
3.7 По таблице 6 определяем коэффициент C(q) для искомого процента времени не превышения q.
Таблица 6 Зависимость C(q) от q

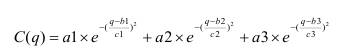
Эти табличные данные могут быть представлены кривой, изображенной на рис. 18.

Рис. 18. Аппроксимация данных таблицы 6
Кривая, изображенная на рис. 18 может быть аппроксимирована следующей формулой:

(3.13)
с коэффициентами:
a1=1.473e14 a2=-0.2272 a3=9.047
b1=108.8 b2=95.58 b3=153.3
c1=1.534 c2=7.786 c3=44.08.
3.8 Определяем коэффициент преобразования, Y(q) (потери от замираний), для процента времени не превышения q, отличного от 50%, по формуле:
Y(q)=C(q)×Y(90) дБ. (3.14)
3.9 Определяем потери между антеннами и средой распространения, La:
La=0,07×exp[0,055×(Gпер+Gпр)] дБ, (3.15)
где Gпер и Gпр − коэффициенты усиления антенн.
3.10 Определяем среднегодовые потери передачи, не превышаемые для процента времени q% по формуле:
L(q)=M+30×lg(fр)+10×lg(R)+30×lg(θ)+LN+La-Gпер-Gпр-ηпер-ηпр-Y(q). (3.16)
3.11 Определяем медианные потери в наихудший зимний месяц для процента времени q%.
3.11.1 Определяем эквивалентное расстояние по формуле:
dq(км)=R+8,5×(θпер(мрад)+θпр(мрад)). (3.17)
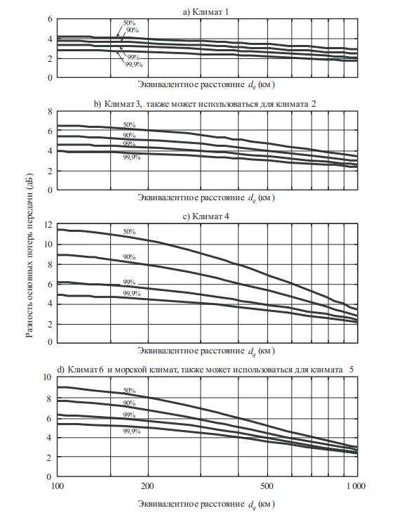
3.11.2 По графикам рис.19 определяем разность потерь между среднегодовыми распределениями и распределениями для среднего наихудшего месяца ΔL.

Рис. 19. Кривые разности между основными потерями передачи для наихудшего месяца и годовыми основными потерями передачи
Кривые, показанные на рис. 19 можно аппроксимировать формулой:
ΔL(дБ)=p1×dq2+p2×dq+p3, (3.18)
где p1, р2, р3 – коэффициенты аппроксимации, зависящие от q, приведены в таблице 7 для применяемых на практике значений q.
Таблица 7. Коэффициенты аппроксимации

3.11.3 Определяем медианные потери за средний наихудший зимний месяц по формуле:
Lм(мес)=L(q)+ΔL (дБ). (3.19)
3.12 При переходе к суточной надежности воспользуемся формулами (2.35) и (2.38) из первой методики. Определяем средние медианные потери за сутки:
Lм(сут) = Lм(мес)+Δδ (мес). (3.20)

(3.21)
3.13 Общее затухание на линии будет определяться по формуле:
L=Lм+Lбз (дБ), (3.22)
где Lм – соответствующее значение L(q), Lм(мес) или Lм(сут), в зависимости от заданного периода оценки надежности;
Lбз – потери от быстрых (релеевских) замираний, определяемые в п.2.2.1.1.1.
3.14 Определяем мощность сигнала на входе приемника:
Рвх(дБ) = Рпер(дБ)-L(дБ). (3.23)
3.15 Переводим полученное значение Рвх(дБ) в Рвх(Вт)
Рвх(Вт)=10Рвх(дБ)/10
и находим отношение сигнал/шум на входе приемника:
h02= Рвх(Вт)/ Рш.пр. (3.24)
Поскольку все каскады приемника от входных цепей до детектора являются линейными, при непосредственной модуляции несущей это же отношение сигнал/шум будет и на входе детектора, поэтому по нему можно определять вероятность битовой ошибки.
При передаче битовой информации по одному из телефонных каналов связи, входным сигналом для детектора является выходной сигнал телефонного канала, поэтому отношение сигнал/шум на входе детектора будет таким же, как на выходе телефонного канала:
h02=1мВт/Рш.т, (3.25)
где Рш.т – мощность шума на выходе телефонного канала, определяемая по формуле (2.50).
Расчеты h02, проводимые на основе двух рассмотренных выше методик, показали, что результаты расчетов не всегда совпадают. При небольших дальностях связи, примерно до 130 км, результат расчета по первой методике будет больше результата по второй методике, затем результаты совпадают, а при дальностях больше 150 км – результаты расчета по второй методике будут больше, чем по первой. Какая из методик дает более точный результат сказать сложно, поэтому, на наш взгляд, при расчете тропосферных трасс, расположенных на территории бывшего СССР, целесообразно использовать среднее значение h02, от рассчитанных по двум этим методикам.
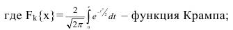
3.16 Определение длительности замираний
В некоторых случаях, особенно при моделировании замираний, требуется знать длительность замираний. В соответствии с [11] длительность релеевских замираний будем определять по формуле:

(3.26)
где Emin/Emed – глубина быстрых замираний по отношению к медианному значению. Определяется для заданной надежности связи в соответствии с
п. 2.2.1.1.1;
σ – среднеквадратическое отклонения глубины замираний, для графика, по которому определялась глубина замираний σ=0,84;
fd=V/λ – доплеровский сдвиг,
где V – относительная скорость движения переотражающего объекта (м/сек), в данном случае скорость ветра в объеме рассеяния тропосферы;
λ – длина волны несущего излучения (м).
3.17 Оценка качества радиоканала
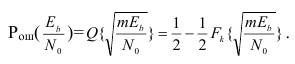
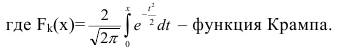
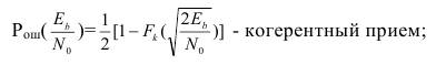
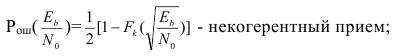
Оценку качества радиоканала будем производить по вероятности битовой ошибки в условиях белого гауссова шума, при отсутствии помехоустойчивого кодирования. Вероятность ошибки с учетом используемого вида модуляции находим по формуле [5]:

(3.27)

m – коэффициент, зависящий от вида модуляции и типа модулирующего сигнала.
m=0,5 для АМ,
m=1 для ЧМ,
m=2 для ФМ.


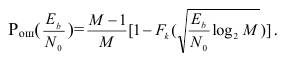
(3.28)
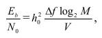
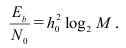
где Eb – энергия на 1 бит;
N0 – спектральная плотность мощности шума;
М – количество уровней модуляции;
Δf – полоса пропускания входного фильтра. При ЦОС обычно применяется цифровой фильтр с Δf=V;
V – битовая скорость передачи информации.
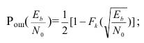
При условии применения такого цифрового фильтра уравнение (3.28) можно записать в виде:

(3.29)
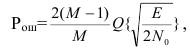
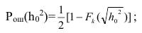
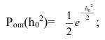
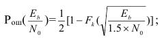
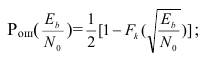
В условиях белого гауссова шума для случайной бинарной величины, которая может принимать два различных значения и априорная вероятность передачи каждого их этих значений 1/2, полная вероятность ошибочного приема в общем виде определяется по формуле [5]:

(3.30)

Е – энергия разностного сигнала;
N0 – спектральная плотность мощности шума.
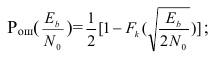
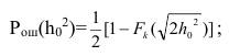
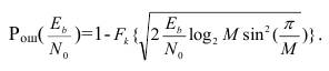
Для многоуровневой модуляции вероятность ошибочного приема будет определяться по формуле:

(3.31)
где М – количество уровней модуляции.
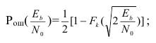
При переходе к энергии на бит получаем формулу:

(3.32)
При вычислении в Mathcad интеграл вероятности


(3.33)
4.
Оценка качества радиоканала тропосферной связи при различных видах модуляции для когерентного и некогерентного приема
4.1 Непосредственная передача прямоугольных импульсов:
– биполярные прямоугольные импульсы:

(4.1)

(4.2)
где Ts – длительность символа;
В – ширина полосы пропускания ФНЧ.
Обычно применяются ФНЧ с полосой пропускания в 2 раза превышающей частоту Найквиста В=1/Ts. Поэтому все формулы для некогерентного приема приведены для случая применения именно такого ФНЧ.
– однополярные прямоугольные импульсы:

(4.3)

(4.4)
4.2 Амплитудная манипуляция:
а) аналоговая обработка сигнала [10]:
– когерентный прием (фазовый детектор)

(4.5)
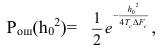
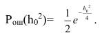
– некогерентный прием (амплитудный детектор)

(4.6)
где Тс – длительность импульса;
ΔFс – ширина спектра сигнала.
При импульсах типа «меандр», Тс×ΔFс=1.
Тогда

(4.7)
б) цифровая обработка сигнала [5]:
– однополярные прямоугольные импульсы:

(4.8)

(4.9)

(4.10)

(4.11)

– биполярные прямоугольные импульсы:

(4.12)

(4.13)

(4.14)

(4.15)
4.3 Частотная манипуляция:
а) аналоговая обработка сигнала [5]:
– оптимальный прием (когерентный прием)

(4.16)
– квазиоптимальный прием (некогерентный прием)

(4.17)
б) цифровая обработка сигнала [5]:
– FSK с разрывом фазы, с ФНЧ:

(4.18)
– MSK без разрыва фазы, с ФНЧ:

(4.19)
– при минимальном отклонении фазы на π/2 (при индексе модуляции m=1/2):

(4.20)
– многоуровневый сигнал:

(4.21)
4.4 Фазовая манипуляция [8]:
а) аналоговая обработка сигнала [10]:
– оптимальный когерентный прием

(4.22)
б) цифровая обработка сигнала [5]:
– оптимальный когерентный прием

(4.23)
– квазиоптимальный прием:

(4.24)
– многоуровневый ФМ сигнал:

(4.25)
4.5 Относительная фазовая манипуляция:
а) аналоговая обработка сигнала [10]:
– сравнение фаз

(4.26)
– сравнение полярностей

(4.27)
4.6 Технология OFDM:
Помехоустойчивость OFDM системы для канала Релея определяется выражением [6]:

(4.28)
где М – количество поднесущих в сигнале OFDM.
Выводы
Предлагаемые методики адаптированы для проведения расчетов на ПЭВМ. Для расчета каналов связи тропосферных радиолиний, расположенных на территории бывшего СССР, применимы обе методики, при этом имеется возможность сравнения результатов вычислений по двум методикам. Для расчета каналов связи тропосферных радиолиний, расположенных за пределами территории бывшего СССР, применима только вторая методика.
Проверка достоверности вычислений по предлагаемым методикам проведена частично, путем сравнения результатов вычислений с имеющимися в открытой печати [12] результатами натурных испытаний двух станций тропосферной связи: Р-423-ПМ и «Ладья». Сравнение вероятностей ошибки и предельных дальностей связи, измеренных при натурных испытаниях этих двух станций ДТР при 95% надежности связи, с результатами расчетов по предлагаемым методикам для среднегодовой надежности дает вполне приемлемую погрешность (порядка 0,5 дБ).
На основе предлагаемых методик разработана «Программа расчета канала ДТР» для вычисления в Matlab, позволяющая вычислять все параметры, определенные в этих методиках, такие как:
– величина затуханий (быстрые, медленные, медианные, общие);
– мощность сигнала на входе приемника (детектора);
– мощность шума на входе приемника (детектора);
– отношение сигнал/шум на входе приемника (детектора);
– энергетический запас трассы;
– предельная дальность связи;
– вероятность битовой ошибки при когерентном и некогерентном приеме при заданном виде модуляции.
Литература:
1. Ю.И. Давыденко Дальняя тропосферная связь. Москва. Военное издательство МО СССР, 1968.
2. РЕКОМЕНДАЦИЯ МСЭ-R P.617-3 Методы прогнозирования и данные о распространении радиоволн, необходимые для проектирования тропосферных радиорелейных систем. Женева, 2014.
3. Справочник МСЭ Данные о распространении радиоволн для проектирования наземных линий связи пункта с пунктом. 2008.
4. С.В. Бородич Расчет шумов в каналах радиорелейной линии с частотным уплотнением и частотной модуляцией, Электросвязь №3, 1956г.
5. В.А. Галкин Цифровая мобильная радиосвязь. Москва. -Горячая линия – Телеком, 2007.
6. Е.Н. Рычков, В.Г. Патюков Возможность использования программно-определяемой радиосистемы для исследования путей повышения помехоустойчивости тропосферных систем связи с OFDM-сигналами. Статья, Сибирский Федеральный Университет, 2015.
7. Калинин А.И. Расчет трасс радиорелейных линий, Москва, Связь, 1964.
8. К.К Васильев, В.А. Глушко и др. Теория электрической связи. УлГТУ, 2008.
9. С.Н. Песков, А.Е. Ищенко Расчет вероятности ошибки в цифровых каналах связи. Статья, 2010.
10. Л.Н. Волков, М.С. Немировский, Ю.С. Шинаков Системы цифровой радиосвязи. Москва, Экотрендз, 2005.
11. К. Феер Беспроводная цифровая связь, Москва, Радио и связь, 2000.
12. В.В. Мизеров, А.Г. Миронов, К.В. Шестак Создание и развитие отечественных средств многоканальной радиосвязи специального назначения, Орел, Виктори Медиа, 2015.