

Рис. 2.5 Диаграмма ε-d Г. К. Филоненко [2] для определения потенциала сушки.
Ниже рассмотрены примеры применения h-d диаграммы для воздуха при нахождении потенциала сушки и относительной влажности воздуха в сушилке.
Пример 4. Найти потенциал сушки для теоретической сушилки на входе ε1, выходе ε2 и среднее значение εср по следующим данным:
На входе в калорифер температура воздуха t0 = 22 °С, относительная влажность φ0 = 0,75; на выходе из сушилки температура воздуха t2 = 50 оС, относительная влажность φ2 = 0,5.
Решение. По известным параметрам t0 и φ0 находим на h-d диаграмме точку А (Рис 2.4, а) и влагосодержание d0 = 0,0125 кг/кг. По известным параметрам t2 и φ2 находим на диаграмме точку D и энтальпию h2 = 162 кДж/кг. Проводим через точку D линию, соответствующую процессу в теоретической сушилке (h = соnst) до пересечения с линией насыщения φ = 100% (точка М) и получаем tм = 38 оС. Продолжая линию h = соnst вверх до пересечения с вертикальной линией d0 = d1 = соnst (точка В, Рис. 2.4, а) и получаем t1 = 125 оС.
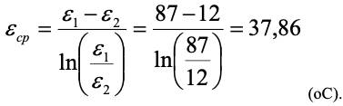
Находим потенциал сушки в точке В:
ε1 = t1 – tм = 125-38 = 87 (оС).
Находим потенциал сушки в точке D:
ε2 = t2 – tм = 50-38 = 12 (оС).
Среднее значение εср находим по уравнению:

Пример 5. Определить по показаниям психрометра tм = 70 °С и tв = 85 °С относительную влажность воздуха в сушилке, если давление в ней 700 мм рт.ст., а скорость воздуха 2 м/с.
Решение. Т. к. h-d диаграмма построена для давления 745 мм рт.ст., то расчет проводим аналитически. Находим поправку А по уравнению (2.20) на скорость движения воздуха в сушилке u, в месте установки психрометра:

По таблице свойств насыщенного водяного пара (Приложение) находим давление пара рн’= 0,3177 при температуре мокрого термометра tм = 70 оС. Для температуры tв = 85 оС давление насыщенного водяного пара рн находим по формуле линейной интерполяции табличных данных:


Определяем парциальное давление водяного пара в движущемся воздухе по уравнению (2.21):

Окончательно находим относительную влажность воздуха в сушилке по уравнению (2.5):

2.4 Топочные газы
Топочные (дымовые) газы в смеси с атмосферным воздухом широко используются при сушке различных материалов, в том числе органических веществ и пищевых продуктов. Многие материалы, например, песок, глина, твердое топливо, неорганические соли и т. д. высушивают при довольно высоких температурах – от 300 до 800 °С и выше. Для сушки этих материалов наиболее рационально использовать топочные газы, разбавляя их до нужной температуры атмосферным воздухом.
Преимущества сушки топочными газами: возможность получения высоких температур; простота топочных устройств; возможность непосредственного применения отработанных газов паровых котлов, промышленных печей, тепловых установок и других агрегатов.
Недостатки сушки топочными газами: возможность загрязнения высушиваемого материала продуктами сгорания (попадание на высушиваемый материал сажи или капель жидкого несгоревшего топлива), опасность работы с высокими температурами (возникновение пожаров в газоходах и пылеулавливающей аппаратуре при догорании угольной пыли или капель жидкого топлива), а также токсичная опасность при работе, из-за наличия в топочных газах вредных соединений (особенно сернистых).
В случаях допустимости применения высоких температур, но недопустимости непосредственного соприкосновения топочных газов с материалом, используют огневые калориферы, в которых воздух подогревается топочными газами и направляется в сушилку в качестве сушильного агента.
Топочные (дымовые) газы получают при сжигании газообразного (природный газ), жидкого (мазут, нефть) или твердого (уголь, торф, сланцы, дрова) топлива в топках и смешивают их в специальных камерах смешения с атмосферным воздухом для получения смеси заданной температуры. Горючая часть твердого и жидкого топлива состоит из углерода С, водорода Н и серы S. Элементарный состав рабочей массы топлива составляет 100 %. В общем случае:

Сера в топливе может быть в трех видах: органическая So (в составе сложных органических соединений), колчеданная Sк (в составе соединений с металлами типа FeS2) и сульфатная (в процессах горения не участвует). Зола топлива Ар – это смесь негорючих минеральных соединений. Золу и влагу топлива Ар + Wр называют внешним балластом, а кислород и азот Ор + Nр – внутренним балластом [5], т. к. они не участвуют в горении топлива. При отсутствии балластных соединений получаем горючую массу топлива, обозначая (г), а при полном отсутствии влаги в топливе пользуются понятием сухой массы топлива – (с).
Характеристики основных видов топлива. Угли марки А (антрацитные): с высокой степенью углефикации (С = 90-93%) и малым выходом летучих (Vг=2… 9%) относят к антрацитам. Угли марки Б (бурые): с неспекающимся коксом, выходом летучих Vг>40 % и QнР = 10,5… 15,9 МДж/кг.
Торф – наиболее молодое ископаемое топливо с большим выходом летучих порядка 70%, высокой влажностью Wp =40… 50% и низкой теплотой сгорания QнР= 8,38… 10,47 МДж/кг.
Сланцы – топливо с большой зольностью Ар = 50… 60%, повышенной влажностью Wp = 15…20%, низкой QнР =5,87…10 МДж/кг при высокой Qнг = 27,2… 33,5 МДж/кг. Сланцы относятся к легко воспламенимым топливам вследствие высокого содержания водорода Нг = 7,5… 9,5% и летучих Vг=80… 90%. Сланцы являются местным топливом, так как вследствие большой зольности и влажности транспортировка его на дальние расстояния неэкономична.
Большое значение в топливном балансе России имеют природные газы. Основной горючей составляющей их является метан СН4 (80-98%). Теплота сгорания сухого природного газа Qнг = 33,52… 35,61 МДж/м3. Состав газообразного топлива задается в процентах по объему горючих составляющих СН4, СО, Н2, углеводородов СnН2n+2 и негорючих газов СО2, О2, N2, Н2О. Характеристики различных видов топлив [5] приведены в приложении.
Образующиеся при сгорании топочные газы по химическому составу состоят из кислорода О2, азота N2, окиси CО и двуокиси CO2 углерода, сернистого газа SO2 и водяных паров H2O. Состав топочных газов зависит от вида топлива и количества воздуха, подводимого в топку для его сжигания (первичный воздух) и подмешиваемого к продуктам сгорания для понижения их температуры до заданной (вторичный воздух). Особенно вредны соединения серы, содержащиеся в топливе, т. к. они в соединении с влагой коррозируют металлические конструкции сушилок и ухудшают качество высушиваемых материалов. Поэтому применение сернистых топлив для сушки очень ограничено.
При полном сгорании топлива (с избытком воздуха) топочные газы имеют указанный выше химический состав. Положение усложняется при неполном сгорании топлива, без избытка воздуха. В этом случае продукты сгорания дополняются сажей, рядом химически активных углеводородов, имеющих резкий запах, что значительно ухудшает экологию производства. Поэтому важнейшим требованием является обеспечение полного сгорания топлива. Обеспечение полного сгорания топлива (большие значения коэффициента избытка воздуха α), используемого для сушки, не является проблемой, т. к. для понижения температуры топочные газы, как правило, все равно приходится разбавлять воздухом.
Существенное влияние на качество высушиваемых продуктов оказывает зольность топлива, вызывающая запыленность топочных (дымовых) газов. Применяя пылеулавливающие устройства (сухая, а в ряде случаев и мокрая пылеочистка), можно получить топочные газы почти не содержащие пыли, т. е. летучей сажи и золы.
При обычных условиях сжигания топлива в котельных и других промышленных установках теплота конденсации водяных паров продуктов сгорания не может быть использована, так как их температура значительно превышает точку росы. Поэтому при характеристике твердого и жидкого топлива эту теплоту исключают и получают значение его низшей теплоты его сгорания QнР. В значении высшей теплоты сгорания топлива QнР эта теплота учитывается. Связь между ними выражается формулой [5]:

где: коэффициент 0,025 учитывает теплоту парообразования, МДж/кг; величина 9Нр – количество воды, образующейся при сгорании водородной составляющей топлива (2: 9) по уравнению:

Низшая теплота сгорания углей QнР в зависимости от их месторождения, марки и сорта колеблется в пределах от 10000 до 28500 кДж/кг, жидких топлив (мазут, гудрон) – от 30000 до 40000 кДж/кг, газообразных топлив (природный газ) – от 38000 до 50 000 кДж/кг. Для сравнения различных топлив используется понятие условного топлива, имеющего теплоту сгорания 29330 кДж/кг (7000 ккал/кг). Таким образом, наибольшей теплотой сгорания обладает наиболее дешевое газообразное топливо, удобное в применении. Оно и наиболее широко используется.
При поступлении топлива на производство к нему прилагается паспорт, в котором указывается химический состав и теплота сгорания. При отсутствии паспорта анализ топлива проводит центральная заводская лаборатория.
Наиболее точная эмпирическая формула для расчета теплоты сгорания твердых и жидких топлив предложена Д. И. Менделеевым:

Низшая теплота сгорания сухого газообразного топлива (МДж/м3) может быть определена [5] по формуле:

Так как в расчетах газовых сушилок расход газа берется в кг, то теплоту сгорания сухого газообразного топлива необходимо пересчитать на МДж/кг. Для этого все члены уравнения (2.26) необходимо поделить на плотность смеси газов ρсм, находимую по правилу аддитивности:

где у – весовое содержание газа в смеси, ρ – его плотность.
С учетом этого для уравнения (2.27) получим в МДж/кг:

На основании уравнения Менделеева-Клайперона для идеальных газов плотность любого газа при заданной температуре Т и давлении Р рассчитывают по формуле:

где ρ0 – плотность газа при нормальных условиях (Р0 = 760 мм рт.ст и Т0 = 273,15 К). Расчеты упрощаются для природного газа, т. к. он состоит в основном из метана (более 90 %), а для него ρ0 = 0,72 кг/м3.
Высшая теплота сгорания сухого газообразного топлива (МДж/кг) может быть определена по формуле:

2.5 Расчет процесса горения топлива
Горение топлива – сложный физико-химический процесс взаимодействия топлива с окислителем (кислородом воздуха), сопровождающийся интенсивным выделением тепла и быстрым подъемом температуры.
Если топливо и окислитель находятся в одинаковом фазовом состоянии, то горение называется гомогенным. Если топливо и окислитель находятся в разных фазовых состояниях, то горение называется гетерогенным. Горение газового топлива является процессом гомогенным, а горение, например, дробленого угля или мазута в потоке воздуха – гетерогенным.
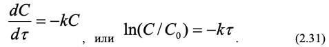
Скорость химического взаимодействия в процессе гомогенного горения может быть выражена через изменение концентраций реагирующих веществ C в единицу времени τ c учетом константы скорости реакции k. Для простейшего случая – реакция первого порядка выражается уравнением:

Интегрирование уравнения (2.31) позволяет получить кинетическое уравнение процесса горения вида:

где С0 – начальная концентрация вещества.
Закон действующих масс можно применять и для гетерогенных реакций. В этом случае в выражения закона действующих масс входят только концентрации газообразных веществ.
Скорость реакции в сильной степени зависит от температуры. Как известно, эта зависимость выражается законом Аррениуса:

где k0 – постоянная, определяемая экспериментально; R – газовая постоянная, кДжДмоль ∙К); T– термодинамическая температура, К; Е – энергия активации.
Если известен элементарный состав топлива Ср, Нр, Ор и Sр (в процентах по весу), то необходимое для сгорания теоретическое количество воздуха можно определить следующим образом. Запишем реакции полного горения составляющих топлива:

Реакция для водорода (2.24) записана выше. Из этих уравнений количество кислорода для сгорания 1 кг элементов топлива составит для С – 32/12 =2,67; для S – 1; для Н – 32/4=8.
Состав воздуха в объемных % обычно принимается [1] 21 % кислорода и 79 % азота. Мольная масса воздуха составит:
М = 0,21∙32 + 0,79∙28 = 28,8 кг/моль.
Состав воздуха в массовых % составит 0,21∙32/28,8=0,233 % кислорода и 0,79∙28/28,8 = 0,768 % азота. С учетом доли кислорода необходимое количество воздуха для сгорания 1 кг топлива составит для С —2,67/0,233 = 11,5; для S (как и для О) – 1/0,233=4,3; для Н – 8/0,233 =34,5. С учетом выражения элементарного состава топлива в процентах по весу, получим теоретическое количество абсолютно сухого воздуха для сжигания 1 кг твердого или жидкого топлива составит:

Теоретическое количество абсолютно сухого воздуха Lо, необходимое для сжигания 1 кг твердого или жидкого топлива, может быть рассчитано также по приближенной формуле [5]:

Практически для полного сгорания топлива в топку вводят больше воздуха, чем рассчитано теоретически. Отношение этих количеств называют коэффициентом избытка воздуха α. Кроме того, в камеры смешения вводят атмосферный воздух для понижения температуры продуктов сгорания до пределов, допустимых при сушке тех или иных материалов. Для тепловых расчетов сушилки устанавливают общий коэффициент избытка воздуха α = L
Конец ознакомительного фрагмента.
Текст предоставлен ООО «ЛитРес».
Прочитайте эту книгу целиком, купив полную легальную версию на ЛитРес.
Безопасно оплатить книгу можно банковской картой Visa, MasterCard, Maestro, со счета мобильного телефона, с платежного терминала, в салоне МТС или Связной, через PayPal, WebMoney, Яндекс.Деньги, QIWI Кошелек, бонусными картами или другим удобным Вам способом.
Вы ознакомились с фрагментом книги.
Для бесплатного чтения открыта только часть текста.
Приобретайте полный текст книги у нашего партнера:
Всего 10 форматов