

Структурная биохимия
Учебное пособие
Е. А. Бессолицына
© Е. А. Бессолицына, 2015
Создано в интеллектуальной издательской системе Ridero
Введение
Биохимия – это наука о структуре молекул, входящих в состав живых организмов, а также о процессах их превращений внутри организма или клетки.
Термин «биохимия» эпизодически употреблялся с середины XIX века, в классическом смысле он был предложен и введён в научную среду в 1903 году немецким химиком Карлом Нейбергом.
Биохимия является продолжением органической химии. Собственно многие молекулы (спирты, гетероциклы и другие) являются объектами исследований специалистами в области органической химии.
Одной из важных целей биохимии является изучение структуры, физико-химических свойств и функций молекул, которые входят в состав живых объектов. Многие молекулы являются объектами исследования и биохимиков и органических химиков. Кроме того, изучение молекул, входящих в состав живых организмов показало, что этих молекул огромное множество, прежде всего белков. И их свойства и функции также очень многообразны. Это с одной стороны увеличивает объем изучаемой информации, а с другой приводит к тому, что для освоения новых данных остается меньше времени. Именно поэтому биохимики, можно сказать, вынужденно ограничились изучением тех групп соединений, которые выявлены только в живых объектах, оставив остальные группы соединений органическим химикам.
Именно так появился раздел биохимии, который можно назвать «Структурная биохимия». Структурная биохимия изучает структуру, физические и химические свойства, а также функции исследуемых молекул. Как показал анализ, только для живых организмов характерны молекулы, относящиеся к четырем классам: углеводы (моносахариды и их полимеры полисахариды), нуклеотиды и их полимеры нуклеиновые кислоты, аминокислоты и их полимеры белки, липиды, у которых не выявлены полимерные формы, зато существуют надмолекулярные структуры, которые называют мембранами.
В данном учебнике изучается «Структурная биохимия», в которой рассматриваются четыре класса соединений, характерных только для биологических объектов. В учебнике изложены: классификация молекул и их структура в в зависимости от класса, физико-химические свойства и функции данных соединений. Также рассмотрены отдельные свойства молекул, определяющие их особые свойства, например особенности структуры, свойств и функционирования мембран, как особенных свойств и функций липидов и белков, их образующих.
Углеводы
Углеводы широко представлены в растениях и животных, где они выполняют как структурные, так и метаболические функции. В растениях в процессе фотосинтеза из углекислого газа и воды синтезируется глюкоза, которая далее запасается в виде крахмала или превращается в целлюлозу – структурную основу растений. Животные способны синтезировать ряд углеводов из жиров и белков, но большая часть углеводов поступает с пищей растительного происхождения.
Классификация углеводов
Углеводы – это альдегидные или кетонные производные полиатомных (содержащих более одной ОН-группы) спиртов или соединения, при гидролизе которых образуются эти производные.
Их можно классифицировать следующим образом:
Моносахариды – углеводы, которые не могут быть гидролизованы до более простых форм. Их можно подразделить на триозы, тетрозы, пентозы, гексозы, гептозы и октозы в зависимости от числа содержащихся в их молекуле атомов углерода; их можно разделить также на альдозы и кетозы в зависимости от присутствия альдегидной или кетонной группы.
Дисахариды при гидролизе дают две молекулы моносахарида (одинаковых или различных).
Олигосахариды при гидролизе дают 3—6 моносахаридов или, что чаще, полисахариды, в состав которых входит несколько десятков моносахаридных остатков.
Полисахариды дают при гидролизе более 6 молекул моносахаридов. Они могут быть линейными или разветвленными. Если полисахарид состоит из одинаковых мономеров, то их их называют гомополисахаридами, если из разных, то гетерополисахаридами. Также следует отметить, что большая часть полисахаридов содержит более тысячи мономерных остатков. Примерами служат крахмал и декстрины.
Моносахариды
Моносахариды – углеводы, которые не могут быть гидролизованы до более простых форм. Их можно подразделить на триозы, тетрозы, пентозы, гексозы, гептозы и октозы в зависимости от числа содержащихся в их молекуле атомов углерода; их можно разделить также на альдозы и кетозы в зависимости от присутствия альдегидной или кетонной группы. Отсчет атомов углерода начинают либо от входящего в состав альдегидной группы (первый атом), либо от ближайшего к кетонной группе.
Изомерия моносахаридов
Соединения, имеющие одну и ту же структурную формулу, но различающиеся по пространственной конфигурации, называются изомерами. Образование таких изомеров оказывается возможным при вхождении в состав молекулы асимметрических атомов углерода (к которым присоединены четыре различных атома или группы). Число возможных изомеров данного соединения зависит от числа асимметрических атомов углерода (n) и равно 2n. Глюкоза с четырьмя асимметрическими атомами углерода имеет, следовательно, 16 изомеров. Ниже указаны наиболее важные типы изомеров глюкозы.
Стереоизомерия или D и L изоформы:
В многих органических молекулах есть атом углерода с которым связаны четыре различные группировки, и такую молекулу можно представить как молекулу метана, в виде тетраэдра, в верхушках которого располагаются группировки. Такой атом называется хиральным, в случае моносахаридов принадлежность к D или L форме определяется расположением гидроксильной (ОН) группировки, относительно хирального атома углерода. Если ОН-группа слева, то это L-форма, если справа, то D-форма. Но полностью этому правилу соответствует только глицероальдегид, имеющий только один хиральный атом (Рисунок 1 А). Во всех других углеводах хиральных атомов несколько, и каждый из них может быть признан для определения принадлежности к одной из форм стереоизомеров. Было принято решение признать атомом, определяющим стереоизомерию, последний хиральный атом молекулы (предпоследний атом углерода в молекуле). Но изменение положения гидроксильной группы только у данного атома углерода не приведет к образованию полностью зеркального отображения, что является основным условием для существования двух форм стереоизомеров. Поэтому появилось понятие ряда углеводов, то есть все углеводы могут быть выведены или синтезированы из минимального углевода (триозы), и, следовательно, эта триоза является предшественником или родительским соединением, так как единственная триоза, обладающая оптическими свойствами – глицероальдегид, то именно эта молекула является родительским соединением для всех остальных. Принадлежность к одному их стреоизомеров родительского соединения, определяет принадлежность к D или L-форме всех остальных моносахаридов, синтезируемых из данного родительского соединения (Рисунок 2). В ходе синтеза углеводов с числом атомов больше чем три (глицероальдегид), присоединение каждого следующего атома углерода

Рисунок 1. Структурные формулы стереоизомеров углеводов, * – отмечены асимметрические (хиральные) атомы. А – глицероальдегид * – отмечен асимметрический атом, определяющий принадлежность к D или L форме, Б – стереоизомеры глюкозы, крупной * отмечены асимметрические атомы углерода, определяющие принадлежность к стереоизомерам
происходит по альдегидной группе, и, следовательно, хиральный атом родительского соединения оказывается все дальше от первого атома углерода, то есть остается последним асимметричным или просто предпоследним атомом углерода (рисунок 2). Присутствие асимметрических атомов углерода является причиной оптической активности соединения. Если пучок плоскополяризованного света проходит через раствор оптического изомера, плоскость поляризации света поворачивается либо вправо (правовращающий изомер, +), либо влево (левовращающий изомер, – ). Соединение обозначают D ( – ), D (+), L ( – ) или L (+); это обозначение показывает наличие структурного родства с D- или L- глицеральдегидом, но не обязательно тот же знак оптического вращения. Например, природной формой фруктозы является D ( – ) – изомер. Если D- и L-изомеры присутствуют в равных количествах, их смесь не проявляет оптической активности – активности изомеров компенсируют одна другую. Такие смеси называют рацемическими (или DL-смесями). Соединения, получаемые синтетическим путем, оказываются рацемическими, поскольку в этом случае вероятности образования каждого из изомеров одинаковы.

Рисунок 2. Структура D-ряда углеводов
2. Пиранозные и фуранозные кольцевые структуры.
Альдегидные или кетонные группировки легко реагируют со спиртовыми, образуя полуацетальные или полукетальные группировки, чаще всего это происходит внутри молекулы, и, следовательно, происходит циклизация моносахарида, в результате образуется модифицированный гетероцикл, содержащий атом кислорода. Наиболее устойчивы пяти и шестичленные циклы. Пятичленные циклы углеводов сходны с молекулой фурана, поэтому это фуранозная форма, шестичленные с молекулой пирана – пиранозная форма (Рисунок 3). Все гидроксильные группы, расположенные справа оказываются под циклом, а те что слева – над циклом. Кольцевую структуру могут принимать и кетозы (например, D-фруктофураноза или D-фруктопираноза). В растворе глюкозы более 99% молекул находится в пиранозной форме и менее 1% – в фуранозной форме.

Рисунок 3. Пиранозные и фуранозные формы углеводов
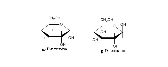
3. α- и β-аномеры. При циклизации образуется гидроксильная группа при полуацетальной или полукетальной группировке, полуацетальный или полукетальный гидроксил, эта группа может располагаться под циклом, в результате образуется α-аномер, а может располагаться над циклом, тогда образуется β-аномер. Циклическая структура сохраняется и в растворе, но при этом происходит образование изомеров относительно положения альдегидного и кетонного атома углерода, что приводит к образованию смеси α – глюкопиранозы (36%) и β – глюкопиранозы (63%); оставшийся 1% представлен в основном α – и β – аномерами глюкофуранозы. Описанное выше установление равновесия сопровождается так называемой мутаротацией: полуацетальное кольцо раскрывается и вновь замыкается, при этом может изменяться положение групп – Н и – ОН при углероде 1. Предполагают, что в ходе этого процесса образуется промежуточная гидратированная линейная (ациклическая) молекула, хотя по данным полярографии на долю ациклической формы глюкозы приходится всего 0,0025%. В растворе глюкоза является правовращающей; этим объясняется еще одно ее название – декстроза (декстро – правый), часто употребляемое в клинической практике (Рисунок 4).

Рисунок 4. Структурные формулы аномеров глюкозы. α- и β-аномеры
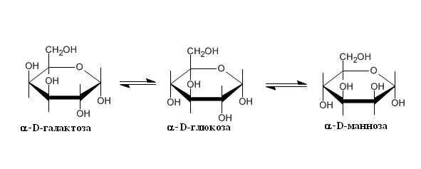
4. Эпимеры. Изомеры, различающиеся по конфигурации положением групп – Н и – ОН при асимметричных атомах углерода, которые не связаны с принадлежностью к стереоизомерам, называются эпимерами. Биологически наиболее важными эпимерами глюкозы являются: манноза и галактоза, образующиеся путем эпимеризации при атомах углерода 2 и 4 соответственно (Рисунок 5).

Рисунок 5. Эпимеризация глюкозы
5. Альдо-кето-изомеризация. Фруктоза имеет ту же химическую формулу, что и глюкоза, но отличается по структурной формуле, поскольку фруктоза содержит потенциальную кетонную группу в положении 2, а глюкоза – потенциальную альдегидную группу в положении 1.
Конформация моносахаридов
Шестичленные кольца из одинарных связей, в циклогексане и в сахарах, как правило, принимают конформацию «кресла», как это видно на примере глюкозы (Рисунок 6). Помимо этого, шестичленные кольца могут принимать менее устойчивую конформацию «лодки». Свободно переходят одна в другую через промежуточные скошенные конформации.
Пятичленные кольца образуют конформацию «конверта».

Рисунок 6. Конформация шестичленных колец
Физические свойства моносахаридов
Моносахариды гидрофильны, а, следовательно, легко растворимы в воде. Растворимость моносахаридов примерно одинакова, поэтому разделение моносахаридов достаточно сложно. Моносахариды не поглощают свет ни в видимой, ни в ультрафиолетовой части спектра. Из-за этого нельзя определять концентрацию моносахаридов спектрофотометрическими методами. Так как моносахариды находятся в природе либо в растворе, либо в кристаллах, в физиологических диапазонах температуры нет вопроса о температурах плавления и кипения.
Химические свойства моносахаридов
По своей структуре моносахариды содержат два типа функциональных групп: спиртовые и альдегидные (кетонные), соответственно моносахариды вступают в реакции по этим группам. Моносахариды вступают во многие химические реакции, весьма важные для практического использования и исследования углеводов. Реакции, обсуждаемые в данном разделе, демонстрируют либо наиболее важные свойства углеводов, либо типы реакций, часто встречающиеся в их метаболизме.
Образование эфиров. Это реакция спиртовых групп образуются либо эфиры неорганических кислот, либо органические эфиры (простые со спиртами или галогенидами или сложные с ангидридами кислот). Наиболее активной является полуацетальная спиртовая группа, соответственно она чаще вступает в реакции с образованием эфиров. Эфиры фосфорной и уксусной кислот занимают уникальное место в биохимии и встречаются во многих углеводах и их производных.
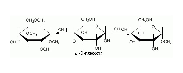
Алкилирование (Рисунок 7)

Рисунок 7. Алкилирование
При взаимодействии со спиртами в реакцию вступает только полуацетальная гидроксильная группа, так как спирты слабо активны, поэтому образуется эфир с полуацетальной гидроксильной группой. Галогениды более реакционно способны, поэтому образуют эфиры со всеми свободными группами моносахарида.
Ацилирование (Рисунок 8)

Рисунок 8. Ацилирование
В реакцию образования сложных эфиров вступают спиртовые и карбоксильные группы, но карбоновые кислоты мало реакционно способны поэтому не вступают в реакцию моносахаридами. В реакции ацилирования используют ангидриды карбоновых кислот, их высокая реакционная способность позволяет модифицировать все свободные гидроксильные группы.
Образование эфиров неорганических кислот (Рисунок 9)

Рисунок 9. Образование эфиров неорганических кислот
Неорганические кислоты бывают сильными и слабыми, это объясняет различия их взаимодействия с моносахаридами. Сильные кислоты, например серная, вступают в реакцию с полуацетальной гидроксильной группой, образуя эфир, слабые кислоты вступают в реакцию только после реакции ацилирования, но модифицируют только эфир образованный полуацетальной группой.
Дегидратация. В сильных минеральных кислотах высокой концентрации происходит дегидратация пентоз и гексоз (Рисунок 10). Образовавшиеся фурфурол и оксиметилфурфурол легко полимеризуются; при этом получается коричневая смола. Они также конденсируются с различными фенолами, образуя характерно окрашенные продукты; многие цветные реакции на углеводы основаны на этом свойстве.

Рисунок 10. Дегидратация
Перегруппировка в щелочной среде. В холодном разбавленном щелочном растворе глюкоза образует маннозу и фруктозу. Механизм реакции, возможно, включает енолизацию, которая сопровождается диссоциацией водорода от атома углерода, примыкающего к карбонильной группе. Так образуются эпимеры – глюкоза и манноза.
Окисление моносахаридов. Окисление моносахаридов, возможно, многими способами.
Мягкое окисление до альдоновых кислот. В горячих щелочных растворах моносахариды реагируют с некоторыми окисляющими агентами, такими, как Cu2+, Ag+ и Fe (CN) -, давая смесь продуктов окисления углевода и изменяя окраску окисляющего агента (Рисунок 11). В данных условиях окисляется альдегидная или кетонная группа. Эти окислительно-восстановительные реакции используются как тесты на восстанавливающие сахара, т. е. на углеводы с незамещенным аномерным альдегидным атомом углерода. D-Глюконовая кислота образуется в виде соли при взаимодействии D-глюкозы с гипоиодитами в щелочной среде. Эта реакция специфична для альдоз и используется для того, чтобы отличить их от кетоз.

Рисунок 11. Мягкое окисление моносахаридов до альдоновых кислот
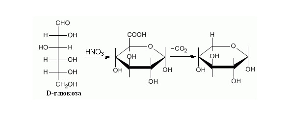
Более жесткое окисление до альдуроновых кислот, реакция происходит при участии «средних» окислителей, например небольшие концентрации азотной кислоты (Рисунок 12). Данная реакция происходит и в природе, но при других условиях. В результате окисляется гидроксильная группа при последнем атоме углерода.

Рисунок 12. Окисление до альдуроновых кислот
Жесткое окисление до альдаровых кислот, реакция происходит в жестких условиях, например при больших концентрациях сильных кислот, например, азотной. В результате происходит окисление обеих групп – альдегидной и последней спиртовой, в результате образуется дикарбоновая кислота, или альдаровая (Рисунок 13).

Рисунок 13. Окисление до альдаровых кислот
Восстановление моносахаридов. Восстановлению могут подвергаться как альдегидная, так и спиртовые группы
Восстановление альдегидной группы. D-Глюкоза и L-сорбоза восстанавливаются газообразным водородом в присутствии подходящего металлического катализатора, образуя сорбит (Рисунок 14).

Рисунок 14. Восстановление альдегидной группы
Восстановление спиртовой группы. В клетке происходит переход рибозы в дезоксирибозу (Рисунок 15). Эта реакция происходит в природе, но при несколько иных условиях. Это один из основных способов синтеза дезоксисахаров.

Рисунок 15. Восстановление спиртовой групы
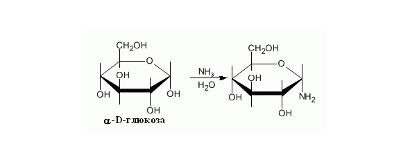
Образование аминосахаров. В природе также происходит синтез аминосахаров, но механизм и атакуемые группы отличаются, в искуственной системе в реакцию вступает полуацетальная группировка как наиболее реакционно способная (Рисунок 16).

Рисунок 16. Образование аминосахаров
Укорочение цепи. Этот процесс связан с окислением в средних условиях. Карбоксильная группа в последнем положении нестабильна и легко отщепляется от молекулы, в результате углевод становится на один атом короче (Рисунок 17).

Рисунок 17. Укорочение цепи
Удлинение цепи. Это результат реакции с цианидом, затем происходит реакция с водой, в результате образуется кислота. Восстановление карбоксильной группы приводит к образованию моносахарида, но на один атом углерода длиннее (Рисунок 18).

Рисунок 18. Удлинение цепи
Гидролиз поли- и олигосахаридов. Реакция гидролиза это реакция расщепления полимера с участием молекулы воды. В случае гидролиза поли- и олигосахаридов атаке подвергается гликозидная связь. В результате реакции отщепляются мономерные остатки (моносахариды). Реакции гидролиза поли- и олигосахаридов с последующим анализом продуктов гидролиза используются для качественного и количественного определения состава полисахаридов.
Определение моносахаридов
Некоторые качественные реакции, которые используются для идентификации моносахаридов.
Альдозы, кетозы
Реактив: α-нафтол (реакция Молиша), триптофан аминогуанин.
Более чувствительна для кетоз.
Кетогексозы
Реактив: резорцин (реакция Селиванова).
Кетогексозы, Кетопентозы, метилпентозы, диоксиацетон
Реактив: цистеин/карбазол.
Все углеводы, включая уроновые кислоты и дезоксипентозы
Реактив: карбазол.
Характерное окрашивание со всеми углеводами.
Многие углеводы, включая полисахариды, чаще используется для гексоз.
Реактив: цистеин/H2SO4, антрон.
Неодинаковое окрашивание с различными углеводами.
Пентозы, гептулозы, уроновые кислоты
Реактив: орцин.
Окрашивание, обусловленное присутствием других углеводов, может быть ликвидировано независимыми методами, уроновые кислоты декарбоксилируются до пентоз и вступают в реакцию.
Уроновые кислоты
Реактив: нафтилрезорцин.
гексозамины
Реактив: Ацетилацетон-n-диметил-аминобензальдегид.
гексозамины
Реактив: нитрит/индол.
Аминосахара не дают окрашивания без предварительного дезаминирования нитритом.
Моно и дидезоксипентозы
Реактив: дифениламин.
дезоксипентозы
Реактив: триптофан/HClO4, индол/HCl, лейкофуксин (реакция Фольгена).
Сиаловые кислоты
Реактив: тиобарбитуровая кислота.
Функции моносахаридов
Функции моносахаридов очень разнообразны и зависят от того сколько атомов углерода содержит моносахарид.
Триозы – промежуточные продукты обмена углеводов и липидов.
Тетрозы – промежуточные продукты обмена углеводов могут входить в состав полисахаридов.
Пентозы – промежуточные продукты обмена углеводов могут входить в состав полисахаридов, и нуклеотидов.
Гексозы – глюкоза и фруктоза основные сахара энергетического обмена углеводов, входят в состав полисахаридов.
Гептозы – промежуточные продукты обмена углеводов.
Физиологически важные моносахариды
D-рибоза
В какие молекулы или вещества входит: нуклеотиды, коферменты, РНК.
Биологическое значение: компонент нуклеиновых кислот коферментов (NAD, NADP, FAD), нуклеотидов, промежуточное соединение пентозофосфатного пути.
D-рибулоза
В какие молекулы или вещества входит: образуется в ходе метаболизма.
Биологическое значение: промежуточное соединение пентозофосфатного пути.
D-Арабиноза
В какие молекулы или вещества входит: гуммиарабик, сливовая и вишневая мякоть.
Биологическое значение: компонент гликопротеинов.
D-Ксилоза
В какие молекулы или вещества входит: древесная смола, протеогликаны, гликозаминогликаны.