
Биологическое значение: компонент гликопротеинов.
D-Ликсоза
В какие молекулы или вещества входит: ликсофлавин.
Биологическое значение: компонент ликсофлавина, выделяемого сердечной мышцей.
L-Ксилулоза
В какие молекулы или вещества входит: промежуточный продукт метаболизма уроновых кислот.
Биологическое значение: промежуточный продукт метаболизма уроновых кислот.
D-глюкоза
В какие молекулы или вещества входит: фруктовые соки, крахмал, сахароза, лактоза, мальтоза
Биологическое значение: сахар организма, участвует в энергетическом обмене, является предшественником других соединений.
D-фруктоза
В какие молекулы или вещества входит: мед, сахароза, лактоза, инулин.
Биологическое значение: превращается в глюкозу, и может использоваться в тех же метаболических путях.
D-галактоза
В какие молекулы или вещества входит: лактоза, гликопротеины, гликолипиды.
Биологическое значение: превращается в глюкозу, и может использоваться в тех же метаболических путях.
Производные моносахаридов
Производные моносахаридов: эфиры моносахаридов, альдуроновые кислоты, аминосахара, дезоксисахара, гликозиды.
Все производные моносахаридов входят в состав полисахаридов. По мимо этой основной функции производные моносахаридов могут выполнять свои специфические функции.
Альдуроновые кислоты участвуют в образовании витамина С и в процессах детоксикации.
Дезоксисахара входят в состав нуклеотидов (мономеры ДНК).
Аминосахара входят в состав антибиотиков.
Гликозиды

Рисунок 19. Структура некоторых гликозидов. А-стрептомицин, Б-уабаин
Гликозиды – это соединения, образующиеся путем конденсации моносахарида (или моносахаридного остатка в составе более сложного сахара) с гидроксильной группой другого соединения, которым может быть другой моносахарид или вещество неуглеводной природы (тогда его называют агликоном). Гликозидная связь образуется в результате реакции полуацетальной (полукетальной) группы моносахарида и спиртовой группой другого соединения, такая связь называется О-гликозидная. Также полуацетальная (полукетальная) гидроксильная группа может вступать в реакцию с аминогруппой другого соединения тогда образуется N-гликозидная связь. Если полуацетальная группа принадлежит глюкозе, образующееся соединение называют глюкозидом, если галактозе – галактозидом и т. д. Гликозиды найдены в составе многих лекарств и пряностей, они являются также компонентами животных тканей. Агликонами могут быть метанол, глицерол, какой-либо стерол или фенол. Гликозиды, имеющие важное медицинское значение, например, влияющие на работу сердца (сердечные гликозиды), содержат в качестве агликонового компонента стероиды; так, из наперстянки и строфанта выделен гликозид уабаин – ингибитор Na/K-ATP-aзы клеточных мембран. К числу гликозидов относится ряд антибиотиков, в частности стрептомицин (Рисунок 19). N-гликозидами являются нуклеотиды и нуклеозиды. Но простейшими гликозидами являются дисахариды. В случае дисахаридов агликоном является молекула другого моносахарида.
Дисахариды
Дисахариды состоят из двух ковалентно связанных друг с другом моносахаридов. У дисахаридов химическая связь между моносахаридными единицами называется гликозидной связью; она образуется в результате взаимодействия гидроксильной группы одного из сахаров с аномерным атомом углерода второго сахара. Гликозидные связи легко гидролизуются кислотами, но устойчивы к действию оснований. Поэтому дисахариды можно гидролизовать и получить в свободном виде их моносахаридные компоненты путем кипячения в разбавленной кислоте.
По составу дисахариды подразделяют на гомодисахариды (состоят из одинаковых мономеров) и гетеродисахариды (в состав входят разные моносахариды).
По наличию свободной полуацетальной группы дисахариды можно разделить на две группы: восстанавливающие (редуцирующие) и невосстанавливающие (нередуцирующие). Свободная полуацетальная группа способна разделяться с образованием спиртовой и альдегидной или кетонной группы, то есть происходит разрыв цикла. Образовавшаяся альдегидная (кетонная) группировка может вступать реакцию с ионами металлов (Cu2+, Ag+) и восстанавливать их – редуцирующие дисахариды. Если все свободные полуацетальные группировки образуют гликозидные связи, то разрыв цикла невозможен, также как и восстановление альдегидной (кетонной) группы, следовательно не может вступать в реакцию восстановления с ионами металлов – нередуцирующие дисахариды.
Все дисахариды являются гликозидами. Называя дисахарид необходимо учитывать факт, что это гликозиды. Кроме того, при номенклатуре дисахаридов необходимо учитывать также химическую связь между моносахаридами. То есть указываются номера атомов углерода, спиртовые группы при которых участвуют в образовании гликозидной связи, а также аномер моносахарида, чей полуацетальный гидроксил образует гликозидную связь.
Практически все дисахариды выполняют транспортную функцию, так как они легко растворимы, и при этом менее функционально активны чем моносахариды.
Часть дисахаридов, например мальтоза являются промежуточными продуктами гидролиза полисахаридов.
Дисахариды можно подразделить на дисахариды растений и дисахариды животных.
Дисахариды животных

Рисунок 20. Структурные формулы основных дисахаридов
Мальтоза гомодисахарид, содержащий два остатка α D-глюкозы, соединенных α (1—4) гликозидной связью, то есть связь между гидроксилом при 1 углероде и гидроксилом при 4 углероде, причем полуацетальный гидроксил в α форме (Рисунок 20). Оба остатка глюкозы в молекуле мальтозы находятся в пиранозной форме. Мальтоза относится к восстанавливающим сахарам, поскольку она содержит одну потенциально свободную альдегидную группу, которая может быть окислена. Второй остаток глюкозы в молекуле мальтозы может существовать как в α-, так и в β-форме; мальтоза образуется при действии на крахмал содержащегося в слюне фермента – амилазы. Под действием секретируемого слизистой кишечника фермента мальтазы, специфически гидролизующего α (1—4) – связь, мальтоза подвергается гидролизу с образованием двух молекул D-глюкозы.
Лактоза гетородисахарид, при гидролизе которой образуется D-галактоза и D-глюкоза, моносахариды соединены β (1—4) гликозидной связью, присутствует только в молоке (Рисунок 20). Наличие в молекуле лактозы потенциально свободной карбонильной группы (в остатке глюкозы) делает ее восстанавливающим дисахаридом. Лактоза является молочным сахаром, это единственный дисахарид, синтезируемый млекопитающими.
В процессе переваривания пищи лактоза подвергается ферментативному гидролизу в результате воздействия лактазы, секретируемой мукозными клетками кишечника. У грудных младенцев активность этого фермента очень высока, однако в кишечнике взрослых людей лактазная активность наблюдается лишь у жителей севера Европы и некоторых африканских племен. У большинства взрослых людей, в том числе у жителей Востока, арабов, евреев, многих африканцев, индийцев и жителей Средиземноморья, лактазная активность в кишечнике очень низка, что часто приводит к непереносимости (интолерантности) лактозы. Описанная особенность обусловлена генетически. Причина непереносимости лактозы связана с тем, что этот дисахарид может всасываться в кишечнике только после гидролиза на моносахаридные компоненты: при низкой лактазной активности неусвоенная лактоза накапливается в кишечнике; в результате после потребления молока у человека с непереносимостью лактозы возникает тяжелый понос и боли в животе.
Трегалоза состоит из двух молекул α D-глюкозы, соединенных 1—1 α гликозидной связью. Трегалоза входит в состав гемолимфы насекомых, также выделяется из некоторых грибов. Является нередуцирующим дисахаридом (Рисунок 20). Трегалоза является транспортной формой моносахаридов в кровеносной системе насекомых.
Дисахариды растений
Сахароза – гетеродисахарид, состоящий из глюкозы и фруктозы, соединенных β (1—2) гликозидной связью (Рисунок 20). Сахароза является нередуцирующим сахаром. Сахарозу синтезируют многие растения, у высших же животных она отсутствует. В отличие от мальтозы и лактозы у сахарозы нет свободного аномерного атома углерода, поскольку оба аномерных атома моносахаридных остатков связаны друг с другом; поэтому сахароза не является восстанавливающим сахаром. Сахароза основной промежуточный продукт фотосинтеза. У многих растений именно в форме сахарозы транспортируются по сосудистой системе сахара из листьев к другим частям растения. Преимущество сахарозы перед глюкозой как транспортной формы сахаров заключается, вероятно, в том, что ее аномерные атомы углерода связаны друг с другом: это предохраняет сахарозу от атаки окислительных или гидролитических ферментов в процессе ее переноса из одной части растений в другую. Животные не могут усваивать сахарозу как таковую, однако она становится доступной для усвоения после воздействия фермента сахаразы (другое его название – инвертаза), локализованного в клетках, выстилающих тонкий кишечник. Этот фермент катализирует расщепление сахарозы на D-глюкозу и D-фруктозу, которые легко проникают в кровоток.
Полисахариды
В природе большинство углеводов представлено в виде полисахаридов с высокой молекулярной массой. Биологическое значение ряда полисахаридов состоит в том, что одни обеспечивают накопление моносахаридов для энергетического обмена в нерастворимой, а значит осмотически неактивной форме, другие же служат структурными элементами клеточных стенок и соединительной ткани. При полном гидролизе под действием кислоты или специфических ферментов полисахариды расщепляются с образованием моносахаридов или их производных.
Полисахариды, называемые также гликанами, отличаются друг от друга как природой составляющих их моносахаридных остатков, так и длиной и степенью разветвленности цепей. Их можно разделить на два типа: гомополисахариды, состоящие из остатков одного и того же моносахарида, и гетерополисахариды, содержащие остатки двух или большего числа моносахаридов. Пример гомополисахарида резервный углевод крахмал, состоящий из остатков только D-глюкозы. Примером гетерополисахарида может служить содержащаяся в соединительной ткани гиалуроновая кислота, которая состоит из чередующихся остатков двух разных моносахаридов.
В отличие от белков полисахариды нельзя характеризовать строго определенной молекулярной массой: как правило, они представлены смесями высокомолекулярных соединений; в зависимости от метаболических потребностей клеток моносахаридные остатки могут ферментативно присоединяться к полисахаридам или же отщепляться от них. Также, как и дисахариды, полисахариды делятся на редуцирующие и нередуцирующие. По наличию свободной альдегидной группы, которая, окисляясь, восстанавливает ионы некоторых металлов.
По функции полисахариды делят на структурные и запасающие.
Запасающие полисахариды обеспечивают накопление моносахаридов, участвующих в энергетическом обмене в виде компактных нерастворимых структур (включений). Нерастворимость обеспечивает отсутствие влияния на осмотическое давление в клетке.
Структурные полисахариды служат внеклеточными опорными элементами в стенках клеток одноклеточных микроорганизмов, грибов и высших растений, а также входят в состав соединительной ткани позвоночных и экзоскелета членистоногих. Структурные полисахариды защищают клетки, ткани и органы, придают им форму и поддерживают ее. У различных организмов запасающие и структурные полисахариды различаются.
Запасающие полисахариды животных и грибов

Рисунок 21. Структура гликогена
Гликоген – полисахарид, в виде которого углеводы запасаются в организме животного. Его часто называют животным крахмалом. В наибольшем количестве гликоген содержится в печени, где на его долю приходится до 7% общего веса органа; гликоген имеется также в скелетных мышцах. В клетках печени гликоген присутствует в виде крупных гранул, состоящих в свою очередь из меньших гранул; последние образованы единичными сильно разветвленными молекулами гликогена со средней молекулярной массой в несколько миллионов. С этими же гранулами прочно связаны ферменты, ответственные за синтез и распад гликогена. Гликоген откладывается в виде гранул в цитоплазме клетки.
У грибов гликоген запасается в клетках гифов.
Гликоген – редуцирующий гомополисахарид, образованный остатками α-D-глюкопиранозы. Гликоген характеризуется более разветвленной структурой, чем амилопектин, линейные отрезки цепи включают 11—18 остатков α-D-глюкопиранозы [соединенных α (1—4) -гликозидными связями], в точках ветвления остатки соединены α (1—6) -гликозидными связями (Рисунок 21).
Запасающие полисахариды бактерий
Самый распространенный полисахарид бактерий – гликоген, чья структура была рассмотрена в предыдущем разделе. Но также встречаются и другие типы (Рисунок 22).

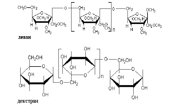
Рисунок 22. Структура запасающих полисахаридов бактерий
Декстран. Это линейный редуцирующий гомополисахарид α D-глюкозы, мономеры соединяются 1—6 О-гликозидной связью. Декстран представляет собой линейную или слаборазветвленную молекулу, молекулярная масса которой составляет примерно 106. Данный полимер очень долго привлекал только ученых, но затем было найдено его практическое применение. Продукты частичного гидролиза этого полисахарида используются как добавка в плазмозаменителях, для создания естественного онкотического давления, что сильно улучает свойства искусственных заменителей плазмы при восполнении кровопотерь.
Леван. Запасающий полисахарид Bacillus subtilis. Линейный нередуцирующий гомополисахарид, образованный остатками метилового эфира β D фруктозы, мономеры соединяются 1—6 гликозидной связью. Полимер отличается небольшой длиной 10—12 мономеров.
Запасающие полисахариды растений
Крахмал. Моносахаридные остатки соединены в крахмале α-гликозидными связями (Рисунок 23). Соединение такой структуры, образованное только остатками глюкозы, является гомополимером, его называют глюкозаном или глюканом. Это наиболее важный вид пищевых углеводов; он содержится в злаках, картофеле, бобовых и в других растениях. Двумя главными компонентами крахмала являются амилоза (15—20%), имеющая неразветвленную спиральную структуру, и амилопектин (80—85%), образованный разветвленными цепями, каждая ветвь состоит из 24—30 остатков глюкозы, соединенных (1—4) – связями [в точках ветвления остатки соединены (1—6) – связями]. Благодаря геометрическим особенностям α (1—4) – связей линейные участки полимерных цепей в молекулах гликогена и крахмала стремятся принять скрученную, спиральную конформацию, что способствует образованию плотных гранул, которые и обнаруживаются в большинстве растительных клеток. α (1—4) -связи гликогена и крахмала легко гидролизуются α-амилазой желудочно-кишечного тракта позвоночных, а образующаяся при этом D-глюкоза попадает в кровь и далее используется в энергетическом обмене. Крахмал как и гликоген является редуцирующим полисахаридом.
Декстринами называют вещества, образующиеся при частичном гидролизе крахмала. Название «остаточные декстрины» получили продукты, образующиеся на определенной стадии гидролиза.
Фруктаны. Это линейные, редуцирующие гомополимеры β фруктозы, соединенной β (2—6) гликозидной связью (Рисунок 23). Фруктаны встречаются у различных видов растений: ирисисин в корневищах ириса, аспарогозин в корнях спаржи, секалин – в ржи. Различия фруктанов, выделенных из различных объектов, связаны с вариабельностью молекулярной массы и количества мономеров, входящих в состав полисахарида.

Рисунок 23. Структурные и запасающие полисахариды растений. А-крахмал; Б-схема организации молекулы крахмала; В-инулин; Г-фруктаны; Д-целлюлоза; Е-ксилоза; Ж– пектины
Инулин – линейный нередуцирующий полисахарид, содержащийся в клубнях и корнях георгинов, артишоков и одуванчиков. При его гидролизе образуется фруктоза, следовательно он представляет собой фруктозан. Гетерополимер одной молекулы глюкозы соединенной с β фруктозой β (1—1) гликозидной связью, остальные мономеры β фруктозы, соединяются β (1—2) гликозидной связью (Рисунок 23). Этот полисахарид в отличие от картофельного крахмала легко растворяется в теплой воде; его используют в физиологических исследованиях для определения скорости клубочковой фильтрации в почках. Также этот полимер, состоящий в основном из фруктозы, привлекает диетологов и врачей как заменитель крахмала для больных сахарным диабетом. У этих больных нарушено поглощение глюкозы клетками, тогда как фруктоза поглощается клетками больных, поэтому может быть использована как замена глюкозе. Эта же причина вызвала большой интерес к растениям запасающим фруктаны. И инулин и другие полимеры фруктозы могут использованы в диете больных сахарным диабетом, как заменители крахмала.
Структурные полисахариды растений
Целлюлоза является линейным, редуцирующим неразветвленным гомополисахаридом, состоящим из 10000 и более остатков D-глюкозы, связанных друг с другом (1—) – гликозидными связями; в этом отношении она сходна с амилозой и линейными участками цепей гликогена. Но между этими полисахаридами существует одно очень важное различие: в целлюлозе (1—4) -связи имеют β-конфигурацию, а в амилозе, амилопектине и гликогене – α-конфигурацию.
Это, казалось бы, незначительное различие в строении целлюлозы и амилозы приводит к весьма существенным различиям в их свойствах. Что касается целлюлозы, то из-за конфигурации связей ее полимерные цепи сильно вытянуты и соединяются друг с другом бок о бок, образуя длинные нерастворимые фибриллы.
Целлюлоза – прочное, волокнистое, водонерастворимое вещество – содержится в стенках клеток растений, главным образом в ветвях, стеблях, а также в стволах и других деревянистых частях растений (Рисунок 23, Д). Древесина состоит в основном из целлюлозы и других полимерных веществ, хлопок – почти целиком из целлюлозы. Если наиболее распространенные внутриклеточные биополимеры – это белки, то целлюлоза, бесспорно, это не только самый распространенный внеклеточный структурный полисахарид в растительном мире, но и вообще самый распространенный в природе биополимер.
Ежегодно огромные количества целлюлозы синтезируются растениями, причем не только растущими в лесах деревьями, но и культурными растениями. Расчеты показывают, что на долю каждого живущего на Земле человека растения ежедневно нарабатывают приблизительно 50 кг целлюлозы. Целлюлоза находит широкое применение в промышленности. Целлюлоза нерастворима в воде, кислотах, и только в концетрированных щелочах при нагревании переходит в полужидкое состояние, что используется при производстве вискозного волокна.
Связи β (1—4) в молекуле целлюлозы не гидролизуются α -амилазами. Поскольку в кишечнике позвоночных нет фермента, способного гидролизовать целлюлозу, она не переваривается, и ее D-глюкозные остатки не могут служить пищей для большинства высших организмов.
Целлюлозу хорошо переваривают термиты, но лишь потому, что в их кишечнике живут паразитические микроорганизмы Trichonympha, секретирующие целлюлазу, гидролизующий целлюлозу фермент, с помощью которого и происходит переваривание древесины у термитов. Целлюлазу синтезируют также некоторые бактерии и грибы, вызывающие гниение древесины.
Среди позвоночных только крупный рогатый скот и другие жвачные (овцы, козы, верблюды, жирафы и т. д.) могут использовать целлюлозу в качестве пищи, однако делают они это весьма необычным способом: большая часть кишечника, составляющая 15% общего веса коровы, приходится на долю четырех последовательно соединенных друг с другом желудков. Первые два из них составляют так называемый рубец. Содержащиеся в нем микроорганизмы секретируют целлюлазу и расщепляют целлюлозу до D-глюкозы, которую далее сбраживают до короткоцепочечных жирных кислот, двуокиси углерода и газообразного метана (СН4). Образовавшиеся жирные кислоты всасываются в кровоток коровы, проникают в ткани и используются как топливо. Метан и СО2, которые вырабатываются со скоростью 2 л/мин, постоянно выводятся посредством непроизвольного процесса, напоминающего едва уловимую на слух отрыжку. В остальных двух желудках жвачных микроорганизмы, сделавшие свое дело, перевариваются ферментами, секретируемыми слизистой желудка; при этом образуются аминокислоты, сахара и другие продукты, которые всасываются и используются в организме коровы в качестве питательных веществ.
Таким образом, между коровой и населяющими ее рубец микроорганизмами устанавливаются отношения симбиоза, при котором микроорганизмы получают возможность насладиться короткой, но счастливой жизнью в удобной и теплой среде; при этом целлюлоза из клевера и другой травы служит основным источником топлива и для «жильцов», и для организма-хозяина.
Гемицеллюлозы
Это многообразные полисахариды растений входящих в клеточную стенку, примерами являются ксилоза и пектины.
Ксилоза. Линейный редуцирующий гомополимер ксилозы, в β-пиранозной форме, мономеры соединяются β (1—4) гликозидной связью (Рисунок 23, Е).
Пектины. Эти полимеры встречаются очень часто в клеточных стенках плодов и отвечают за их «желирующие» свойства (чем больше пектинов, тем плотнее джемы и повидло). Это линейный редуцирующий гомополимер, мономером является метиловый эфир галактуроновой кислоты (Рисунок 23, Ж). Мономеры соединяются α (1—4) гликозидной связью. Пектиновыми веществами богаты плоды айвы, некоторых сортов груш и яблок, они обеспечивают процесс «желирования», то есть образования более плотного мармелада. Это свойство до последнего времени привлекало только кондитеров. Но в последнее время этим молекулам уделяется большое внимание, так как было показано, что пектины участвуют в выводе солей тяжелых металлов и радионуклидов. Поэтому пектины и продукты их частичного гидролиза используются как антирадиационные препараты или добавки к ним.
Структура клеточных стенок растений
Клеточная стенка растений формируется при участии плазматической мембраны и является экстраклеточным (внеклеточным) многослойным образованием, защищающим поверхность клетки и служащим, как бы наружным скелетом растительной клетки. Клеточная стенка растений состоит из двух компонентов: аморфного пластичного гелеобразного матрикса (основы) с высоким содержанием воды и опорной фибриллярной системы (Рисунок 24). Эта структура напоминает железобетон. Роль железной арматуры выполняют фибриллы из пучков молекул целлюлозы, образующие трехмерную сеть. Пространство между молекулами «арматуры» заполняют гемицеллюлозы, образующие желеобразный матрикс.
Дополнительные полимерные вещества и соли, часто входящие в состав оболочек, придают им жесткость и делают их несмачиваемыми. В химическом отношении главные компоненты оболочек растений относятся к структурным полисахаридам. В состав матрикса оболочек растений входят гетерогенные группы полисахаридов, растворяющиеся в концентрированных щелочах, гемицеллюлозы и пектиновые вещества. Гемицеллюлозы представляют собой ветвящиеся полимерные цепи, состоящие из различных гексоз (глюкоза, манноза, галактоза и др.), пентоз (ксилоза, арабиноза) и урановых кислот (глюкуроновая и галактуроновая). Эти компоненты гемицеллюлоз сочетаются между собой в разных количественных отношениях и образуют разнообразные комбинации.
Цепи гемицеллюлозных молекул не кристаллизуются и не образуют элементарных фибрилл, они образуют аморфное гелеобразное вещество. Из-за наличия полярных групп урановых кислот они сильно гидратированы. Пектиновые вещества – гетерогенная группа, в которую входят разветвленные, сильно гидратированные полимеры, несущие отрицательные заряды из-за множества остатков галактурононой кислоты. Благодаря свойствам своих компонентов матрикс представляет собой мягкую пластическую массу, укрепленную фибриллами. Волокнистые компоненты клеточных оболочек растений состоят обычно из целлюлозы – линейного, неветвящегося полимера глюкозы. Молекулярная масса целлюлозы варьирует от 5—104 до 5—105, что соответствует 300—3000 остаткам глюкозы. Такие линейные молекулы целлюлозы могут соединяться в пучки или волокна.