
Решающими здесь являются выбор правильной группы покупателей и постановка правильных вопросов. Важность этих решений иллюстрируют классические примеры опросов, проводимых агентствами по опросам общественного мнения.
Однако известны и провальные опросы, проведенные даже на самых обширных аудиториях, или результаты, предсказываемые опросами, которые давали негативную оценку тем изделиям или услугам, которые в дальнейшем завоевали самые большие рейтинги или были шлягерами продаж. Многие опросы делают ошибку, не представляя респонденту возможности высказаться о его отношении к хорошо устоявшемуся продукту, который намеревается заменять новый. Пример вывода на рынок Нью кока – колы против старой кока – колы Классик является этому хорошим подтверждением.
Экстраполяция статистических трендов
Третий метод прогнозирования – это экстраполяция статистических трендов. Экстраполяция попросту означает продление тенденции. Есть два основных вида экстраполяции. Первый вид – это линейная экстраполяция, расширяющая существующие тенденции. Имеется множество статистических пакетов программ, которые реализуются на компьютере и рассчитывают будущие тенденции, основывающиеся на существующих данных. Вторая форма экстраполяции – это криволинейная (нелинейная) экстраполяция, т.е. продление тенденции кривой.
Широко используется экстраполяция временных зависимостей\изменение во времени – метод скользящего среднего значения. Некоторые виды экстраполяции основываются на изменении по времени среднего значения, рис. 3.1.

Рис. 3.1. Скользящее среднее значение
По сути, прогнозирование по изменению среднего значения есть усреднение падений и подъемов сезонных колебаний, продленное в будущее. Цель экстраполяции – сглаживание колебаний. Вот пример. Кривая инфляции изменяется от месяца к месяцу, поэтому единственным путем увидеть тенденцию является сглаживание ее методом изменения среднего значения. После получения данных по каждому месяцу они усредняются, скажем, по последним трем месяцам, давая кривую изменения среднего значения на четыре месяца.
S – кривая
S – форма экстраполяционной кривой применяется в случае предсказания замены одной технологии другой или одного вида товара другим. Так, рис. 3.2. дает пример S –кривой для промышленного товара.

Рис. 3.2. S- кривая
S – кривая демонстрирует, как некоторая промышленная продукция заменяет другие подобные товары. Вертикальная ось – доля рынка, горизонтальная – время. Форма S –кривой показывает зависимость, как новая продукция заменяет остальные продукты. Сначала смена происходит медленно, но затем S- кривая становится более крутой. В конце наклон кривой уменьшается.
Однако метод S – кривой имеет определенные ограничения применения. Вот одна из проблем. Хорошо известно, что данные ведут себя в форме S- кривой, но какой именно? Пологой или крутой? И какой процент внедрения может быть достигнут?
Задание
S – кривая – универсальный инструмент для анализа того, когда один вид продукции может быть заменен другим. Попытайтесь спрогнозировать, чем, когда и по каким видимым и скрытым причинам может произойти замена вашей продукции новыми видами товаров?
Прогнозирование методом соотношений
Четвертая группа методов прогнозирования – это прогнозы по соотношениям, согласно которым пытаются:
А) найти связь между двумя переменными, одну из которых мы хотим спрогнозировать.
б) причинную взаимосвязь, которая может иметь запаздывание во времени.
Обратим внимание на три разновидности метода:
– предшествующие индикаторы;
– корреляция и регрессия;
– эконометрические методы.
Предшествующие индикаторы
Предшествующий индикатор – это сдвиг по времени зависимости между двумя временными последовательностями, так как это показано на рис.3.3.

Рис. 3.3. Предшествующий индикатор – изгиб одной кривой перед изгибом другой
Например, предшествующим индикатором экономического цикла считается средний промышленный индекс Доу-Джонса цен биржевого рынка на Нью-Йоркской бирже.
Природа предшествующего индикатора может быть изложена следующим образом:
– Тенденции предшествуют тенденциям.
– Изменение предшествует изменению.
Другими словами, тенденция в переменной А проявляется раньше тенденции в переменной В, аналогично изменение А имеет место перед изменением переменной В.
Например, если долгосрочный предшествующий индикатор, спроектированный для предсказания изменений в деловом цикле на год вперед, упал в первый раз за восемь месяцев. Это падение может отражать снижение цен и подъем процентных ставок в течение месяца. Обе составляющие входят в долгосрочный предшествующий индикатор, как ранние предвестники снижения деловой активности. Тем временем, ближний предшествующий индекс, который показывает на 6 месяцев вперед, поднимается. Это означает, что в ближайшее время с перспективой на 1-2 года может начаться снижение деловой активности.
Методы корреляции и регрессии
Методы корреляции и регрессии прогнозируют поведение переменной величины исходя из временной взаимосвязи между ней и другими величинами, которые могут быть выражены в статистической взаимосвязи, называемой регрессией или корреляцией. Иначе говоря, они дают возможность определить, как сильно будет изменяться одна величина, если другая изменится в определенной степени.
Эконометрические модели
Заключительными методами прогнозирования по соотношению являются эконометрические модели. Как и другие модели, они формируют прогнозы на основании решения системы однородных уравнений. Эти уравнения могут отражать либо основные элементы всей экономики, либо некоторые факторы, воздействующие на какие – либо аспекты работы организации. Одна из крупнейших в Великобритании моделей – это 3G – модель, содержащая сотни переменных.
3.3. Оценка методов прогнозирования
Какой из методов наилучший? И снова у нас нет легкого ответа. Один из ответов – все они вместе.
По-другому можно ответить, что методы прогнозирования различаются по их применимости в соответствии со следующими факторами:
– Целями и требованиями к прогнозу.
– Условиями внешней среды.
– Ресурсами, которыми располагает компания.
Если требуется быстрый результат, то методы подсчета, такие как рыночное тестирование и обследование, занимающие значительное время для выработки и выполнения, будут в явном проигрыше перед методами, основанными на изучении мнений, такими как опрос продавцов или менеджерский аудит, которые можно провести довольно быстро.
Если внешние условия изменяются катастрофически быстро и возникает опасение, что методы анализа временных зависимостей, таких как экстраполяция и изменение среднего не могут быть проведены, то лучше всего обратиться к сценариям или дельфийскому методу.
Если ресурс у Вас ограничен (нет экспертов, статистических программ и недостаточно финансов), то разумно применить некоторые ассоциативные методы или причинно – следственные методы прогнозирования. Прогнозы потребляют ресурсы, начиная от затрат времени менеджеров и до денежных затрат. Методы прогнозирования по временным рядам или соотношениям требуют массы данных за истекший период, денег и высокопрофессиональных экспертов, тогда как методы, основанные на мнениях, потребуют гораздо меньше подобных ресурсов.
При решении, какой метод исследования использовать, среди ключевых требований, которые необходимо определить, есть следующие:
– Период времени, охватываемый прогнозом.
– Быстрота выполнения прогноза.
– Необходимость обновления данных для прогноза.
– Требуемая степень точности.
Что касается последнего требования – точности, то за правило можно принять следующее: желаемая точность прогноза зависит от его цели. В какой степени неточным будет прогноз, от которого зависит решение, основывающееся на этом прогнозе?
3.4. Оценка прогнозов, выполненных вне вашей компании
Кроме разработки собственных прогнозов, компании могут покупать прогнозы, сделанные другими. Оценивание приобретенного прогноза означает осведомление о самом прогнозе, его источнике и цели организации, обращающейся за прогнозом.
Во–первых, о самом выполненном прогнозе.
В чем точно заключается прогноз?
На каких допущениях основывался прогноз?
Во–вторых, каковы были цели компании.
Удовлетворяет ли прогноз цели компании?
Будет ли прогноз убедительным, поскольку прогноз – часто политическое взаимодействие сил внутри компании.
В-третьих, каков источник прогноза?
Что известно об организации, выполнившей прогноз?
Как и зачем он был выполнен?
Насколько точны были данные, использованные в прогнозе?
В России производится большое число прогнозов по различным сферам деятельности компаний. Они могут быть очень полезными для компании и охватывают диапазон от экономических прогнозов совокупных показателей, таких как ВВП, инфляция и т.д. до прогнозов по промышленности и рынку. Публикуемые прогнозы по таким переменным как цены, стоимость, рост производства, процентные ставки, могут быть использованы компаниями для выработки собственных прогнозов.
Задание
Прогноз будущего
Используя таблицу, приведенную ниже, сделайте прогноз изменения основных внешних факторов, воздействующих на вашу организацию на ближайшие три года.

4. Методы прогнозирования на основе построения моделей
ОСНОВНЫЕ ВОПРОСЫ
Для чего нужен анализ моделей. Основные задачи, решаемые при помощи моделирования будущего. Основные факторы, которые можно моделировать. Экономические, технологические факторы как основа моделирования.
Экономические модели и их применение для прогнозирования.
Прогнозирование на основе закономерностей развития потребностей
Прогнозирование на основе макроэкономических показателей
Прогнозирование на основе микроэкономических показателей
Прогнозирование на основе закономерностей развития коммерческих услуг
Прогнозирование на основе закономерностей развития технических систем
Прогнозирование на основе анализа сложности.
В этом разделе мы займемся анализом моделей макро, микро и технологического развития с целью получения картин будущего состояния отрасли и нашего собственного предприятия, а также собственно нашего продукта – арматуры в зависимости от изменения показателей модели.
Каждый из факторов СТЭП может быть проанализирован отдельно. И каждый из них поможет внести свой вклад в общую модель будущего. Политические факторы оказывают значительную роль, и их прогнозирование может быть проведено на основе разработки сценарных моделей, принятых в политических исследованиях. Социальными прогнозами занимаются соответствующие организации, как государственные, так и общественные. Наиболее сильное влияние компании испытывают из–за влияния экономических и технологических факторов. Ниже мы рассмотрим их применение для прогнозирования рынка и деятельности копаний.
Основные методы прогнозирования, которые мы будем рассматривать в дальнейшем, это:
– Прогнозирование на основе использования макроэкономических показателей.
– Прогнозирование на основе использования микроэкономических показателей.
– Технологическое прогнозирование.
Кроме того развиваются и новые подходы к прогнозированию, связанные с новым представлением о хаосе и формировании и самоорганизации структур. Мы немного коснемся и этой темы.
4.1. Прогнозирование на основе развития закономерностей развития потребностей
При слове «потребность» к нам в голову приходит известная теория иерархии потребностей Маслоу. В основном она применяется для изучения и прогнозирования индивидуальных потребностей индивидуумов. Для промышленных потребителей, однако, требуется понимание структуры развития потребностей, в большей степени опирающиеся на объективные закономерности развития потребностей, характерные для промышленности. В настоящее время эти подходы только еще разрабатываются. И мы предлагаем Вам познакомиться с последними разработками в области определения закономерностей развития потребностей, выполненных известным специалистом ТРИЗ Петровым В. Материал с некоторыми сокращениями приводится в блок-вставке ниже.
БЛОК ВСТАВКА
ПРОГНОЗИРОВАНИЕ НА ОСНОВЕ ЗАКОНОВ РАЗВИТИЯ ПОТРЕБНОСТЕЙ
В представляемых материалах предлагаются разработанные автором законы развития потребностей и методика их использования.
Закономерности развития потребностей подчиняются закону возрастания потребностей. Общая тенденция развития потребностей, описанная Маслоу, идет от удовлетворения примитивных потребностей к удовлетворению интеллектуальных и творческих потребностей.
Удовлетворение потребностей может осуществляться известными и вновь появляющимися функциями. Известные функции могут выполняться существующими системами или вновь созданными системами. Новые функции могут осуществляться применением имеющихся систем по новому назначению или созданием качественно новых систем. Развитие каждого из видов потребностей происходит по определенным законам.
К законам развития потребностей автор относит:
• идеализация потребностей;
• динамизация потребностей;
• согласование потребностей;
• объединение потребностей;
• специализация потребностей.
Идеализация потребностей проводится путем их динамизации, объединения или специализации и последующего согласования.
1. Закон идеализации потребностей
Закон идеализации потребностей предусматривает увеличение количества, улучшение качества потребностей и уменьшение затрат времени и средств на их удовлетворение.
Степень идеализации потребностей можно представить в виде формулы:

Где:
I – степень идеализации потребностей;
Qn – количество потребностей;
Ql – качество потребностей;
a – коэффициент согласования;
C – затраты времени и средств на удовлетворение потребностей;
i – порядковый номер потребности Qn;
j – порядковый номер качества потребности Ql;
k – порядковый номер затраты C.
Идеальная потребность – потребность, которую нет необходимости удовлетворять. Потребность стала ненужной.
Увеличение количества потребностей может осуществляться за счет:
• появления новых потребностей;
• разнообразия имеющихся потребностей, например, за счет специализации потребностей.
Улучшение качества имеющихся и вновь появляющихся потребностей может осуществляться за счет:
1. разработки и использования более прогрессивных средств;
2. изобретения дополнительных средств.
Сокращение затрат времени и средств на удовлетворение потребностей осуществляется путем:
1. одновременного удовлетворения нескольких потребностей;
2. удовлетворения нескольких потребностей путем использования одного средства;
3. удовлетворения новых потребностей за счет имеющихся ресурсов (существующих систем, процессов, услуг и т.д.).
При появлении новых потребностей сначала используют имеющиеся технические средства и технологические процессы. Новые виды услуг первоначально выполняют уже существующие фирмы. На следующем этапе появляются специализированные изделия, процессы и услуги.
2. Закон динамизации потребностей
Закон динамизации потребностей предусматривает изменение потребностей во времени, пространстве, структуре и по условию. Потребности приспосабливаются под определенную местность, группу людей или конкретного человека, удовлетворяются в то время, в том месте и в том виде, в котором это необходимо. Потребности учитывают национальные особенности, специфику рода деятельности, возраста, пола, степени образования, а так же религиозность, время года, время суток и т.д.
3. Закон согласования потребностей
Согласование потребностей может проводиться:
• по самим потребностям (согласование потребностей между собой);
• по параметрам;
• по структуре;
• по условиям;
• в пространстве;
• во времени.
В частности, может быть динамическое согласование.
Не согласованные потребности часто приводят к разочарованиям, конфликтам, разорениям, различным катаклизмам, войнам, экологическим катастрофам и т.п.
Согласование потребностей, в частности, может осуществляться объединением этих потребностей или выделением специальной потребности.
4. Закон объединения потребностей
Объединение производится таким образом, что полезные (необходимые) качества складываются, усиливаются, а вредные взаимно компенсируются или остаются на прежнем уровне.
Объединение происходит нескольким путями:
1. объединение однородных (одинаковых) потребностей;
2. объединение однородных потребностей со сдвинутыми характеристиками;
3. объединение конкурирующих (альтернативных) потребностей;
4. объединение разнородных потребностей;
5. объединение антагонистических (противоположных) потребностей.
5. Закон специализации потребностей
Закон специализации потребностей направлен на выделение одной, более узкой потребности, которая точнее и качественнее удовлетворяет имеющуюся потребность.
Изложенные законы позволяют прогнозировать будущие потребности и тенденции их изменения. Удовлетворение выявленных потребностей приводит к появлению новых товаров и услуг.
4.2. Прогнозирование рынка на основе использования макроэкономических показателей
ОСНОВНЫЕ ВОПРОСЫ
Модель взаимодействия СТЭП факторов Фахи-Нарайанана. Государство как регулятор макроэкономических факторов в рыночной экономике.
Источники информации. Модель кругооборота доходов. Составляющие экономической политики РФ. Анализ ВВП.
Проблемы прогнозирования инфляции.
Совокупный спрос и совокупное предложение.
Циклы деловой активности. Сглаживание отрицательных эффектов макроэкономической нестабильности.
Инструменты государственного регулирования экономики – монетарная и фискальная политика государства. Примеры инструментов монетарной и фискальной политики. Блок 1: регулирование при помощи ставки рефинансирования. Блок 2: регулирование при помощи управления ставками таможенных пошлин.
Изменения в экономической политике государства в будущем. Влияние изменений на деятельность арматурных компаний.
Среди методов прогнозирования изменений в экономике видное место занимают методы прогнозирования на основе макроэкономических показателей. Мы рассмотрим возможности их применения к работе арматурной отрасли в отдельности.
Все компании знают, что на их работу значительное влияние оказывает макроэкономическая среда. Хотя отдельной фирме и не под силу изменить большинство макроэкономических факторов, однако каждая фирма могла бы найти способы адекватно реагировать на них.
К таким факторам всегда относились общие тенденции на рынке. Например, если появились предпосылки экономического роста, то можно думать о расширении производства, если меняется законодательство, то следует предусматривать меры по своевременному предупреждению возможных фискальных мер, если появились новые технологии, то пришла пора думать о переоснащении производства и т.п.
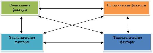
Часто средствами анализа макроэкономической среды выступает модель Фахи – Нарайанана, значительно расширяющая известную СТЭП – модель, рис.4.1.

Рис. 4.1. Модель Фахи-Нарайанана
Суть этой модели заключается в том, что разнородные факторы дальнего внешнего окружения до момента достижения долгосрочной цели успеют не просто непосредственно повлиять на деятельность фирм, но и неоднократно воздействовать друг на друга. Поэтому даже те факторы, которые не должны оказать непосредственного влияния на рынок, могут послужить началом для развития процессов в дальнем окружении, которые затем напрямую или косвенно коснутся и вашей фирмы. Факторы, непосредственно влияющие на фирму, обычно легко установить, тогда как выявить факторы косвенного влияния, к которым фирма особенно чувствительна, не просто. Определить степень их влияния и предсказать их поведение, обычно сложно.
Ниже мы рассмотрим некоторые полезные модели и способы прогнозирования для анализа положения фирмы, принимая во внимание в основном макроэкономические факторы (граф «экономические факторы» в модели). Нашей основной задачей будет научиться видеть не только события, но и причины и предпосылки происходящего, а также предвидеть последствия этих событий.
Главными вопросами, на которые мы постараемся найти ответы, будут:
– Какие индикаторы подскажут, что подъем в экономике скоро сменится спадом и как скоро?
– Насколько глубоко проникнет кризис в нашу отрасль?
– Что произойдет со спросом, и какие факторы повлияют на него больше всего?
– Что будет предпринимать правительство и каковы последствия этих действий для нашей отрасли и фирм?
– Какие изменения в связи с общей обстановкой следует ожидать в изменении курса рубля, доллара, евро?
– Какие ближайшие последствия для компаний следует ожидать, например, какие процентные ставки по кредитам будут характерны в ближайшее время и насколько доступными будут кредиты?
Основой такого, достаточно долгосрочного анализа должна стать макроэкономическая информация. Она становится особенно важна в моменты кризисов и спада деловой активности. Все фирмы почувствовали на себе действие циклов деловой активности, особенно в фазе кризиса. Цели на разных фазах цикла различаются. Во время подъема деньги зарабатываются, во время спада необходимо выживать и пытаться сохранить долю рынка. Меняются конкуренты, меняются предпочтения предприятий – потребителей, вложенные инвестиции не учитывали значительных изменений во внешней среде, валютный кредит невозможно выплатить из-за резкого изменения курса рубля, выручка снижается, а издержки остаются на прежнем уровне – все эти вопросы часто связаны с нашими умениями анализировать влияние внешней среды на нашу фирму.
Кризисы происходили, и будут происходить, к сожалению. Несмотря на то, что многие страны уже выработали меры по уменьшению их влияния, однако, фирмы сами должны находить пути снижения давления кризисов на них. Например, часто приходится задумываться о диверсификации своего бизнеса, более полного использования ресурсов, добавления в портфель продукции более кризисоустойчивой продукции.
Как менеджеры, мы должны распознавать слабые сигналы рынка, и строить свои решения на базе динамики общего макроэкономического фона. Такие вопросы как: запускать ли новые инвестиционные проекты, брать ли кредиты в валюте, выходить ли на IPO и др., основываются на прогнозах макроэкономических процессов и возможного входа в полосу нестабильности.
Действия государства по снижению экономической нестабильности являются одним из главных индикаторов, способных показать истинное положение деловой активности в стране. В распоряжении государства имеется большой набор инструментов, которыми она сглаживает неприятные сюрпризы рынка или способствует росту деловой активности. Однако каждый шаг в стабилизации сопровождается побочными эффектами. Девальвация рубля делает экспортеров более конкурентоспособными, позволяет не растрачивать валютные резервы на поддержание рубля. Однако удорожание импорта ограничивает доступ населения к импортным товарам, рублевые сбережения обесцениваются, ставки по кредитам растут, ограничивая возможности предприятий по расширению бизнеса, поддержанию складов, инвестиционной деятельности.
Государство не всегда успевает принять решения вовремя, и регуляторы также имеют свой лаг во времени. С трибун может говориться одно, политические силы могут или затормаживать процесс, например, тормозить принятие законопроектов в Думе, всегда возможны перекосы. Так, если стране необходимы деньги, то лозунгом станет помощь экспортерам, системообразующим предприятиям, крупным банкам. Однако при этом почти всегда появляется «страдающая» сторона, интересы которой не учтены.
В зависимости от цикла деловой активности разрывы в требованиях могут быть чрезвычайно велики, и у государства не хватит сил и средств для регулирования интересов всех заинтересованных сторон. Возникают разрывы между интересами крупного и мелкого бизнеса, отечественными производителями и потребителями импортных товаров, кредиторами и заемщиками, спекулянтами и инвесторами и т.п. Определение роли государства в этих процессах позволит увидеть степень напряженности и спрогнозировать дальнейшее развитие событий.