

Taking into account pleochroism and anisotropy of light reflection in SbSI [6], the following values were obtained:
K314*10—8; K323*10—8; K33 (2—3) *10—8A*cm* (W) -1. Thus, in SbSI, the photovoltaic coefficients K31, K32, K33 are more than an order of magnitude higher than the corresponding coefficients in LiNbO3: Fe.

Fig.1. Dependence of the photovoltaic current Jz (1) at l = 600 nm and Jx (2) at l = 460 on the orientation of the plane of polarization of light in SbSI.
According to (2), for SbSI, the photovoltaic current components are spatially oscillating. However, when the crystal is illuminated in the region of strong absorption in the direction of the x or y axes and when condition (3) is met, currents flow along the surfaces (100) and (010), respectively.


where β is the angle between the plane of polarization of light and the z axis. According to [1,7] for SbSI, the strong absorption condition (3) should be fulfilled already at λ470 nm. To observe the POFT under conditions of strong absorption, silver electrodes in the form of bands parallel to the axis of spontaneous polarization z were sprayed onto the face of the cinacoid (010). Using these electrodes, when the crystal was illuminated in the direction [010] by polarized light with λ=460 nm, the current Jx curve 2 was measured and the current Jz was measured in the long-wavelength region (λ=600nm, curve 1).The angular dependence of the measured current satisfies (5), while the Oh current in this region cannot be observed at all due to violation of condition (3) and spatial oscillation. Figure 2 shows the spectral Jz (curve 1), Jx (curve 2), attributed to the unit of incident energy, as well as the spectral dependence

constructed taking into account the dispersion of n0, pe and the absorption coefficient α* in the [010] direction.
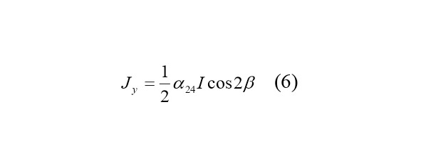
Angular dependence Jx (β) in the form of curve 2, which agrees well with (7) at K15= (2—4) ·10—9A·cm· (W) -1 (λ=460nm).

Fig. 2. Spectral dependence of Jz (1), Jx (2) and L=l0a* (3).
While the spectral dependence measured earlier in is monotonic, the spectral dependence of Jx detects a sharp maximum near L1. Thus, the decline of Jx in the long-wave region, where L <<1, is due to POFT. The decline of Jx in the short wave region, where L> 1, is interesting.Since the AF effect is not related to the lifetime of nonequilibrium carriers, it is possible that this short-wave decline of Jx is due to a decrease in K15 and, consequently, mobility in the direction [100].
2. SPATIALLY OSCILLATING PHOTOVOLTAIC CURRENT IN A FERROELECTRIC α-HgS
The paper considers photovoltaic effects in optically active α-HgS crystals. Some experimental and physical bases of the photovoltaic effect in active crystals are discussed.
Mercury sulphide HgS exists in two modifications: the black modification – metacinnabarite (β-HgS) – crystallizes in a cubic system (point group 3m), the red modification—cinnabarite or cinnabar (α-HQs) – crystallizes in a trigonal system (point group 32).
Red cinnabar crystals with a particularly large specific rotation along the optical axis for the red rays transmitted by them r= 2350/mm were studied in this work. Α – HgS crystals grown by the hydrothermal method in the Laboratory of Hydrothermal Synthesis at the Institute of Crystallography of the Russian Academy of Sciences were studied. The starting materials for the manufacture of cinnabarite were pure mercury in sulfur. Electrical, electro-optical properties of α-HgS crystals and photoelectric properties of crystals were studied in [5,6].
It is shown that the optical activity of the α-HgS crystal has a stronger effect on the angular distribution of the photovoltaic current measured in linearly polarized light.
Fig. 3. shows the orientation dependence of the photovoltaic current Jx (β) in α-HgS. In accordance with (1) and the symmetry of the point group 32, the expression for Jx (β) when illuminated in the direction of the y axis has the form

where is the angle between the plane of polarization of light and the x—axis.
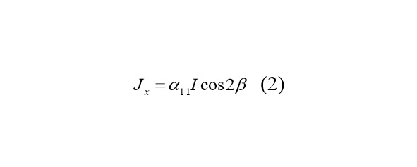
Comparison of the experimental angular dependence of Jx (β) with (2) gives
K11= (1—2) *10—9A* cm * (W) -1 (T=133 Κ, λ=500nm). The coincidence of the experimental angular dependence of Jx (β) with (2) shows that in the region of strong absorption (λ=500nm, α*>> 100cm-1), the effect of optical activity in the direction of the y axis on the angular distribution of Jx (β) is insignificant.The effect of optical activity in the z-direction was found when studying the angular dependence of Jx (β) in various spectral regions (Fig.1).The effect of optical activity in the z-direction was found when studying the angular dependence of Jx (β) in various spectral regions (Fig.1).The effect of optical activity in z- The angular dependence of Jx (β) in various spectral regions was discovered during the study of the angular dependence of Jx (β) in various spectral regions (Fig. 1).
In accordance with (1), the angular dependence of Jx (β) illumination in the z – direction (the z axis coincides with the axis of symmetry of the third order) has the form.

where β is the angle between the plane of light polarization and the y axis.
Figure 2 indicates a good correspondence between the experimental dependence of Jx (β) and (3) in the region of strong light absorption (λ= 400nm).The transition from the short-wave to the long-wave region, corresponding to a decrease in α*, changes the nature of the angular dependence of Jx (β) and its amplitude.The transition from the short-wave to the long-wave region, corresponding to a decrease in α*, changes the nature of the angular dependence of Jx (β) and its amplitude.

Fig.3. Orientation dependence of the photovoltaic current Jx (β) in a-HgS (T=1330K).
Figure 4 shows the spectral-angular diagram of the photovoltaic current Jx. Obviously, its shape is determined by its optical activity in the z-direction, its spectral dispersion, as well as the spectral distribution of the photovoltaic effect in α-HgS.
The optical dependence in the z – direction thus leads to the formation of the structure of the spatial oscillating photovoltaic current Jx. The photovoltaic current oscillates in the z-direction with a period of

Where χ is the optical activity coefficient.
The angular dependence of Jx (β) coincides with (3) only under the condition of strong light absorption

where α* is the light absorption coefficient.

Fig. 4. Spectral – angular diagram of photovoltaic current in a-HgS (T=1330K). The direction of light propagation is indicated in the upper part of the figure.
Note: The Board of Authors thanks V. A. Kuznetsov for providing the crystals and V. M. Fridkin for the discussion.
Literature
1. Glass A.M.Van der Liebe D. Herren T.J. High- voltage Bulk Photovoltaic effect and the Photorefractive process in Limbo. //J. Appl. Phys. Lett. 1974. N4 (25) p.233-236.
2.Fridkin V.M., Photosegnetoelectrics. M., Nauka, 1979, pp.186-216.
3.Belinicher V. I. Studies of photovoltaic effects in crystals. Diss. for the job application. Doctor of Physical and Mathematical Sciences. Novosibirsk. 1982. 350 P.
4. Sturman B. I., Fridkin V. M. Photovoltaic effects in media without an inversion center. -M., Nauka.1992. -p-208.
5. Efremova E. P., Kuznetsov V. A., Kotelnikov A. R. Crystallization of cinnabar in hydrosulfide solutions. // J. Crystallography. 1976. vol.21. v.3. pp.583—586.
6. Donetskikh V. I., Sobolev V. V. Reflection spectra of trigonal HgS. // J. Optics and spectroscopy. 1977. vol.42. v.2. pp.401—403.
7.Fridkin V. M. Volumetric photovoltaic effect in crystals without a center of symmetry. // Crystallography. 2001. Vol. 46, N 4. pp. 722—726.
РОЛЬ РЕЗОНАНСНЫХ ЯДЕРНЫХ РЕАКЦИЙ В СОВРЕМЕННОЙ ЭНЕРГЕТИКЕ. THE ROLE OF RESONANT NUCLEAR REACTIONS IN MODERN ENERGY
Жалолов Ботирали Рустамович
Генеральный директор «Clipper Energy» LLC и «Clipper Associates» Corp
«Clipper Energy» LLC, «Clipper Associates» Corp., Malaysia
Каримов Боходир Хошимович
Кандидат физико-математических наук, доцент физико-технического факультета Ферганского государственного университета
Алиев Ибратжон Хатамович
Студент 2-курса факультета математики-информатики Ферганского государственного университета
Ферганский государственный университет, Фергана, Республика Узбекистан
Zhalolov Botirali Rustamovich
General Director of «Clipper Energy» LLC and «Clipper Associates» Corp
«Clipper Energy» LLC, «Clipper Associates» Corp., Malaysia
Karimov Bahodir Khoshimov
Candidate of Physical and Mathematical Sciences, Associate Professor of the Faculty of Physics and Technology of Fergana State University
Aliev Ibratjon Khatamovich
2nd year student of the Faculty of Mathematics and Computer Science of Fergana State University
Ferghana State University, Ferghana, Republic of Uzbekistan
Аннотация. Современную энергетику просто невозможно представить без составляющей в лице атомных электростанций, в основе которых лежат явления распада урана-238 и урана-235, в том числе с использованием саморазмножающихся методов деления. Но как известно источники не вечны, по этой причине важно нахождение нового способа по выделению максимально большого количества электрической энергии и, если верить результатам современных исследований, явным кандидатом на подобный титул могут стать резонансные ядерные реакции, которые изучаются на основе совершенно новой науки – физики резонансных ядерных реакций (ФРЯР).
Ключевые слова: физика резонансных ядерных реакций, энергетическая составляющая, кулоновский барьер, ядерные реакций, физика атомного ядра и элементарных частиц, ядерное эффективное сечение, длина волны.
Annotation. It is simply impossible to imagine modern energy without a component in the face of nuclear power plants, which are based on the decay phenomena of uranium-238 and uranium-235, including using self-multiplying fission methods. But as you know, the sources are not eternal, for this reason it is important to find a new way to release as much electrical energy as possible and, if you believe the results of modern research, resonant nuclear reactions, which are studied on the basis of a completely new science – physics of resonant nuclear reactions (PRNR), can become a clear candidate for such a title.
Keywords: physics of resonant nuclear reactions, energy component, Coulomb barrier, nuclear reactions, physics of atomic nucleus and elementary particles, nuclear effective cross section, wavelength.
А. Русская версия
1. Общие понятия ядерных реакций
Сама по себе ядерная реакция, это процесс взаимодействия атомного ядра с другим ядром или элементарной частицей, которая может сопровождаться изменением структуры, строения, состава ядра, образованием новых ядер или элементарных частиц и введением дальнейших изменений. Также последствием ядерной реакции может стать его деление, спускание как элементарных частиц, так и безмассовых протонов. Вместе с этим, из-за действия несколько иных законов, при которых масса активно может превращаться в энергию и обратно, кинетическая энергия результирующих частиц вполне, может быть, не равна сумме изначальных.
Подобные ядерные реакции являются экзо-энергетическими или выделяющими энергию. Первая ядерная реакция была проведена Эрнестом Резерфордом в 1917 году, при бомбардировке альфа-частицами ядра атомов азота. Она была полностью зафиксирована благодаря появлению вторичных ионизирующих частиц, пробег коих в газе был больший чем пробег альфа-частиц, после чего и были идентифицированы как протоны. Процесс же позже был сфотографирован.
К слову, об этом, важно сказать, что для фотографирования ядерных реакций используется камера Вильсона. Говоря же о механизмах взаимодействия, то можно выделить два вида такого взаимодействия, а именно:
1. Реакция с образованием составного ядра, этот процесс состоит из двух стадий, при этом налетающая частица соединяется с самим бомбардируемым ядром, составляя общее ядро, которое позже распадается. Такая ядерная реакция протекает на небольших энергиях, до 10 МэВ;
2. Прямые ядерные реакции, проходящие уже сразу, за ядерное время, которое составляет мельчайшие доли секунды и рассчитываются исходя из иных факторов, одним из которых является время пересечения ядра частицей. Главным образом такой вид реакции выражается лишь на очень больших энергиях бомбардирующих частиц.
В случае сохранения первоначальных ядер после самой ядерной реакции, также не рождаются новые частицы, то реакция считается упругим рассеянием в поле ядерных сил, без какого-либо внутреннего взаимодействия. Такая реакция сопровождается лишь передачей кинетической энергии и импульса одной налетающей частицы ядру-мишени, называясь потенциальным рассеянием и полноценно подчиняясь законам сохранения импульса в этом случае.
Ранее были упомянуты механизмы реакции, но стоит несколько подробнее на них остановиться. Первая реакция, а именно механизм составного ядра был впервые разработан и предложен Нильсом Бором в 1936 году совместно с знаменитой теорией капельной модели. Данная теория даже сегодня лежит в основе больших представлений о всех ядерных реакциях.
Если следовать данной теории, то как и было описано, ядерная реакция следует в два этапа, при этом весь процесс от столкновения, образования составного ядра и его распада занимает в рамках 10-23-10-21 с. И важно отметить, что какое бы не было составное ядро, оно всегда является возбуждённым из-за избыточной энергии, которая вносится частицей в лице энергии связи нуклонов в составном ядре и части кинетической энергии составного ядра, которая равна сумме кинетической энергии ядра-мишени с определённым большим массовым числом и налетающей частицы в системе так называемого центра инерции.
Здесь важно определить такое понятие как энергия возбуждения составного ядра, которое образовалось при поглощении свободного нуклона. Она составляет сумме энергии связи нуклонов ядра-мишени и части его кинетической энергии (1).

Часть кинетической энергии из-за большой разницы в массах ядра и нуклона в таких случаях становится равной кинетической энергии бомбардирующего нуклона. В среднем же энергия связи равна 8 МэВ и может изменяться только при отличительных особенностях образуемого в этом процессе составного ядра, но для точно указанного ядра-мишени и нуклона, это значение – константа. Кинетическая же энергия частицы может быть какой угодно, к примеру, в ядерных реакциях, где налетает нейтрон, за счёт того, что отсутствует отталкивающая сила ядра – кулоновский барьер, их энергия может быть крайне близка к нулю.
Таким образом, кинетическая энергия является минимальной энергией возбуждения составного ядра.
И именно из утверждения наличия составного ядра и существованию каналов распада ядер, можно сделать вывод о существовании каналов реакций. Сами по себе каналы реакции – это способы перехода из возбуждённого в невозбуждённое состояние. Типа и квантовое состояние налетающих частиц и ядер до начала реакции определяют входной канал ядерной реакции, после завершения же реакции совокупность образовавшихся частиц, то есть продуктов реакции и их квантовое состояние определяется результирующий выходной канал реакции. Полная характеристика ядерной реакции осуществляется входными и выходными каналами.
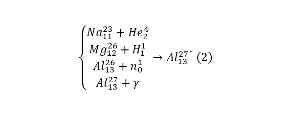
Составное ядро само по себе живёт довольно долгое время, благодаря чему сам выбор канала реакции вовсе не зависит от способа образования составного ядра, благодаря чему оно «забывает», как было образовано. Это становится причиной для утверждения независимости процессов организации составного ядра и его распада. Ярким примером может быть ситуация образования возбуждённого ядра алюминия-27 следующими способами (2).

Но распадается это яро одинаково во всех случаях, при условии одинаковой энергии возбуждения. Но при этом имеется и возможно распада обратным любой из этих реакций, с определённой вероятностью, не зависящей от истории возникновения самого возбуждённого ядра. Если же говорить о вероятности таких событий, то зависимость становится между сортом ядра-мишени и энергий.
Как и было ранее указано, ядерные реакции могут также протекать и по прямому каналу взаимодействия при больших энергиях, поскольку нуклоны ядра можно рассматривать как свободные. Отличие от предыдущей модели составного ядра от модели прямых реакции состоит изначально в распределении векторов импульсов частиц-продуктов ядерной реакции, относительно импульса бомбардирующих частиц. Если же в составной модели действует сферическая симметрия, то в данном случае геометрия более проста и преимущество в выборе направлений результирующими частицами состоит в направлении входящих частиц.
Ранее упоминалось понятие вероятности ядерной реакции, которая представляется величиной, которая называется эффективным сечением ядерной реакции. В лабораторной системе отчёта принимается ситуация покоя ядра-мишени, вероятность взаимодействия определяется произведением сечения на поток падающих частиц, при этом сечение выражается в единицах площади, а поток в количестве частиц, пересекающих единицу площади в единицу времени. Само сечение ядерной реакции исчисляется в крайне малых единицах площади – барнах, равных 10—24 см2.
Отношение случаев реакции, отнесённое к числу бомбардировавших мишень частиц, называется выходом ядерной реакции. Эта величина определяется экспериментально при количественных измерений, что связано с сечением реакций, а измерение этого выхода в самой сути – измерения сечения реакции.
Законы физики, в том числе и законы сохранения конечно же действуют и в ядерных реакциях. Эти законы накладывают определённых ограничения на возможность самого осуществления ядерной реакции. Также существуют и некоторые более специфичные законы сохранения, свойственные для микромира, примером таких могут стать закон сохранения барионного или лептонного числа. Они выполняются на всех известных реакциях, но некоторые другие законы сохранения чётности, изоспина, странности, лишь действуют в фундаментальных взаимодействиях. Следствие из них – это правила отбора, определяющие настоящие и невозможные ядерные реакции, которые можно осуществить.
Закон сохранения энергии в ядерных реакциях действуют предсказуемо, но очень специфически для представителей макромира. При этом выполняется равенство сумм полных энергий (3).

Если же расписать (3), то можно получить (4), из которого следует энергия реакции (5), которая удовлетворяет (6).



Таким образом (5), можно переписать и как (7).

Если же выход реакции больше нуля, то это реакция экзо-энергетическая и сопровождается выделением энергии в кинетическую энергию продуктов реакции, в обратном случае – поглощением и называется эндо-энергетической. Регулировка подобного процесс становится понятным и по разности масс до и после реакции и при положительной разности можно сказать, что она превращается в кинетическую энергию и реакция генерирует энергию, в обратном случае, то есть при отрицательной разности, процесс её поглощает.
Также действует и закон сохранения импульса, что очень хорошо заметно при прямых реакциях (8).

Вместе с этим существует и закон сохранения момента импульса и целых ряд иных законов, но самыми основными действующими в реакции, являются эти два закона сохранения.
Но теперь важно остановиться на видах ядерных реакций, а существует их несколько: ядерная реакция деления, синтеза, термоядерная реакция и фотоядерная реакция. Первый вид – ядерная реакция деления, это процесс расщепления атомного ядра на два, а реже на три ядра с близкими ядерными массами, которые называются осколками деления. Также могут возникать и иные продукты реакций, в том числе лёгкие ядра – альфа-частицы, дейтроны, а также нейтроны и гамма-кванты. Деление само по себе спонтанно и самопроизвольно, либо же вынужденное, из-за взаимодействия с другими частицами, к примеру нейтронами. Деление тяжёлых ядер – это в большинстве случаев экзо-энергетический процесс, что позволяет из этого процесса получать энергию из излучения и кинетической энергии продуктов.
Ядерная реакция синтеза – второй ядерный процесс, которые состоит в слиянии двух ядер с образованием нового, более тяжёлого ядра. Такой процесс часто сопутствуется излучением гамма-квантов или других элементарных частиц. Слияние ядер чаще всего эндо-энергетический процесс, из-за чего чаще всего требуется введение энергии через кинетические энергии частиц, чтобы преодолеть кулоновский барьер – электростатическое отталкивание ядер. Слияние двух ядер и придание им энергии может осуществиться, как не сложно догадаться в ускорителях заряженных частиц, либо же эти частицы изначально обладали этой энергией, к примеру частицы космического излучения, но есть ещё один способ – это нагрев вещества до крайне высоких температур в специальном термоядерном реакторе, где кинетическая энергия частиц и температуры крайне огромны.
Таким образом можно подойти и к термоядерным реакциям. В таких реакциях, слияние лёгких ядер приводит к превращению излишней массы первоначальных ядер в энергию, поскольку суммарная масса слившихся ядер больше массы результирующего ядра-продукта реакции.
Из этого можно сделать вывод, что ядерной реакции синтеза исходные ядра должны обладать относительно большой кинетической энергией, ибо они испытывают довольно мощное электростатическое отталкивание при прохождении с их стороны кулоновского барьера. Их кинетическую энергию, по молекулярно-кинетической теории можно представлять в виде температуры всего вещества, следовательно нагрев приведёт к увеличению кинетической энергии составных частиц и их слиянию. Именно так и развивается нуклонный синтез в недрах звёзд с образованием новых ядер под огромной температурой.
В частности, в большом количестве происходит реакция слияния протонов, ядер гелия, а также как побочный результат, образуются и иные изотопы веществ, в том числе дейтерий и тритий, как изотопы водорода. И наконец, последний вид ядерной реакции – фотоядерная реакция, в этом случае происходит поглощение гамма-кванта с достаточной энергией, чтобы возбудить нуклонный состав, то есть ядро, благодаря чему оно становится составным, то есть его можно считать таковым, а также высвобождает из себя иную структуру, либо распадается.