

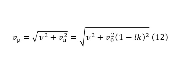
That is, no matter how small the height of the dam and its difference between the outlet of the flow and the water level, the effect, although insignificant, will be provided. It is also interesting here to determine the dependence of the initial velocity itself and the resulting vector (12).

This dependence was deduced because even the initial velocity itself is not quite simple and due to the fact that the lower cavity of the ravine for the "reservoir" should be made in the form of a slope. Along with a decrease in coefficient depending on the length of this path according to (9), the initial velocity will increase, since to the initial velocity before entering the "reservoir", at which the flow had potential energy, the kinetic energy into which this potential is converted, that is, the same principle applies (1-5), but at in this case, the angular coefficient acts.
And if, since again this potential downward vector is also at an angle of 90 degrees to the main initial vector, their summed vector will be determined by (13), creating a dependence for the initial velocity on the initial one in the next location.

From where it is true (14).

And it is important to take into account that (13) together with (14) acts only with a flat slope of the ravine itself, not counting the coefficient of friction, in the case of its calculation, an additional coefficient is included in (14), exactly as in other cases, for implementation, but this coefficient is determined empirically.
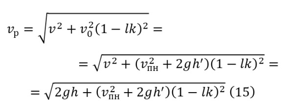
In the case of (13) and (14), the previously described (12) changes as (15).

Thus (15) can be considered a full-fledged formula for the action of a straight slope at the bottom of a ravine. If there are several vectors, it is advisable to use (16), for the simple reason that several vectors will not come from the same direction, because then they can be combined into one. And the vectors may be different due to the presence of additional turns, large irregularities and similar insignificant reasons.

The final touch is only the introduction of the coefficients mentioned earlier, namely, the coefficients of a kind of viscosity (18), depending on the coefficient of resistance of movement in the flow (17).


This type (17) of formula (8) was proved and described by the Italian scientist Evangelista Torricelli in 1643, and later it was shown that this formula, as already mentioned, is a consequence of Bernoulli's law.
In conclusion, it can be noted that the development of hydropower has a very progressive character, which pleases. And this development requires more and more new technologies, among which one of the best may be the technology of using a «small reservoir» or an artificial moat with an inclined bottom to increase the efficiency of the entire hydropower plant.
Used literature
1. Evangelista Torricelli. De motu aquarium // Opera Geometrica. – 1644. C. 191. «Aquas violenter erumpentes in ipso eruptionis puncto eundem impetum habere, quem haberet grave aliquod, sive opsius aquae gutta una, si ex suprema eiusdem aquae superficie usque ad orificium eruptions naturaliter cecidisset».
2. Zinoviev V. A. Brief technical reference. Volume 1. – M., Gosizdat, 1949. – p. 362.
3. Savelyev I. V. Course of general physics. Volume 1. Mechanics, molecular physics. – M., Nauka, 1987. – p. 251.
SAVING ELECTRICITY GENERATION AT HYDROELECTRIC POWER PLANTS
Dodobaev Yusubjon Tadjibayevich
Doctor of Economics, Professor
Yuldashev Muminjon Shakirjonovich
Honorary Professor of Ferghana University, Doctor of Economics
Ferghana Polytechnic Institute, Ferghana, Uzbekistan
Аннотация. Мақолада гидроэлектростанцияларнинг самарадорлигини ортириш бўйича фикрлар юритилинган. Сув ресурсларидан комплекс фойдаланиш хақидаги мулоҳазалар кирилиган бўлиб, шу билан биргаликда гидротармоқларда транспорт муаммосини ҳал қилишга катта ҳисса қўшилинган.
Калит сўзлар: ГЭС, самарадорлик, сув ресурслари, электр энергияси, ирригация, дарё транспорти, рекреация.
Аннотация. В статье рассматривается эффективность гидроэлектростанций. Была введена обратная связь по комплексному использованию водных ресурсов, и в то же время был внесен значительный вклад в решение транспортной проблемы в гидравлических контурах.
Ключевые слова: ГЭС, эффективность, водные ресурсы, электроэнергия, орошение, речной транспорт, рекреация.
Annotation. The article discusses the effectiveness of hydroelectric power plants. Feedback on the integrated use of Water Resources has been entered, and at the same time a significant contribution has been made to the solution of the transport problem in hydraulic circuits.
Keywords: GES, efficiency, water resources, electricity, irrigation, river transport, recreation.
The high efficiency of electricity generation at HPPs is determined by a number of factors, including:
* Permanent restoration of natural resources;
* High labor productivity when using;
* Low cost of electricity produced at the HPP;
* Integrated use of water resources for energy, irrigation, river transport, flood control, water supply, recreation and other purposes;
· The presence of low etiology in relation to complex technological equipment.
It is extremely important that the frequency of industrial damage arising from the use of hydroelectric power plants, including deaths, is significantly less compared to thermal power plants based on the amount of electricity produced in 1 kWh (taking into account fuel extraction and supply enterprises).
The saving of labor resources when using hydroelectric power plants is due to the following, including:
Incredibly high labor productivity compared to TEs;
high level of production automation;
the absence of labor costs for the extraction, supply, processing and disposal of fuel waste and, as a result, the number of working personnel used in the use of hydroelectric power plants will be approximately 12-15 times less than the number of working personnel at alternative facilities. The high economic efficiency of hydropower is due to the lack of a fuel component of electricity, slow wear of fixed assets, relatively low cost of wages, and the perfection of the technological process.
Integrated use of water resources. In the hydropower industry of the Republic of Uzbekistan, the reconstruction of transport routes in river networks, irrigation, industrial and municipal water supply and the development of fisheries are of great importance due to the reduction of the risk of major floods.
Integrated waterworks make a great contribution to solving the transport problem.
Reservoirs that appear during the construction of hydroelectric power plants lead to the fact that large areas of land are covered with water. Hydroelectric power plants account for a total of 1.2 million tons of destructive floods in the republic. close to hectares, with advanced development, multi-million residents help to reliably protect residential areas, as well as solve complex social and environmental problems.
1. Environmental problems
Reducing air pollution, especially carbon oxides, and preventing the "greenhouse effect" on the planet have become one of the problems of universal scale. The Republic of Uzbekistan also contributes to their resolution. One of the ways to reduce emissions in the energy sector is to develop areas without carbon fuels. Hydropower is an absolutely clean direction in this regard. In 2020, the electricity generated by hydroelectric power plants allowed to reduce electricity emissions by a quarter.
The technological process of hydropower production is environmentally hooligan. In the normal condition of the equipment, hydroelectric power plants practically do not emit harmful emissions into the environment. At the same time, the construction of hydropower facilities, in turn, will not show its impact on the environment.
During the construction of hydropower facilities, there is a complex impact on the environment. Reservoirs have the most serious effect – their appearance affects the ecological balance of soils and biocenoses. The effects shown can be both positive and negative.
The impact of reservoirs on the environment depends on their geographical location and categories (mountainous, foothill, plain), geological structure and hydrogeological determination of their banks with a channel, area, shape of appearance, size, depth of water discharge, system of use and other conditions.
As a result of the positive influence of reservoirs as flow coordinators, it becomes important to prevent water shortages for agricultural crops in the summer.
With the activation of natural processes in certain areas of the territories adjacent to them, after the creation of reservoirs, recreational changes occur in the landscapes, recreational zones and ecotourism are formed.
It is possible to list the following other aspects of the impact of reservoirs on the environment.
Floods in the upper part. In flooded areas, there is an increase in the groundwater level, and as a result, the land becomes swampy and unsuitable for agricultural use.
Changes in coastal forms the process of coordinating the flow and the rise and fall of water levels in the reservoir, which occur with this ratio, cause changes in the shape of the bottom with the coastal relief, which, in turn, reduces the size of the reservoir, leading to the accumulation of various rocks in it, the appearance of underwater shoals and the appearance of
Hydrological system. The process of reservoir construction and coordination of the water flow itself in the upper and lower parts of the basins causes changes in the gm hydrological system. Due to the expansion of the window area of the water surface, the volume of water evaporation increases sharply, resulting in the consumption of non-returnable water from the river. The hydrological system of the river is changing.
Climatic conditions. Changes in the flow of water and air, the appearance of waterlogged soils, shallow areas, well warmed by the sun at a depth of 1-1.5 m of reservoirs, create specific climatic conditions.
The influence of reservoirs on fauna (wildlife). All animals in the flood zone migrate to the territory marked by a high level. At the same time, their species composition and number are reduced in accordance with the rule. In some cases, reservoirs are the reason for the enrichment of fauna with new species of birds swimming in the water, fish and flora adapted to wet conditions.
Impact on the fish farm. It should be noted the following, namely:
The construction of a hydroelectric dam prevents the movement of fish to natural mating sites, in some cases fish-breeding devices do not always work satisfactorily;
the requirements that fishing imposes on the watercourse system turn out to be completely opposite to the tasks of coordinating flows, that is, the purpose of creating a reservoir – during the spring flood, shallow areas of the basin are drained at an earlier discharge of water, which negatively affects the mating of fish in the upper part of the reservoir daily
In order to create optimal conditions for fish mating, the transfer of water to the lower part of the pool is carried out subject to strict compliance with the requirements of fishing. In cases where it is possible to prevent damage, it is planned to build compensatory (covering) fish farming facilities (fish hatcheries, spawning farms).
It would be wrong to assume that all the impacts of reservoirs on the environment (in fact, in much greater numbers than those considered in Buer) will only be negative. Usually, each of them will have a set of positive properties, both negative and not so much.
Thus, it is also wrong to think that all forms of reservoir outcrops are inevitable and natural defects of hydraulic engineering. Many of these effects manifest themselves in the practice of creating and using reservoirs and turn out to be the consequences of incorrect design of objects or violation of the rules for the use of gyroscopes in general. For example, the harmful effects of reservoirs on fishing can be eliminated at a significant level by properly designing reservoirs and observing the appropriate level of their use.
Nature protection measures. When designing hydropower facilities, it is necessary to ensure that the damage to nature is at the lowest possible level. In order to control and timely prevent environmental pollution at the HPP, the following observations were established, namely:
· by draining and removing process oils;
· with the quality of the water to be disposed of after use;
· with ledges of elegaz puddles in complex switchgear.
In addition, taking into account the characteristics of large reservoirs with a complex and energy purpose, the following observations are carried out in them:
* Meteorological;
* hydrochemical;
· hydrobiological, including ichthyological observations.
According to the results of observations, the caretakers receive information about the necessary environmental measures.
When creating reservoirs, their water protection zone is assumed, protective forest plantations and reforestation measures are planned on the same territory. Contamination of the water protection zone by water flows into the reservoir prevents the ingress of substances.
Based on specially conducted scientific research, GES projects included the following extensive set of measures to protect flora and fauna, including:
· restoration of forests instead of flooded woodlands, relocation of rare, relict and Red-listed plants from flooded areas;
* cultivation of valuable varieties in crop rotation; introduction of a system of special permits that do not allow the basin to build up its lower part;
* moving to catch valuable animal species from flooded areas;
* creation of livestock farms and livestock farms for breeding animals; Organization of protective and reserve zones; construction of fishing, fish-breeding and compensation facilities.
LITERATURE
1. Orgo V. M. Fundamentals of designing and calculating the strength of hydraulic turbines. L.: Mechanical Engineering, 1978. 224 p.
2. Barlit V. V. Hydraulic turbines. Kiev: Vishcha shkola, 1977. 360 p.
3. Zavyalov Yu. S., Kvasov B. I., Miroshnichenko V. A. Methods of spline functions. M.: Nauka, 1980. 352 p.
4. Zavyalov Yu. S., Leus V. A., Skorospelov V. A. Splines in engineering geometry. Moscow: Mashinostroenie, 1985. 221 p.
5. Zalgaller V. A. Theory of envelopes. M.: Nauka, 1975. 104 p. References.
6. Salomov U., Yusupov S., Odilov O., Moydinov D. Theoretical Substantiation of the Advisability of Using Adhesives When Sealing the Core of Car Radiators and Diagnosing Radiators with a Thermal Load. nternational Journal of Engineering Trends and Technology. Volume 70 Issue 1, 81—92, January, 2022 ISSN: 2231 – 5381 /doi:10.14445/22315381/IJETT-V70I1P210.
7. Abramov A. I., Ivanov-Smolensky A.V. Design of hydrogenerators and synchronous compensators. Moscow: Higher School, 1978.
8. Avakian A. B., Sharapov V. A. Reservoirs of hydroelectric power plants of the Russian Federation. Moscow: Energiya, 1977.
9. Arshenevsky N. N. Reversible hydraulic machines of pumped storage power plants. Moscow: Energiya, 1977.
10. Arshenevsky N. N., Pospelov B. B. Transients of large pumping stations. Moscow: Energiya, 1980.
11. Asarin A. E., Bestuzheva K. N. Water-energy calculations. Moscow: Energoatomizdat, 1986.
12. Baburin B. L., Fine I. I. Economic justification of hydropower engineering.. M.: Energy, 1975.
SPATIALLY OSCILLATING PHOTOVOLTAIC CURRENT IN AN OPTICALLY ACTIVE FERROELECTRIC SbSI
Karimov Sherzod Bahodirovich
Candidate of the Faculty of Physics and Technology of Fergana State University
Aliev Ibratjon Khatamovich
2nd year student of the Faculty of Mathematics and Computer Science of Fergana State University
Karimov Bahodir Khoshimov
Candidate of Physical and Mathematical Sciences, Faculty of Physics and Technology, Fergana State University
Ferghana State University, Ferghana, Uzbekistan
Аннотация. В настоящей работе обнаружен и исследованы пространственно-осциллирующей фотовольтаический ток (ПОФТ) в направлении [100] в сегнетоэлектрике SbSJ при освещении поляризованным светом в направлении [010] и образованию от оптической зависимости в [001] направлении структуры пространственного осциллирующего фотовольтаического тока Jx. Обсуждены некоторые экспериментальные и физические основы пространственно осциллирующего фотовольтаического тока.
Ключевые слова: сегнетоэлектрик, поляризация, оптически-активный кристалл, пространственно-осциллирующий фотовольтаический ток, тензор 3-ранга.
Annotation. In this paper, the spatially oscillating photovoltaic current (POFT) in the direction [100] in the SbSJ ferroelectric is detected and investigated when illuminated with polarized light in the direction [010] and the formation of the structure of the spatial oscillating photovoltaic current Jx from the optical dependence in the direction [001]. Some experimental and physical bases of spatially oscillating photovoltaic current are discussed.
Keywords: ferroelectric, polarization, optically active crystal, spatially oscillating photovoltaic current, rank 3 tensor.
In recent years, it has become clear that in thermodynamic nonequilibrium conditions, currents of a different nature are possible due to the absence of a center of symmetry medium. The most important of this class of effect is the anomalous photovoltaic effect (AF effect).
The AF effect is that with uniform illumination of a short-circuited ferroelectric, a stationary current flows through it, which in [1,2] was called photovoltaic. It has been shown that it is the photovoltaic current that leads to the anomalous photovoltaic effect (AF effect) in ferroelectrics.
The anomalous photovoltaic effect discovered for ferroelectrics for the first time in [1,2] is a special case of a more general AF effect described for crystals without a center of symmetry by the third rank aijk tensor [3].

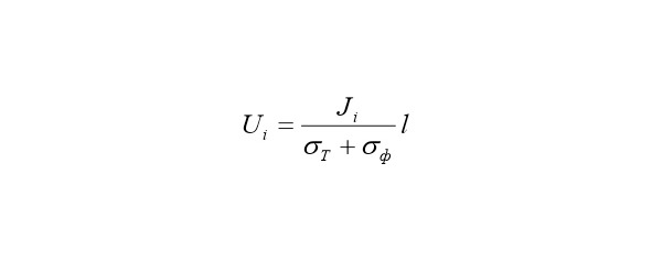
According to (1), with uniform illumination by linearly polarized light of homogeneous crystals without a center of symmetry (ferroelectric or piezoelectric crystal), a photovoltaic current Ji arises in it, the sign and magnitude of which depend on the orientation of the polarization vector of light with projections Ej, Ek*.
The components of the aijk tensor are nonzero for 20 acentric symmetry groups. If the electrodes of the crystal are opened, the photovoltaic current Ji generates photovoltaic voltages

where σt and σf, respectively, are the dark and photoconductivity, l is the distance between the electrodes. The generated photovoltage is of the order of 103—105 V, thus exceeding the value of the band gap Eg by two to four orders of magnitude.
In accordance with (1) and the symmetry of the point group of the crystal, expressions can be written for the photovoltaic current Ji. Comparison of the experimental angular dependence of Ji (β) with (1) makes it possible to determine the photovoltaic tensor aijk or photovoltaic coefficient

a* is the light absorption coefficient.
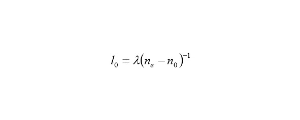
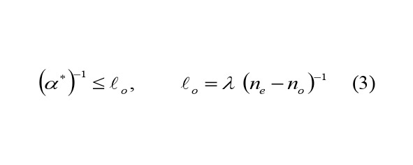
As shown by Belinicher [4], depending on the shape of the optical indicatrix and the direction of propagation of plane polarized light in the crystal, there may be directions for which the photovoltaic current (1) is spatially oscillating. In this case:

where ne, n0 are the refractive indices of ordinary and extraordinary rays, Ee and E0* are the projections of the polarization vector of light on the optical axes of the crystal,

In this case, the photovoltaic current (2) oscillates in the crystal with a period of

As indicated in [4] and as can be seen from (2), a spatially oscillating photovoltaic current (SWEAT) can be experimentally observed under conditions of strong light absorption.

where α* is the absorption coefficient.
1. SPATIALLY OSCILLATING PHOTOVOLTAIC CURRENT IN SbSi FERROELECTRIC
In this paper, a spatially oscillating photovoltaic current (POFT) in the direction [100] in the SbSI ferroelectric is detected and investigated when illuminated with polarized light in the direction [010].
Antimony sulfoiodide (SbSI) belongs to the class of chalcogenides of metals of the fifth group AVBVICII, where A-Sb; Bi; B-S, Se, Te; C-CL, Br, I. SbSI and SbSIxBr1-x crystals are biaxial, have a large double refraction, below temperature. Curie Tc=220C SbSI crystals belong to the mm2 class and have rhombic symmetry. During the phase transformation, the center of symmetry disappears, therefore, SbSI crystals become ferroelectrics below the transition point.
The phase transition at 220C was registered for the first time by Fatuzzo [5] with a change in the temperature dependence of the dielectric constant. Crystals have pronounced semiconductor properties, their photovoltaic properties are well studied [1].
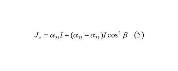
Measurements were carried out for SbSI single crystals in the ferroelectric phase at a temperature of T = 133 K. The crystal was illuminated by plane polarized light using a xenon lamp and a ZMR monochromator. The stationary photovoltaic current J was measured by the method previously described [1]. In accordance with the SbSI symmetry (point group mm2), when measuring Jz (z is the direction of spontaneous polarization) and illuminating the crystal in the x and y directions, POFT does not occur. The expression for the photovoltaic current Jz when illuminated in the x and y directions, respectively, has the form:


where I is the light intensity, β is the angle between the plane of polarization of light and the z axis. In Fig.1, curve 1 represents the experimental angular dependence of Jz (β) for λ=600 nm when illuminated along [100]. From the comparison of the experimental angular dependences of Jz (β) with (4) and (5), the numerical values of αιjκ or photovoltaic coefficients were estimated