
Наиболее популярной величиной является дисконтный спред – именно его достоинства и недостатки мы собираемся обсудить. Данная величина – средний спред относительно референсной ставки, который инвестор может рассчитывать получить в течение жизни ценной бумаги. Дисконтный спред вычисляется следующим образом:
Этап 1. Определяется размер денежных потоков в случае, если референсные ставки останутся постоянными на все время жизни ценной бумаги.
Этап 2. Выбирается спред.
Этап 3. Денежные потоки, размер которых определен на этапе 1, дисконтируются на величину, равную сумме текущего значения референсной ставки и выбранного на этапе 2 спреда.
Этап 4. Приведенная стоимость денежных потоков, полученная на этапе 3, сравнивается с ценой. Если приведенная стоимость равна цене, то дисконтный спред равен спреду, найденному на этапе 2. Если приведенная стоимость отличается от цены, следует вернуться на этап 2 и выбрать другое значение спреда.
Для ценной бумаги, торгующейся по номиналу, дисконтный спред определяется просто – это используемый при пересчете купона котируемый спред.
В качестве примера рассмотрим шестилетнюю ценную бумагу с плавающей купонной ставкой, торгующуюся по 99,3098; купон расчитывается исходя из значения референсной ставки плюс 80 базисных пунктов. Пересчет купона совершается каждые полгода. Предположим, что текущее значение референсной ставки – 10 %. В табл. 3.1 приведены данные, позволяющие вычислить для этой ценной бумаги дисконтный спред. В первой колонке мы видим текущее значение референсной ставки. Вторая колонка представляет денежные потоки, получаемые от ценной бумаги. Денежный поток в первые 11 периодов равен умноженной на 100 сумме половины текущего значения референсной ставки (5 %) и полугодового спреда в 40 базисных пунктов. В двенадцатый полугодовой период денежный поток составляет 5,4 плюс номинальная стоимость 100. Верхний ряд последней (пятой) колонки демонстрирует выбранное значение спреда. В строках под выбранным спредом приводятся значения приведенных стоимостей для каждого денежного потока. Последний ряд – это суммарная приведенная стоимость денежных потоков.
Таблица 3.1. Вычисление дисконтного спреда ценной бумаги с плавающей ставкой
Ценная бумага с плавающей ставкой:
длительность – шесть лет;
купон = референсная ставка + 80 базисных пунктов;
перерасчет каждые полгода.

Анализируя все пять выбранных спредов доходностей, обнаруживаем, что приведенная стоимость равна цене облигации с плавающей ставкой (99,3098) при спреде в 96 базисных пунктов. Таким образом, дисконтный спред для полугодового периода составляет 48 базисных пунктов, для года – 96 базисных пунктов. (Заметим, что в случае, когда облигация торгуется по номиналу, дисконтный спред равен котируемому спреду – 80 базисным пунктам.)
Недостаток дисконтного спреда как меры потенциальной прибыли от инвестиций в ценную бумагу с плавающей ставкой связан с лежащим в основе вычислений предположением о том, что референсная ставка не изменится за время жизни ценной бумаги. Кроме того – и это второй существенный недостаток описываемой величины, – не принимается в расчет существование верхних или нижних границ величины купона, характерных для ряда облигаций с плавающим купоном.
ПОТЕНЦИАЛЬНЫЕ ИСТОЧНИКИ ПРИБЫЛИ ОТ ОБЛИГАЦИИ
Инвестор, приобретающий облигацию, может рассчитывать получить прибыль из одного или нескольких перечисленных ниже источников:
1. Периодические купонные выплаты, осуществляемые эмитентом.
2. Прирост капитала (или убыток – отрицательная прибыль) в момент, когда облигация погашается, выкупается эмитентом или продается.
3. Процентный доход, получаемый от реинвестиций периодически поступающих денежных потоков.
Последний компонент потенциальной прибыли носит название дохода от реинвестиций. Для стандартной облигации, по которой во время, предшествующее дате погашения, осуществляются только купонные выплаты и не предполагается выплат номинала, промежуточные денежные потоки состоят исключительно из купонных выплат. Для таких облигаций доход от реинвестиций – это процент, получаемый от реинвестирования процентных выплат. Описывая третий источник денежной прибыли от этих облигаций, принято говорить о «проценте на процент» (сложные проценты). Для амортизируемых ценных бумаг доход от реинвестиций – это процентная прибыль от реинвестирования как купонных выплат, так и производимых до даты погашения выплат части номинала. В дальнейшем обзоре мы обратимся к описанию источников прибыли для неамортизируемых ценных бумаг (т. е. облигаций, по которым до даты погашения не предусмотрены периодические выплаты частей номинала).
Очевидно, что мера потенциальной доходности облигации должна принимать в расчет все три источника возможной прибыли. Напомним, однако, что текущая доходность учитывает только периодические выплаты купона, при этом не учитывается ни прирост капитала (или убыток), ни процент на процент. Доходность к погашению подсчитывается исходя из размера купонных выплат, а также возможного прироста (потерь) капитала. В расчет принимается также процент на процент. Между тем, как мы покажем в дальнейшем, в основе вычислений доходности к погашению лежит предположение о том, что купонные выплаты могут быть реинвестированы под ту же самую доходность. Доходность к погашению является, таким образом, обещанной доходностью: она станет реальностью, только если: 1) инвестор додержит облигацию до погашения и 2) купонные выплаты будут реинвестированы под данную доходность к погашению. Если либо первое, либо второе условие не соблюдается, доходность облигации в действительности оказывается больше или меньше доходности к погашению.
Доходность к колл-опциону также учитывает все три возможных источника прибыли от облигации со встроенным колл-опционом. В этом случае предполагается, что купонные выплаты могут быть реинвестированы под доходность к колл-опциону. Таким образом, доходность к колл-опциону – мера, страдающая тем же недостатком, что и доходность к погашению. Кроме того, доходность к колл-опциону оказывается реальной величиной только в ситуации, когда эмитент действительно выкупает облигационный выпуск в установленную дату.
При вычислении доходности денежного потока (об этой величине мы подробно поговорим в главе 11), так же как и при подсчете доходности к погашению, учитываются все три источника прибыли. В этом случае процедура поиска значений строится на двух следующих предположениях: во-первых, периодические выплаты номинала должны быть реинвестированы под данную доходность денежного потока; во-вторых, предполагаемые предоплаты на самом деле обязаны осуществиться.
Определение размера прибыли за счет сложных процентов
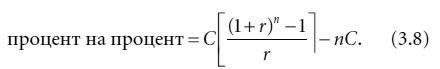
Рассмотрим неамортизируемые ценные бумаги. Процент на процент может являться заметной частью прибыли, ожидаемой от облигации. В абсолютном выражении потенциальная прибыль от всех купонных выплат и процента на процент подсчитывается по формуле вычисления будущей стоимости аннуитета, приведенной в главе 2. Допустим, что r – полугодовая ставка реинвестиций, тогда сумма процента на процент и всех купонных выплат равна:

Величина (денежная) всех купонных выплат находится умножением полугодовой купонной выплаты на число периодов:
величина всех купонных выплат = nC.Процент на процент представляет собой разницу между суммой купонных выплат и процента на процент и величиной всех купонных выплат. Результат выглядит следующим образом:

Напомним, что вычисление доходности к погашению строится на предположении о возможности реинвестировать купоны под данную доходность к погашению.
Рассмотрим теперь 15-летнюю облигацию с купоном 7 % (мы анализировали ее, говоря о текущей доходности и доходности к погашению). Если цена облигации при номинале $1000 составляет $769,40, то ее доходность к погашению равна 10 %. Примем за годовую ставку реинвестиций 10 %. Соответственно, полугодовая ставка составит 5 %. Тогда сумма процента на процент и купонных выплат, согласно формуле (3.7), равна:

А процент на процент по формуле (3.8) составит:
процент на процент = $2 325,36–30 × $35 = $1 275,36.Доходность к погашению и риск реинвестиций
Представим теперь, что инвестор додержал такую облигацию до погашения. Как было указано выше, общая прибыль от данной инвестиции поступает из трех источников:
1. Все купонные выплаты в размере $1050 (купонная выплата по $35 каждые полгода в течение 15 лет).
2. Сложные проценты в размере $1275,36, полученные от осуществляемого каждые шесть месяцев реинвестирования полугодовых купонных выплат под 5 %.
3. Прирост капитала, равный $230,60 ($1000 минус $769,40).
Таким образом, при условии реинвестирования купона под доходность к погашению 10 % потенциальная общая денежная прибыль составит $2555,96.
Заметим, что инвестор, помести он деньги, потраченные на приобретение облигации ($769,40), на сберегательный счет, дающий по 5 % каждые полгода в течение 15 лет, имел бы сбережения будущей стоимостью
$769,40 × 1,0530 = $3325,30.При начальной стоимости инвестиций $769,40 общая прибыль составит $2555,90.
Итак, человек, инвестирующий $769,40 на 15 лет под 10 % годовых (5 % в полгода), рассчитывает по окончании 15 лет получить вложенный капитал в размере $769,40 плюс $2555,90. Именно эту цифру (без учета ошибок округления) мы получили, анализируя денежную прибыль от облигации, предположив, что ставка реинвестиций будет равна доходности к погашению 10 %. Очевидно, что доходность облигации составит 10 %, только если $1275,36 будут получены от реинвестирования купонных выплат. Это значит, что доходность к погашению 10 % возможна лишь в ситуации, когда почти половина ($1275,36 / $2555,96) общей прибыли от облигации поступает от реинвестирования купонных выплат.
Доходность к погашению, предполагаемая в момент покупки ценной бумаги, сможет стать реальностью, если инвестор додержит облигацию до погашения и если купонные выплаты будут реинвестированы под данную доходность к погашению. Существует риск, связанный с тем, что будущие ставки реинвестирования могут оказаться ниже, чем доходность к погашению в момент покупки облигации. Риск этого рода принято называть риском реинвестиций.
Значимость процента на процент как компонента прибыли и, соответственно, степень риска реинвестиций определяются двумя характеристиками облигации: ее длительностью и купоном. При одинаковых доходностях к погашению и одинаковых купонах общая денежная прибыль облигации, длительность которой выше, в большей степени зависит от величины процента на процент. Иными словами, чем больше длительность, тем выше риск реинвестиций. Очевидно, таким образом, что доходность к погашению – величина, малозначимая для участника рынка, инвестирующего в долгосрочные купонные облигации, поскольку плохо описывает потенциальную прибыль, которую реализует инвестор, додержавший ценную бумагу до погашения. Для долгосрочных облигаций третья составляющая прибыли – процент на процент – может доходить до 80 % от общего размера прибыли.
При одинаковых длительностях и одинаковых доходностях к погашению облигации с более высокой купонной ставкой демонстрируют бо́льшую зависимость общей прибыли от результатов реинвестиций купонных выплат. Таким образом, при равных длительностях и доходностях к погашению облигации, торгующиеся с премией, в большей степени, чем облигации, продаваемые по номиналу, зависят от величины процента на процент. Облигация, торгующаяся с дисконтом, зависит от величины процента на процент меньше, чем облигация, которую приобрели по номиналу. Общая прибыль от облигаций с нулевым купоном никак не связана с величиной процента на процент – это значит, что додержанные до погашения облигации с нулевым купоном характеризуются нулевым риском реинвестиций. Таким образом, доходность облигации с нулевым купоном на момент погашения соответствует обещанной доходности к погашению.
Доходность денежного потока и риск реинвестиций
Для амортизируемых ценных бумаг риск реинвестиций характерен в большей степени, чем для ценных бумаг, не подверженных амортизации. Объяснение простое: владельцу амортизируемой облигации приходится реинвестировать не только периодические купонные платежи, но и периодически выплачиваемые части номинала. Кроме того, подробнее этот феномен мы опишем в главах, посвященных двум основным типам амортизируемых ценных бумаг – ценным бумагам, обеспеченным ипотеками, и ценным бумагам, обеспеченным активами. Денежные потоки от таких облигаций поступают раз в месяц, а не раз в шесть месяцев, как это принято в других случаях. Инвестору, во-первых, приходится в придачу к купонным выплатам реинвестировать периодически выплачиваемые части номинала; во-вторых, процедура реинвестирования повторяется чаще. Очевидно, что в такой ситуации риск реинвестиций растет.
Существует еще одно свойство амортизируемых ценных бумаг, благодаря которому может увеличиваться риск реинвестиций. Как правило, заемщик имеет право ускорить периодические выплаты номинала, т. е. совершать предоплату. Заемщик, скорее всего, совершит предоплату, если процентные ставки упадут. Инвестор, таким образом, рискует оказаться перед необходимостью реинвестировать предоплату на рынке, где процентные ставки низки.
ОБЩАЯ ПРИБЫЛЬ
В предыдущем разделе мы уже отмечали, что доходность к погашению является обещанной доходностью. В момент покупки облигация обещает инвестору некую доходность, возможную в будущем при соблюдении двух условий:
1. Облигация держится до погашения.
2. Все купонные выплаты реинвестируются под данную доходность к погашению.
Мы подробно обсудили второе условие и показали, что размер процента на процент может существенно влиять на общую прибыль от облигации. Таким образом, реинвестирование купонных выплат под ставку более низкую, чем доходность к погашению, сделает реальную доходность облигации ниже, чем доходность к погашению.
По-видимому, инвестору не следует рассчитывать на то, что купонные выплаты будут реинвестированы под доходность к погашению. Ему стоило бы на основании собственных рассуждений сделать заключение о будущих ставках реинвестирования. Общая прибыль (total return) – это мера доходности, строящаяся на основе эксплицитных предположений инвестора о будущих ставках реинвестирования.
Рассмотрим теперь первое условие: необходимость держать облигацию до момента погашения. Предположим, что инвестор, решивший вложить капитал на пять лет, выбирает одну из четырех облигаций:

Какая из облигаций – при условии, что их кредитное качество не различается – является наиболее выгодной для инвестора? Инвестор, выбравший облигацию С из-за ее наиболее высокой доходности к погашению, закрывает глаза на тот факт, что через пять лет облигация должна быть продана по цене, зависящей от доходности, которую в тот момент рынок потребует от 10-летней облигации с 11 %-ным купоном. Очевидно, что в этой ситуации возможен либо прирост капитала, либо убыток, благодаря которым прибыль окажется выше или ниже обещанной в настоящий момент доходности к погашению. Кроме того, более высокий, по сравнению с прочими облигациями, купон облигации С, означает, что бо́льшая часть прибыли будет зависеть от реинвестиций получаемых купонных выплат.
Облигация А предлагает вторую по величине доходность к погашению. На первый взгляд, именно эта ценная бумага кажется наиболее привлекательной, поскольку ее владелец не рискует реализовать убыток в момент продажи облигации до даты погашения. Более того, в этом случае, как кажется, невысок риск реинвестиций: купонная ставка этой облигации ниже купонной ставки трех остальных. Между тем риск реинвестиций для владельца такой облигации существует: через три года сумма, полученная при погашении, должна быть реинвестирована еще на два года. Доходность, которую получит инвестор, зависит от процентных ставок, которые установятся через три года на двухлетние облигации.
Похоже, что доходность к погашению не лучший критерий для выбора ценной бумаги. Как же совершить выбор? Ответ зависит от ожиданий инвестора и, в первую очередь, от его инвестиционного горизонта. Кроме того, в случае облигаций, длительность которых превышает инвестиционный горизонт, он зависит от того, какие предположения строит инвестор относительно требуемой рыночной доходности в момент окончания инвестиционного горизонта. Таким образом, любая из четырех облигаций может стать наилучшей: инвестору важно лишь определить свою точку зрения на ставки реинвестиций и будущую требуемую доходность. Величина общей прибыли определяется исходя из сделанных предположений и позволяет, в соответствии с персональными ожиданиями инвестора, выявить лучший объект для вложения капитала.
Мера доходности к колл-опциону страдает теми же недостатками, что и мера доходности к погашению. Во-первых, ее значение отражает действительное положение вещей только в случае, если инвестор додерживает облигацию до первой даты отзыва. Во-вторых, предполагается, что купонные выплаты могут быть реинвестированы под доходность к колл-опциону. Если инвестиционный горизонт участника рынка является более коротким, чем временной отрезок до первой даты отзыва, облигацию, возможно, придется продать по цене меньшей, чем цена покупки. Если же, напротив, инвестиционный горизонт длиннее отрезка времени до даты отзыва, участник рынка может оказаться перед необходимостью реинвестировать полученную в результате отзыва сумму на период, оставшийся до окончания временного горизонта. Таким образом, величина доходности к первой дате отзыва мало помогает инвестору, анализирующему облигацию. Мера общей прибыли, в свою очередь, является чрезвычайно полезным аналитическим инструментом, в том числе при работе с облигациями, имеющими встроенный колл-опцион.
Вычисление общей прибыли от облигации
Гипотеза, положенная в основу меры общей прибыли, проста. Цель вычислений – узнать, прежде всего, денежную сумму, которую в будущем принесут инвестиции в данную облигацию, при условии существования на рынке определенных ставок реинвестирования. Далее общая прибыль выражается в виде годового процента, т. е. ставки, позволяющей начальному капиталовложению возрасти до требуемой денежной суммы.
Процедура подсчета общей прибыли от облигации на некоем временном горизонте может быть вкратце описана следующим образом. Инвестор делает предположение относительно будущей ставки реинвестирования, а затем на основании ее значения подсчитывает денежную прибыль, которую в момент окончания временного горизонта принесут как купонные выплаты, так и сложные проценты. Кроме того, по окончании запланированного временного горизонта инвестор должен получить либо номинальную, либо другую стоимость облигации (стоимость облигации в случае продажи вычисляется исходя из предположений о будущей требуемой рыночной доходности). Общая прибыль – это процентная ставка, при которой сумма, инвестированная в облигацию (т. е. ее текущая рыночная стоимость плюс накопленный купонный доход), возрастет до денежной величины, ожидаемой в конце временного горизонта.
Ниже приводим краткий план действий, которым следует руководствоваться при вычислении общей прибыли от облигации на запланированном временном горизонте:
Этап 1. На основании сделанного предположения о размере будущей ставки реинвестиций подсчитайте величину общих купонных выплат плюс процент на процент. Сумма купонных выплат и процента на процент может быть вычислена с помощью формулы (3.7). В этом случае в качестве ставки реинвестиций следует принять половину годовой ставки, под которую инвестор рассчитывает вложить купонные выплаты.
Этап 2. Определите цену продажи на момент окончания временного горизонта. Предполагаемая цена продажи будет зависеть от предполагаемой требуемой доходности в конце планируемого отрезка времени. Предполагаемая цена будет равна приведенной стоимости оставшихся денежных потоков облигации, дисконтированных по предполагаемой требуемой доходности.
Этап 3. Сложите величины, полученные на этапах 1 и 2. Результатом явится общее будущее количество денег, которое может быть получено от инвестиций при условии наличия в момент окончания запланированного временного горизонта определенной доходности, а также существования определенных ставок реинвестиций[15].
Этап 4. Для получения полугодовой общей прибыли воспользуйтесь формулой:

где h – количество полугодовых периодов в инвестиционном горизонте. Заметьте, что данная формула – вариант уравнения (3.3), т. е. доходность инвестиции с единственным денежным потоком.
Этап 5. Поскольку обычно предполагается, что процент выплачивается раз в полгода, результат, найденный на этапе 4, следует удвоить. Полученная процентная ставка – это искомая общая прибыль от облигации, выраженная в процентах годовых.
В качестве примера рассмотрим инвестиционный горизонт, равный трем годам. Инвестор рассматривает целесообразность покупки 20-летней облигации с 8 %-ным купоном за $828,40. Доходность к погашению такой облигации составляет 10 %. Инвестор надеется, что сумеет реинвестировать купонные выплаты под годовую ставку 6 % и что в конце запланированного отрезка времени 17-летние облигации будут торговаться с доходностью к погашению 7 %. Общая прибыль от облигации подсчитывается так:
Этап 1. Приняв за данность ставку реинвестиций 6 % (или 3 % на полгода), вычисляем сумму всех купонных выплат и процента на процент. Купонные выплаты равны $40 каждые шесть месяцев в течение трех лет (напомним, что речь идет о запланированном временном горизонте). Применяем формулу (3.7) и подсчитываем сумму всех купонных выплат и процента на процент:

Этап 2. Определяем предполагаемую цену продажи через три года; напомним, что, по нашему допущению, требуемая доходность к погашению 17-летних облигаций в тот момент составит 7 %. Вычисляем дисконтированные по 3,5 % приведенную стоимость 34 купонных выплат по $40 и приведенную стоимость номинала $1000; результаты суммируем. Предполагаемая цена продажи составит $1098,51[16].
Этап 3. Сложение результатов, полученных на этапах 1 и 2, дает общее будущее количество долларов – $1375,25.
Этап 4. Для получения полугодовой общей прибыли воспользуемся формулой:

Этап 5. Умножим 8,58 % на два: общая прибыль равна 17,16 %.
При подсчетах подобного рода нет необходимости принимать за данность неизменность ставки реинвестиций в течение всего инвестиционного горизонта. Приведем пример, доказывающий, что мера общей прибыли отлично функционирует и в ситуации предположительного изменения ставок.
Допустим, что инвестор избрал шестилетний инвестиционный горизонт. Рассматривается 13-летняя облигация с купоном 9 %, торгующаяся по номиналу. Инвестор делает следующие предположения:
1. Первые четыре полугодовые купонные выплаты можно будет в момент их получения реинвестировать под простую годовую ставку 8 % на срок до окончания инвестиционного горизонта.
2. Остальные восемь полугодовых купонных выплат могут быть реинвестированы под простую годовую ставку 10 % на срок с момента их получения до окончания инвестиционного горизонта.
3. Требуемая доходность к погашению для семилетних облигаций в момент окончания инвестиционного горизонта составит 10,6 %.
Общая прибыль вычисляется на основании этих трех предположений следующим образом:
Этап 1. В течение шести лет (продолжительность инвестиционного горизонта) инвестор каждые шесть месяцев будет получать купонные выплаты в размере $45 каждая. Купонные выплаты плюс процент на процент для первых четырех выплат при условии полугодовой ставки реинвестиций 4 % дают: