, уравнение (3.8).
Таблица 5 – Значения метеорологических параметров и параметров структуры атмосферы

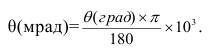
3.3 Вычисляем угол рассеяния по формуле:
θ(мрад)=θe+θпер+θпр, (3.1)
где θпер(мрад) и θпр(мрад) − углы горизонта со стороны передатчика и приемника, соответственно, а
θe(мрад) = R×103/(k×Rз) мрад=0,012×R, (3.2)
где: R – длина трассы (км);
Rз – радиус Земли, равный 6370 км;
k – коэффициент эквивалентного радиуса Земли. Для средних условий рефракции (следует использовать значение k = 4/3, если нет более точных данных).
Примечание: Поскольку в исходных данных θпер и θпр заданы в градусах, потребуется их пересчет в мрад.

(3.3)
3.4 Определяем потери передачи LN, в зависимости от высоты общего объема по формуле:
LN(дБ) = 20×lg(5 + γ H) + 4,34×γ×h, (3.4)
где
H(км) = 10–3×θ×R/4; (3.5)
h(км) = 10–6×θ2×k× Rз /8; (3.6)
γ − параметр структуры атмосферы, определенный в пункте 3.2.
3.5 Определяем параметр ds – эквивалентное расстояние (используется в некоторых формулах для вычисления Y(90)
ds(км) = θ×k×Rз/1000=8,4933×θ, (3.7)
где k=4/3 – коэффициент эквивалентного радиуса Земли.
3.6 Вычисляем коэффициент преобразования Y(90) (дБ) для времени q=90% по формуле:
Y(90) = -2,2-[8,1-2,3×10-4×min(1000×f, 4000)]×exp(-0,137×h) (3.8)
Y(90) = -9,5-3×exp(-0,137×h) (3.9)
Y(90) = -8,2 ds < 100 (3.10а)
Y(90) = 1,006×10-8×ds3 -2,569×10-5×ds2+0,02242×ds -10,2 100≤ ds<1000(3.10б)
Y(90) = -3,4 в иных случаях (3.10в)
Y(90) = -10,845 ds<100 (3.11а)
Y(90) = -4,5×10-7×ds3+4,45×10-4×ds2-0,122×ds-2,645 100≤ ds<550 (3.11б)
Y(90) = -8,4 в иных случаях (3.11в)
Y(90) = -11,5 ds<100 (3.12а)
Y(90) = -8,519×10-8×ds3+7,444×10-5×ds2+4,18×10-4×ds-12,1 100≤ ds<465(3.12б)
Y(90) = -4,0 в иных случаях (3.12в)